Fig. 9
From: Advances in detection for neutron reflectometry with time-resolved imaging detectors

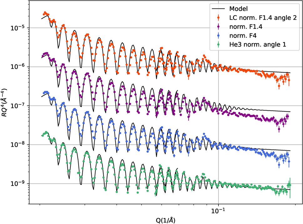
Reflectivity reconstruction comparing results using direct beams measured at F1.4 and F4. The top dataset uses normalization by the second most intense direct beam instead of using each of the respective direct beam setting in a manner similar to the \(^3\)He data, where an even lower setting of the direct beam is used for normalizing each reflection. Reflectivity value has been multiplied by \(q^4\) in order to amplify the details.