Table 2 The list of isotherm and kinetic models, and error functions47,48,49,50.
Model | Non-Linear Form | Parameters | |
|---|---|---|---|
Adsorption Isotherms | |||
Two parameter models | Langmuir | \(\:{q}_{e}=\frac{{q}_{mL}{K}_{L}{C}_{e}}{1+{K}_{L}{C}_{e}}\) | \(\:{q}_{mL}\) and \(\:{K}_{L}\) |
Freundlich | \(\:{q}_{e}={K}_{F}{C}_{e}^{\frac{1}{n}}\) | \(\:{K}_{F}\:\)and \(\:n\) | |
Temkin | \(\:{q}_{e}={q}_{m}\frac{RT}{{b}_{t}}\text{l}\text{n}\left({K}_{t}{C}_{e}\right)\) | \(\:{K}_{t}\:\)and \(\:{b}_{T}\) | |
D-R | \(\:{q}_{e}={q}_{mL}{e}^{-\beta\:{\epsilon\:}^{2}}\) \(\:\epsilon\:=RTln(1+\frac{{C}_{s}}{{C}_{e}})\) | \(\:{q}_{mL}\) and \(\:\beta\:\) | |
Three parameter models | Sips | \(\:{q}_{e}=\frac{{q}_{mL}{K}_{S}{C}_{e}^{{\beta\:}_{S}}}{1+{K}_{S}{C}_{e}^{{\beta\:}_{S}}}\) | \(\:{q}_{mL}\), \(\:{K}_{S}\) and \(\:{\beta\:}_{S}\) |
Toth | \(\:{q}_{e}=\frac{{q}_{mL}{C}_{e}}{{\left({K}_{T}+{C}_{e}^{{t}_{0}}\right)}^{\frac{1}{{t}_{0}}}}\) | \(\:{q}_{mL}\), \(\:{K}_{T}\) and \(\:{t}_{o}\) | |
\(\:{q}_{mL}\) is the maximum adsorption capacity of adsorbent (mg/g), \(\:{q}_{e}\) is the amount of Cd(II) ions adsorbed onto adsorbent (mg/g); \(\:{K}_{L}\) is the Langmuir constant (L/mg), \(\:n\) is the Freundlich constant related to adsorption intensity, \(\:{K}_{F}\) is the Freundlich constant related to adsorption capacity ((mg/g)·(mg/L)(−1/n)), β is D-R constant (mol2/kJ2), ε is the Polanyi potential (kJ2/mol2), \(\:{K}_{t}\) is the Temkin constant for liquid–solid adsorption (L/mg), \(\:{b}_{t}\) is Temkin constant, which is related to the heat of sorption (kJ/mol), θ is the coverage fraction of adsorbate ions on the adsorbent surface (dimensionless), \(\:{\beta\:}_{S}\) is the model exponent of Sips isotherm (dimensionless), \(\:{K}_{S}\) is the Sips isotherm constant (L/mg), \(\:{K}_{T}\) is the Toth model constant (L/mg) and \(\:{t}_{o}\) is the Toth model exponent (dimensionless). R = 8.314 J/mol.K, \(\:{C}_{s}\) is the saturation solubility (mg/L) and obtained from https://inchem.org/documents/icsc/icsc/eics1318.htm. | |||
Adsorption Kinetics | |||
Empirical models | Pseudo-first-order kinetics |
| \(\:{q}_{e}\) and \(\:{k}_{1}\) |
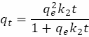
Pseudo-second-order kinetics |
| \(\:{q}_{e}\) and \(\:{k}_{2}\) | |
Internal diffusion model | Weber and Morris (W-M) kinetics model |
| \(\:{k}_{wm}\:\)and C |
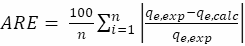
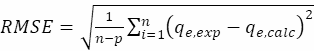
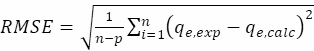
Error functions | |||






