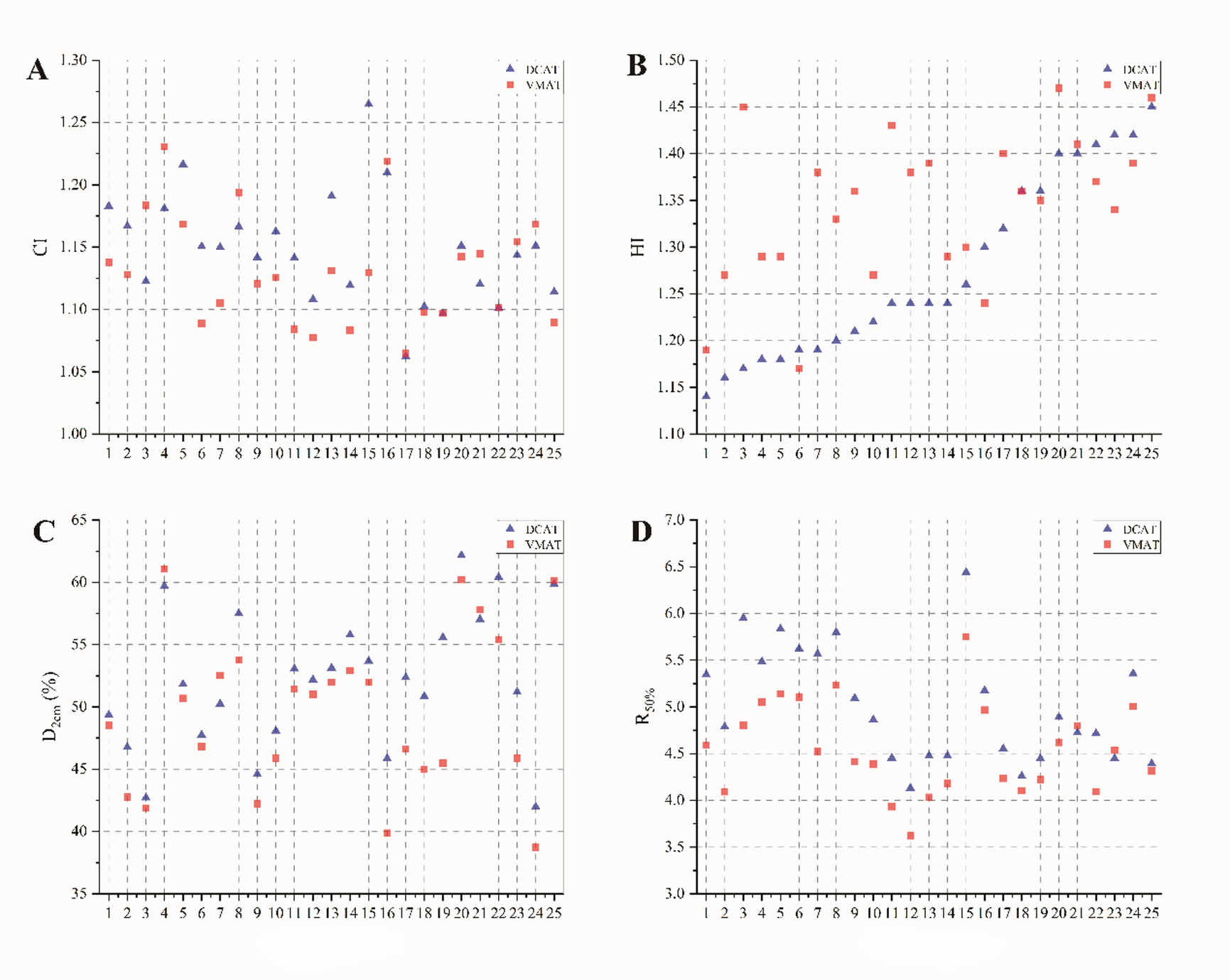
Fig. 1

Comparison of PTV dosimetric parameters (A, CI; B, HI; C, D2cm; D, R50%) between the 2-group plans (the blue triangles represent DCAT plans, and the red squares show VMAT plans). The results show that most HI for DCAT plans were lower than its corresponding VMAT plans. Otherwise, the DCAT plans did not differ significantly in absolute values from the VMAT plans regarding CI, D2cm, and R50%. Abbreviations: PTV planning target volume, CI conformity index, HI homogeneity index, DCAT dynamic conformal arc therapy, VMAT volumetric-modulated arc therapy, D2cm the maximum dose at any point ≥ 2 cm from the PTV in any direction, R50% the ratio of the volume encircled by the 50% prescription isodose line to the PTV volume.