Fig. 7
From: Advances in detection for neutron reflectometry with time-resolved imaging detectors

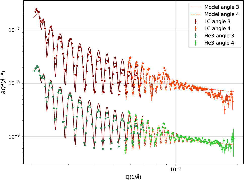
Ni reflectivity data using only angles 3 and 4 measured by the LumaCam and the \(^3\)He detector. The overlap of the datasets from these angles shows the difference in resolution for low- and high-Q parts of the spectra. The low-Q part of the fourth angle measurement shows sharper fringes, while the fringes on the high-Q side of the third measurement are more smeared out. Reflectivity value has been multiplied by \(q^4\) in order to amplify the details.