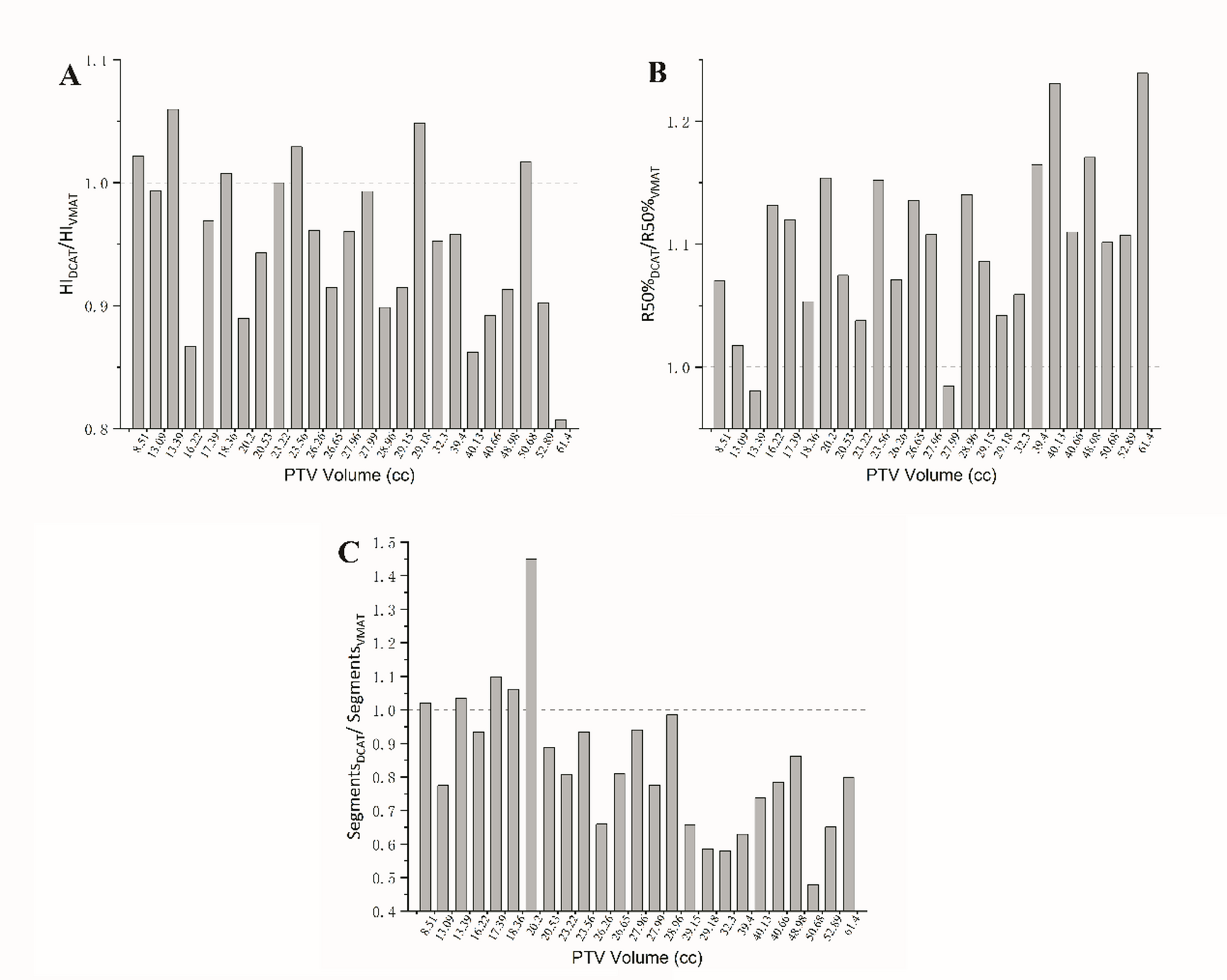
Fig. 5

Histogram of DCAT/VMAT ratios (A, HI; B, R50%; C, Segments) versus PTV volume. There was a significant correlation between the DCAT/VMAT ratios of the above parameters and PTV volume (ρ = −0.498, 0.550, −0.53, P < 0.05). Abbreviations: HI homogeneity index, DCAT dynamic conformal arc therapy, VMAT volumetric-modulated arc therapy, PTV planning target volume, R50% the ratio of the volume encircled by the 50% prescription isodose line to the PTV volume.