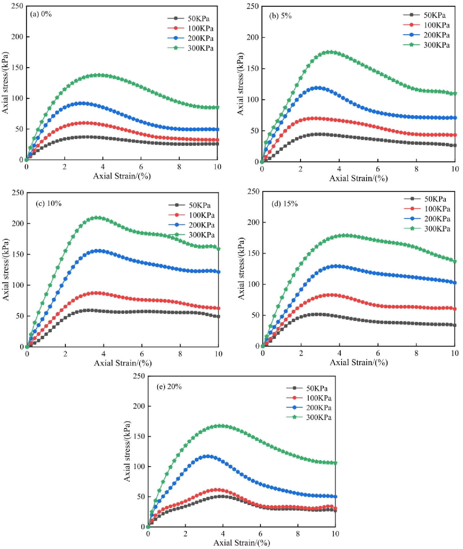
Fig. 6
From: Shear behavior and predictive modeling of loess stabilized with rice husk ash

Stress–strain curves under different content.
From: Shear behavior and predictive modeling of loess stabilized with rice husk ash

Stress–strain curves under different content.