Abstract
This study explores the utilization of rice husk ash (RHA), an agricultural waste byproduct, as an eco-friendly stabilizing agent to address the high compressibility and water sensitivity of loess soils. A series of laboratory tests and microstructural analyses were conducted to investigate the shear behavior of RHA-modified loess, and a predictive model for its shear strength was developed. The results indicate that as the RHA content increases, the maximum dry density of the stabilized loess decreases, while the optimum moisture content (OMC) rises. At an optimal RHA content of 10%, the modified loess achieves peak mechanical performance: shear strength increases by 46.41–49.36%, cohesion improves by 36.3%, and the internal friction angle rises by 46.7%. Microstructural analysis reveals that the porosity of the modified loess decreases by 21.8% compared to untreated loess. However, shear strength diminishes significantly with increasing moisture content, exhibiting a maximum reduction of 80.5% at 1.6 OMC, with high confining pressure exacerbating this weakening effect. Furthermore, based on experimental data, a predictive model for the shear strength of modified loess, incorporating moisture content and compaction effects, was established. A modified Coulomb–Mohr criterion accounting for moisture content and confining pressure was also derived.
Similar content being viewed by others
Introduction
Loess slopes, as a distinctive type of geological formation, are widely distributed across China’s Qilian Mountains and the northern regions of the Qinling Mountains, covering an area of approximately 640,000 km²1,2. These areas are characterized by an arid to semi-arid climate, featuring cold winters, hot summers, and concentrated rainfall3,4. Additionally, severe desertification and soil erosion, combined with environmental stress factors-such as weathering, denudation, unloading, and cyclic wetting-drying processes-contribute to the formation of an under-compacted state in loess, along with a well-developed multiscale pore network system5,6. These structural characteristics result in pronounced engineering-related hazards, including high collapsibility, elevated permeability, and significant water sensitivity7,8. Consequently, loess slopes are highly susceptible to geological disasters—such as subsidence, tensile cracking, and even landslides-under rainfall conditions9,10.
Traditional loess stabilization primarily utilizes compaction methods. However, compacted loess often fails to meet engineering bearing capacity requirements due to insufficient interparticle cementation11,12. To enhance the engineering properties of loess, researchers have investigated various chemical stabilization approaches13,14, including conventional stabilizers such as cement and lime, as well as industrial byproducts like steel slag, fly ash, and rice husk ash. Although conventional stabilizers including cement and lime can effectively improve loess engineering performance15,16, their production processes are associated with several disadvantages: high costs, significant energy consumption, and substantial carbon emissions17,18. Therefore, employing industrial byproducts for loess stabilization presents notable advantages by simultaneously reducing environmental impacts and lowering construction costs19,20,21,22.
Among these industrial byproducts, rice husk ash (RHA), an agricultural waste product from rice processing, has historically been underutilized despite its significant potential value23,24. As a leading agricultural producer, China generates approximately 210 million tons of rice straw annually, constituting nearly one-third of global output25. Given the cyclical cultivation and reliable surplus of rice, policymakers and enterprises have increasingly turned to rice husks—as a biomass resource for power generation and heating. However, this process yields a byproduct of 20–30% rice husk ash, presenting both challenges and opportunities for waste management and utilization. Currently, the majority of RHA is generated as a byproduct of power plant incineration26, with conventional disposal methods typically involving landfill deposition or open-air storage. These practices not only consume valuable landfill capacity but also pose potential long-term risks to both ecological systems and human health27,28.
Notably, RHA contains substantial amounts of reactive components, particularly amorphous silica (SiO₂) and calcium oxide (CaO)29,30. When mixed with water, these components react to form cementitious gel structures between soil particles, thereby significantly enhancing the engineering characteristics of treated soils31,32. Previous studies have demonstrated the potential of rice husk RHA) as a soil stabilizer, particularly for expansive clays. For instance, Shehata et al.33 Microstructural analysis indicated that increasing RHA content led to higher SiO₂ concentrations and abundant formation of calcium silicate hydrate (C–S–H) gel. Similarly, Fattah et al.34 evaluated the geotechnical properties of RHA-stabilized soil, reporting increased optimum moisture content and unconfined compressive strength alongside reduced maximum dry density and plasticity index. Alhassan et al.35 further confirmed that RHA-cement mixtures improved the California Bearing Ratio (CBR) of treated soils.
However, these findings are not directly transferable to loess stabilization due to fundamental differences in genesis, composition, and structure between loess and clay36. Research on RHA-modified loess remains limited, though preliminary work by Zivari21 suggests that RHA-lime blends can effectively reduce plasticity while enhancing compressive strength. This limitation is particularly significant given that loess slope failures predominantly occur through shear mechanisms37,38. Furthermore, in practical engineering scenarios, the moisture content of loess slopes undergoes continuous variation due to rainfall infiltration and groundwater fluctuations. Therefore, a systematic investigation of the shear behavior of RHA-modified loess under varying moisture contents and confining pressures is imperative.
This study examine how varying RHA contents influence the shear properties of treated loess to identify optimal stabilization dosages. The research further explores the mechanical response of improved loess under different moisture contents and confining pressures. Building upon these experimental results, this study develop predictive models for shear strength parameters that incorporate both moisture content and confining pressure effects. The findings demonstrate the technical viability of using RHA for loess improvement and provide practical insights for implementing this sustainable stabilization approach in loess engineering applications.
Materials and methods
Materials
The loess samples were collected from slopes along National Highway G307 in Jinzhong, Shanxi Province. To ensure sample integrity, surface soils (0–0.5 m depth) exposed to recent rainfall were removed prior to collecting undisturbed samples from 1 to 2 m depth. As shown in Fig. 1, the undisturbed soil displays a characteristic yellowish-brown color. After sampling, the soil density was determined as 1.54 g/cm³ using the ring knife method. Concurrently, the natural water content of the sampled soil was measured at 10.48% through the oven-drying method. Following standard preparation procedures, the samples were sieved to remove organic matter and other impurities before being oven-dried at 108 °C. Testing showed the natural moisture content of the undisturbed specimens was 9.86%.
For particle size analysis, the dried samples were gently crushed and tested according to ASTM D4513-22 standards. The resulting grain size distribution is displayed in Fig. 2. As we can know in Fig. 2 the particle size distribution of the tested soil consists of 5.16% sand, 79.98% silt, and 14.86% clay. These results demonstrate that the soil is predominantly composed of silt particles, with minor fractions of sand and clay. The particle size distribution is therefore concentrated within the fine silt range.
Standard Proctor compaction tests following ASTM D698 were performed to evaluate compaction characteristics. Additionally, Atterberg limits were determined using ASTM D4318 test methods. Table 1 summarizes the complete set of index properties obtained from these tests, establishing essential geotechnical parameters for subsequent improvement evaluation. Comprehensive physical property testing and USCS plasticity chart analysis classify the investigated loess as CL.
Loess used in the experiment.
Grain size curve.
The rice husk ash (RHA) used in this study was obtained from combustion byproducts at Chongqing Power Plant, China. The material exhibits a dry density of 387 kg/m³ and possesses a substantial specific surface area of 15,000 m²/kg. Chemical composition analysis reveals SiO₂ as the predominant component, accompanied by other oxides including CaO, K₂O, and MgO, with detailed chemical constituents presented in Table 2. The material’s high silica content and extensive surface area suggest significant pozzolanic activity potential for soil stabilization applications.
Methods
Compaction test
The incorporation of rice husk ash significantly influences the compaction characteristics of loess due to its high specific surface area and strong water absorption capacity. A series of modified Proctor heavy compaction tests were conducted on loess mixed with different proportions of rice husk ash by mass, specifically 5%, 10%, 15%, and 20%.
The compaction test was conducted following the Chinese standard GB/T 50123-2019 (Standard for Geotechnical Testing Methods). Loess passing through a 20 mm sieve was uniformly mixed with varying proportions of rice husk ash (RHA). The mixture was then compacted in five layers, with each layer receiving 27 blows of the compaction hammer.
Static triaxial shear test
The triaxial shear tests were conducted using an automated TSZ-2 strain-controlled triaxial system shown in Fig. 3. Test specimens measuring 39.1 mm in diameter and 80 mm in height were prepared through static compaction of loess mixtures containing five different rice husk ash contents ranging from 0 to 20% by dry weight. Each mixture was prepared at its corresponding optimum moisture content and maximum dry density according to the Chinese standard GB/T 50123-2019. Three identical specimens were fabricated for each mixture proportion, resulting in a total of fifteen test specimens. Prior to mechanical testing, all specimens underwent a fourteen-day curing period under controlled environmental conditions with temperature maintained at 25 °C plus or minus 1 degree and relative humidity kept at 90% plus or minus 2 to ensure complete reaction between the rice husk ash and loess particles.
Static triaxial instrument and test sample.
The mechanical properties of rice husk ash (RHA)-modified loess were evaluated through consolidated undrained (CU) triaxial shear tests. A strain-controlled triaxial apparatus was employed, with a constant shear rate of 0.01 mm/min. Four confining pressures of 50, 100, 200, and 300 kPa were applied to evaluate the soil behavior under different stress conditions. In accordance with the GB/T 50123-2019 standard, shear failure was defined as the point at which the axial strain of the specimen reached 20%.
Based on preliminary investigations of rice husk ash (RHA)-stabilized loess at optimum moisture content (OMC), 10% RHA content was identified as the optimal dosage for shear strength improvement. Meanwhile, to simulate real-world conditions where loess slope moisture content fluctuates due to rainfall and groundwater infiltration, four moisture content levels were tested: the optimum moisture content, referred to as OMC, along with three higher moisture contents at 1.2 times, 1.4 times, and 1.6 times the OMC value. This experimental design enabled systematic investigation of how both moisture content and confining pressure simultaneously influence the shear strength behavior of the stabilized soil. A detailed testing scheme is provided in Table 3.
Results and discussion
Compaction characteristics
Figure 4 illustrates the variation in maximum dry density of the improved loess with increasing rice husk ash (RHA) content. The results demonstrate an inverse relationship between RHA content and maximum dry density. Specifically, as the RHA content increased from 0 to 20%, the maximum dry density decreased progressively from 1760 to 1530 kg/m³, representing reductions of 1.7%, 4.0%, 8.8%, and 12.7% at each increment of RHA addition.
Figure 5 presents the corresponding optimum moisture content (OMC) values for different RHA contents. The data reveal a consistent increase in OMC with higher RHA content, rising from 14.89 to 16.94% across the tested range. This corresponds to percentage increases of 1.86%, 2.76%, 9.96%, and 12.51% at each RHA addition level.
The decrease in maximum dry density with increasing RHA content is attributed to the highly porous and low-density nature of RHA particles, which require additional water for proper compaction. This behavior aligns with findings from previous studies, which reported similar reductions in dry density due to RHA’s lightweight and absorbent characteristics39,40.
Effect of RHA content on MDD.
Effect of RHA content on OMC.
Shear strength characteristics of rice husk ash-stabilized loess
Influence of rice husk Ash content on the stress–strain response of stabilized loess
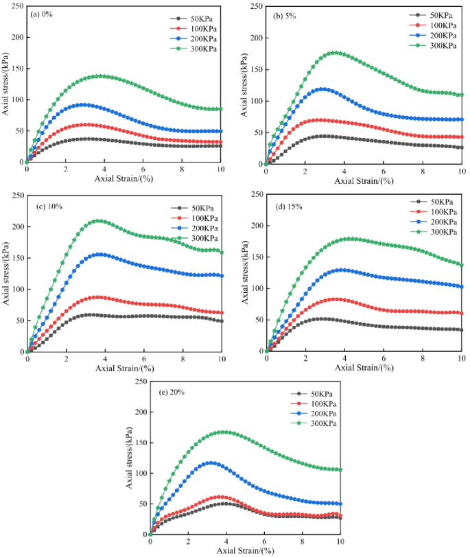
Figure 6 presents the stress–strain relationships and failure characteristics of specimens with varying rice husk ash (RHA) contents under different confining pressures at the optimum moisture content (1.0OMC). The results demonstrate that all stabilized soil samples exhibit similar mechanical behavior: axial stress increases progressively with axial strain until reaching peak strength, followed by rapid stress reduction, indicating distinct strain-softening behavior. This pattern suggests that RHA modification preserves the fundamental failure mechanism of the loess matrix.
The data reveal two significant findings regarding RHA’s influence on shear strength: First, the upward shift of stress–strain curves with increasing RHA content and confining pressure confirms the reinforcing effect of RHA. Second, this enhancement follows a non-linear relationship, reaching maximum effectiveness at approximately 10% RHA content before diminishing with further additions. This optimal dosage represents the threshold beyond which additional RHA incorporation adversely affects the composite’s shear strength.
Stress–strain curves under different content.
Shear strength parameters of loess stabilized with varying rice husk Ash contents
Figure 7 presents the shear strength characteristics of loess specimens stabilized with varying rice husk ash contents ranging from 0 to 20% under confining pressures between 30 and 300 kPa at the optimum moisture content condition. The data demonstrate significant enhancement in shear strength through rice husk ash incorporation. Under a representative confining pressure of 50 kPa, systematic addition of rice husk ash produced progressive strength increments of 10.15%, 46.41%, 28.22%, and 21.37% compared to untreated loess. The strengthening effect displayed a distinct non-monotonic pattern, achieving maximum strength improvements between 46.41% and 49.36% at optimal additive dosages, with absolute peak strength values ranging from 60.38 to 214.78 kPa across the tested pressure spectrum.
Figure 8 presents the variations in cohesion (c) and internal friction angle (φ) of rice husk ash-stabilized loess at optimum moisture content (1.0OMC) with different additive contents. The results demonstrate a clear optimum dosage effect for both shear strength parameters:
The cohesion exhibits a pronounced peak at 10% rice husk ash content, increasing by 36.3% from 21.86 to 29.80 kPa when the additive content rises from 0 to 10%. Beyond this optimal dosage, cohesion decreases by 14.3% to 25.55 kPa at 20% content. Similarly, the internal friction angle displays comparable behavior, attaining a peak value of 31.91° at 10% ash content, which represents a 46.7% increase relative to the untreated loess value of 21.75°. Further addition to 20% content leads to a 19.7% reduction in friction angle to 25.63°.
This consistent behavior of both strength parameters confirms that 10% represents the optimum rice husk ash content for loess stabilization, providing maximum improvement in shear strength characteristics while maintaining material stability.
The observed strength enhancement can be attributed to the pozzolanic reactivity of rice husk ash (RHA), which contains substantial amounts of amorphous silica (SiO₂) and calcium oxide (CaO). These active components chemically interact with calcium (Ca²⁺) and aluminum (Al³⁺) ions present in the loess matrix, forming cementitious compounds such as calcium silicate hydrate (C–S–H) and calcium aluminosilicate hydrate (C–A–S–H). These newly formed phases effectively fill the interparticle voids and create strong bonding networks between loess particles, thereby densifying the microstructure and significantly improving the shear strength characteristics of the stabilized soil.
The strength enhancement exhibits strong dependence on RHA content, where pozzolanic reactions dominate at optimal incorporation levels while additional mechanisms become increasingly significant with higher additions: first, the predominantly silt-sized RHA particles impart physicochemical properties analogous to silty soils. Second, excess RHA grains become effectively embedded within the soil matrix, while their layered structures provide active sites for clay particle adsorption—both processes collectively reduce the relative clay fraction.
Furthermore, the RHA-amended loess exhibits increased optimum moisture content (OMC); excessive RHA dosages consequently elevate the system’s water retention capacity beyond critical thresholds, ultimately compromising the shear performance.
Shear strength under different content.
Cohesion and internal friction angle under different content.
Water content-dependent stress–strain behavior of stabilized loess
Figure 9 presents the stress–strain relationships of 10% rice husk ash-stabilized loess specimens under combined variations of moisture content and confining pressure. The results demonstrate a fundamental transition in mechanical behavior: increasing water content progressively alters the stress–strain response from distinct strain-softening to stable or even strain-hardening patterns. This behavioral shift, most pronounced at lower confining pressures (50–100 kPa), originates from enhanced particle lubrication effects at elevated moisture states.
Concurrently, moisture content elevation induces significant strength reduction, manifested by decreased peak axial stresses across all confinement levels. The data reveal that water content serves as a critical control parameter, dominating both the deformation characteristics and ultimate strength of the stabilized soil matrix.
Stress–strain curves under different water content.
Moisture-dependent shear performance index of stabilized loess
Figure 10 illustrates the shear strength of specimens with 10% rice husk ash content under varying water contents and confining pressures. The results demonstrate that increasing the water content leads to a linear reduction in shear strength, with decreases ranging from 44.32% to 80.45%. This decline is attributed to the elevated pore water pressure, which weakens interparticle interactions within the improved loess. For instance, at a confining pressure of 120 kPa, the shear strength decreases by 66.72%, 75.87%, and 80.45% as the water content rises from 1.0 OMC to 1.6 OMC.
Notably, the wetting effect on shear strength is influenced by the confining pressure: higher pressures amplify the detrimental impact of increasing water content. For instance, at a water content of1.2 OMC—the shear strength reduction escalates from 44.32% at 30 kPa to 66.72% at 120 kPa. These findings highlight the significant role of both water content and confining pressure in determining the mechanical behavior of improved loess, with implications for its stability in geotechnical applications.
Shear strength at different moisture content.
Microstructural characteristics of rice husk ash-stabilized loess
SEM
The microstructural characteristics of loess modified with rice husk ash were investigated using a Zeiss Merlin Compact scanning electron microscope (SEM) operating at 1.5 kV acceleration voltage, with cubic specimens (10 mm × 10 mm × 10 mm) prepared and gold-coated prior to imaging. Figure 11 demonstrate that while unmodified loess exhibits a loose particle arrangement with abundant intergranular voids reflecting its naturally high porosity and weak cohesion, the incorporation of 10% rice husk ash results in a distinctly more compact microstructure with significantly reduced interparticle porosity. These microstructural modifications are likely attributable to the pozzolanic activity of rice husk ash, which promotes the formation of cementitious calcium silicate hydrate (C–S–H) and calcium aluminate hydrate (C–A–S–H) phases that enhance interparticle bonding and improve the soil’s geotechnical properties. Previous studies have demonstrated that soil treatment with rice husk ash generates gel-like reaction products, while simultaneously reducing porosity and enhancing structural compactness33,41.
The microstructural characteristics of loess. a Unimproved, b improved.
To further characterize the microstructural pore features of rice husk ash-modified loess, SEM images were subjected to binarization processing for analysis. The optimal threshold for binary segmentation was determined using a visual segmentation approach. Initially, the SEM image was segmented at a preliminary grayscale threshold (T), resulting in some soil units appearing as black pores. The threshold was then incrementally reduced until the soil units within the pores transitioned to white. Fine adjustments were applied near this critical threshold to ensure clear differentiation between pores and soil matrix42,43. Through extensive analysis to minimize subjective bias, the optimal threshold was established as T = 52. Following binarization, soil particles and pores were effectively separated, and the resulting binary SEM image was further denoised to extract pore microstructure data. Figure 12 compares the binarization results of SEM images for untreated and improved loess. The untreated loess exhibits distinct pore distribution with relatively large pore areas. Following improvement, the loess shows a significant reduction in pore area.
Binarized image of loess. a Unimproved, b improved.
X-ray CT
Standard cylindrical specimens (39.8 mm diameter × 80 mm height) of both untreated and modified loess were prepared by static compaction. Following preparation, samples were oven-dried at 105 °C for 24 h to eliminate moisture effects. Microstructural analysis was performed using a ZEISS Xradia 520 Versa X-ray microtomography system operated at 80 kV accelerating voltage and 100 µA beam current. A total of 40 equidistant cross-sections were acquired along the sample height axis, Fig. 13 shows both the CT scan image and the binarized image at a selected slice height.
The density distribution of soil internal structure was analyzed using CT grayscale variations based on X-ray attenuation principles. Three distinct phases were identified: light gray (coarse particles), intermediate gray (fine matrices/micropores), and black areas (pores). Comparison showed untreated soil had larger, dispersed coarse particles typical of loess silt. RHA-treated soil exhibited more uniform particle distribution, likely due to C-S-H/C-A-S-H gel formation enhancing density and homogeneity.
The microstructural characteristics of loess. a Unimproved, b improved.
Quantitative pore distribution analysis was conducted through ImageJ-based binary processing of the acquired tomographic images. The specific processing steps were as follows: (1) The grayscale image was copied and imported into ImageJ software. (2) Using the software’s default method, the threshold was manually adjusted to binarize the copied image. (3) By carefully comparing the original grayscale image with the binary image through visual examination, the appropriate threshold was determined to be T = 36. (4) The pore area of the soil was calculated using ImageJ’s Analyze Particles function. Figure 14 shows the binarized image at a selected slice height.
Binary processing of CT scan. a CT scan of soil, b Binarization processing.
Pore distribution law.
Figure 15 presents a comparative analysis of pore distribution characteristics between untreated and modified loess. Quantitative evaluation reveals a significant porosity reduction from 0.55% in unmodified loess to 0.43% in the improved specimen, representing a 21.82% decrease. This substantial reduction in void ratio corresponds to diminished pore volume within the soil matrix, directly contributing to enhanced shear resistance through reduced potential for particle rearrangement under stress. The microstructural modification evidenced by these porosity measurements corroborates the densification phenomena observed in SEM analysis.
Prediction model of shear properties in loess soils
Shear strength prediction model
The shear strength characteristics of rice husk ash stabilized loess slopes are significantly influenced by two key factors: moisture content variation induced by natural weathering processes, and spatially dependent confining pressure distribution within the slope profile. Experimental results reveal a distinct logarithmic correlation between shear strength reduction and increasing moisture content, where the rate of strength decrease gradually diminishes at higher saturation levels. Simultaneously, shear strength demonstrates linear proportionality with applied confining pressure. These observed relationships, as illustrated in Fig. 10, form the basis of our proposed empirical model presented in Eq. (1), which effectively captures both the nonlinear moisture-dependent strength degradation and the linear confining pressure response.
Where \({({\sigma _1} - {\sigma _3})_d}\) is shear strength (kPa); w is the actual moisture content (%); \({\sigma _3}\) is confining pressure (kPa); through systematic multivariate regression analysis of triaxial compression test data encompassing various moisture content and confining pressure combinations, the model coefficients spanning a to d were successfully calibrated. The resulting optimized parameter values are comprehensively documented in Table 4.
To demonstrate the accuracy of the prediction model, this study first validates the model against shear strength test results for the optimal 10% rice husk ash mixture at different moisture contents, as shown in Table 5. Additional validation is performed using experimental data not included in the model parameter identification process. Within the range of influencing factors, 16 randomly generated validation cases are presented in Table 6. The model predictions demonstrating excellent agreement with experimental measurements as evidenced by their close distribution along the 1:1 line in Fig. 16. The high-fidelity predictions confirm the model’s effectiveness in quantifying the coupled hydro-mechanical behavior of rice husk ash-stabilized loess, accurately characterizing the nonlinear shear strength evolution under varying moisture content and confining pressure conditions. This robust performance suggests the model’s suitability for engineering applications involving stabilized loess under diverse environmental loading scenarios.
Validation of prediction model.
Prediction model of cohesion and internal friction angle
The Mohr-Coulomb shear strength parameters—cohesion and internal friction angle)—serve as fundamental indicators for assessing the mechanical performance of stabilized loess in pavement base layers. These parameters are conventionally determined through linear regression analysis of triaxial test results using the Mohr-Coulomb failure criterion:
where \(\tau\) is the shear strength at failure (kPa), \(\sigma\) represents the normal stress (kPa). \({\sigma _1}\) is the major principal stress (Shear strength, kPa), \({\sigma _3}\) is the confining pressure for the lord, kPa.
The conventional Mohr–Coulomb strength criterion fails to comprehensively account for the influence of moisture content (w) and confining pressure (σ₃) on the strength characteristics of improved loess. To address this limitation, this study integrates the previously developed shear strength prediction model—considering both moisture content and confining pressure—into Eq. (2), thereby establishing an enhanced Mohr–Coulomb criterion that incorporates these critical factors.
To develop a strength criterion capable of directly characterizing rice husk ash stabilized loess under varying confining pressures and moisture contents, Eq. (1) is first reformulated as Eq. (3). Subsequently, applying the envelope principle (as expressed in Eq. (4)) and solving the system of Eqs. (2)–(4), the modified strength criterion is derived, yielding Eqs. (5)–(6).
where \(\tau\) is the shear strength at failure (kPa), \(\sigma\) represents the normal stress (kPa). \({\sigma _1}\) is the major principal stress (Shear strength, kPa), \({\sigma _3}\) is the confining pressure for the lord, kpa, w is the actual moisture content (%), a ~ d are all obtained from triaxial tests
Equations (5) and (6) represent the Mohr-Coulomb strength criteria for rice husk ash stabilized loess, explicitly accounting for variations in confining pressure and moisture content. The failure envelope curve was obtained using the test parameters predicted for stabilized loess in Table 4. The cohesion and internal friction angle at different moisture contents under optimal rice husk ash addition were calculated, with the results presented in Fig. 17.
Cohesion and internal friction angle under different moisture content.
The cohesion demonstrates a characteristic nonlinear decrease with increasing water content, showing an initial gradual decline followed by an accelerated reduction. Specifically, when the water content increases from the optimum moisture content OMC to 1.2OMC, the cohesion decreases by 29.5% from 29.8 kilopascals to 21.01 kilopascals. With further hydration to 1.4OMC, an additional 28.2% reduction occurs, reaching 15.09 kilopascals. The most significant decrease of 47.6% appears when the water content reaches 1.6OMC, where the cohesion drops sharply to 7.90 kilopascals.
In contrast, the internal friction angle exhibits a distinct two-stage response to hydration. Between OMC and 1.2OMC, it decreases rapidly by 28.7% from 31.91 degrees to 22.76 degrees. However, in the higher hydration range from 1.4OMC to 1.6OMC, the reduction rate slows considerably to just 9.7%, ultimately reaching 15.08 degrees.
These mechanical responses can be attributed to fundamental changes in the soil’s microstructure. As water content increases, the bound water films surrounding soil particles thicken substantially. This phenomenon produces two concurrent effects: first, it diminishes interparticle coupling by reducing effective stress transmission, and second, it enhances particle mobility through improved water film lubrication. Together, these mechanisms account for the observed reductions in both cohesive strength and frictional resistance under shear loading conditions.
Based on the observed variation of cohesion and internal friction angle with water content at the optimum admixture ratio, the study performed regression analysis using Eqs. (7) and (8). This analysis enabled the development of a predictive model for the shear strength behavior of stabilized loess, explicitly incorporating the effects of water content on cohesion and internal friction angle.
Where C is cohesion (kPa) and \(\varphi\) is internal friction angle(°).
Discussion
The addition of rice husk ash (RHA) modified the compaction behavior of loess. These results are consistent with prior studies demonstrating that RHA treatment significantly improves key geotechnical properties of soils. For instance, Goicochea44 reported that a 7.5% RHA content increased the optimum moisture content (OMC) from 11.6 to 13.3% while reducing the maximum dry density (MDD) from 1760 to 1628 kg/m³ Similarly, Brahmachary45 observed that at 20% RHA, the OMC increased by 38.02%, with a corresponding 21.49% decrease in MDD.
The addition of rice husk ash (RHA) significantly influences the shear properties of loess, exhibiting a trend similar to RHA-treated clay. For instance, Li46 reported that clay’s shear strength initially increased with RHA content up to an optimal 4%, beyond which it declined. However, discrepancies exist between these earlier findings and our current results, potentially attributable to variations in soil mineralogy. Furthermore, the improvement efficacy appears dependent on multiple factors, including RHA dosage and curing conditions (e.g., temperature, duration, and pH).
Microstructural analysis revealed that rice husk ash (RHA)-treated loess exhibits reduced porosity and the formation of new silicate compounds. These findings align well with existing research on soil improvement using rice husk ash. As demonstrated by Nguyen Thanh Duong47, the incorporation of rice husk ash into soil leads to the formation of a denser and more compact structure. This observation was further substantiated by Rithy Domphoeun’s analysis, which identified the formation of calcium silicate hydrate (C–S–H) and calcium aluminate hydrate (C–A–H) gels on particle surfaces. These cementitious gels contribute significantly to enhancing the soil’s density and cohesion48.
The development of predictive models for geotechnical parameters typically follows a systematic approach: (1) selection of fundamental mechanical principles as the theoretical basis, (2) experimental determination of relationships between key influencing factors and material strength, (3) mathematical formulation of these relationships, and (4) parameter calibration using experimental data to establish engineering-applicable models. This study develop a shear strength prediction model for stabilized loess using the Mohr-Coulomb criterion as the theoretical framework. The strength variation patterns under different confining pressures and moisture contents were characterized through a series of consolidated undrained triaxial tests. Subsequently, this study propose mathematical functions to quantitatively describe the influence of these critical factors on strength evolution. The model parameters are then calibrated against experimental results to establish a practical predictive tool for stabilized loess applications.
To validate the applicability of the proposed model for predicting the shear strength of rice husk ash-improved loess, a comparative analysis was conducted with existing prediction models from the literature (Table 7; Fig. 18). While all three models successfully captured the fundamental trends of decreasing shear strength with increasing moisture content and increasing strength with higher confining pressure, significant variations were observed in their predictive accuracy across different testing conditions. The proposed model demonstrated superior performance throughout the entire range, maintaining prediction errors below 5%. In contrast, Ding et al.‘s model showed satisfactory performance under low confining pressures but exhibited substantial errors exceeding 20% under high moisture content and confining pressure conditions. Similarly, Chen et al.‘s model provided reliable predictions for low moisture content scenarios but systematically overestimated shear strength by more than 15% under saturated conditions. These comparative results highlight the robust predictive capability of the proposed model across diverse geotechnical conditions.
Comparison of shear strength prediction models.
Conclusions
This study investigates the shear behavior and microstructural evolution of rice husk ash-stabilized loess through systematic laboratory experiments and microstructural characterization. The underlying mechanisms governing moisture content and confining pressure effects on shear strength characteristics are analyzed. The principal findings can be summarized as follows:
-
1.
The addition of rice husk ash (RHA) from 0% to 20% reduced the maximum dry density by 12.7%, from 1.76 g/cm³ to 1.53 g/cm³, while increasing the optimum moisture content by 12.5%, from 14.89% to 16.94%.
-
2.
Consolidated undrained triaxial tests showed that shear strength, cohesion, and internal friction angle all peaked at 10% RHA content, with shear strength increasing by 46.4% to 214.78 kPa compared to untreated loess. At this optimal dosage, cohesion reached 29.8 kPa and the internal friction angle rose to 31.9 degrees, establishing 10% RHA as the most effective stabilization threshold.
-
3.
Scanning electron microscopy and X-ray computed tomography analyses revealed a significant 21.8% reduction in porosity, decreasing from 0.55% to 0.43%. This microstructural improvement resulted from the formation of cementitious products that filled interparticle pores and created dense bridging structures, directly explaining the observed macroscopic strength enhancement.
-
4.
The stabilized loess exhibited strong sensitivity to both moisture content and confining pressure. When moisture content increased from the optimum value to 1.6 times optimum, the peak strength suffered severe 80.5% reduction. Simultaneously, the stabilization effectiveness decreased progressively with higher confining pressures, showing 65% strength improvement at 30 kPa but only 25% improvement at 120 kPa, demonstrating the influence of hydration and confinement on mechanical behavior.
-
5.
Based on experimental results, this study developed a shear strength prediction model specifically tailored for RHA-stabilized loess, which demonstrated consistently high accuracy when validated against 16 independent test conditions. The model integrates confining pressure and moisture effects, while empirical relationships were derived to describe how cohesion and internal friction angle vary with water content, providing practical tools for strength assessment under different hydration states.
Data availability
Data will be made available on request.The datasets generated during this study are available from the corresponding author (G.W.) upon reasonable request at 611250780015@mails.cqjtu.edu.cn.
References
Zhu, B., Zhou, Z. & Li, Z. Soil erosion and controls in the slope-gully system of the loess plateau of china: a review. Front. Environ. Sci. 9, 657030 (2021).
Yue, T., Zhao, N., Shi, W. & Fan, Z. Surface Modelling of Ecosystems and Ecological diversity, Eco-Environmental Informatics 243–287 (Springer, 2025).
Jia, L. et al. Temporal and Spatial variation of rainfall erosivity in the loess plateau of China and its impact on sediment load. Catena 210, 105931 (2022).
Liang, Y., Gao, G., Liu, J., Dunkerley, D. & Fu, B. Runoff and soil loss responses of restoration vegetation under natural rainfall patterns in the loess plateau of china: the role of rainfall intensity fluctuation. Catena 225, 107013 (2023).
Nie, Y., Ni, W., Lü, X., Tuo, W. & Yuan, K. Macroscopic mechanical behavior and microstructural evolution of compacted loess in the Chinese loess plateau. Soil Tillage. Res. 232, 105767 (2023).
Li, X. et al. Particle size control on loess geochemistry: characteristics, mechanisms, and implications for provenance tracing. Geochem. Geophys. Geosyst. 26(3), e2024GC012046 (2025).
Yao, Y. et al. Study on permeability and collapsibility characteristics of sandy loess in Northern loess Plateau, China. J. Hydrol. 603, 126883 (2021).
Leng, Y., Peng, J., Wang, S. & Lu, F. Development of water sensitivity index of loess from its mechanical properties. Eng. Geol. 280, 105918 (2021).
Wei, L., Zeng, Z. & Yan, J. Factors affecting the stability of loess landslides: a review. Appl. Sci. 14 (7), 2735 (2024).
An, M. et al. Study on the causes, deformation and failure mechanisms of loess multistage collapse. Bull. Eng. Geol. Environ. 83 (7), 297 (2024).
Zhang, L. et al. A comparative study on the physical properties of natural sedimentary loess and manual filling compacted loess. Environ. Earth Sci. 80 (21), 721 (2021).
Xu, P. et al. New insights into microstructure evolution mechanism of compacted loess and its engineering implications. Bull. Eng. Geol. Environ. 82 (1), 36 (2023).
Hou, Y., Li, P. & Wang, J. Review of chemical stabilizing agents for improving the physical and mechanical properties of loess. Bull. Eng. Geol. Environ. 80 (12), 9201–9215 (2021).
Huangjing, S. & Gasaluck, W. The stabilization of loess by chemical additives for road base. EJGE 15, 1651–1668 (2010).
Lenoir, T., Dubreucq, T., Lambert, T. & Killinger, D. Safety factor calculation of a road structure with cement-modified loess as subgrade. Transp. Geotech. 30, 100604 (2021).
Ma, Y. & Chen, W. Study on the mechanism of stabilizing loess with lime: analysis of mineral and microstructure evolution. Adv. Civil Eng. 2021 (1), 6641496 (2021).
Naqi, A. & Jang, J. G. Recent progress in green cement technology utilizing low-carbon emission fuels and raw materials: a review. Sustainability 11 (2), 537 (2019).
Habert, G. et al. Environmental impacts and decarbonization strategies in the cement and concrete industries. Nat. Rev. Earth Environ. 1 (11), 559–573 (2020).
Wu, H. et al. Study on the performance of collapsible loess subgrade improved by steel slag. J. Build. Eng. 84, 108642 (2024).
Li, H., Yang, M. & Guo, X. Study of the disintegration of loess modified with fly ash and roadyes. Sci. Rep. 13 (1), 7253 (2023).
Zivari, A., Siavoshnia, M. & Rezaei, H. Effect of lime-rice husk Ash on geotechnical properties of loess soil in Golestan province, Iran. Int. J. Geoeng. 14 (1), 20 (2023).
Turkane, S. D. & Chouksey, S. K. Design of flexible pavement thickness using stabilized high plastic soil by means of fly ash-based geopolymer. Int. J. Pavement Eng. 24 (2), 2044035 (2023).
Moraes, C. A. et al. Review of the rice production cycle: by-products and the main applications focusing on rice husk combustion and ash recycling. Waste Manag. Res. 32 (11), 1034–1048 (2014).
Kumar, A., Sengupta, B., Dasgupta, D., Mandal, T. & Datta, S. Recovery of value added products from rice husk ash to explore an economic way for recycle and reuse of agricultural waste. Rev. Environ. Sci. Bio/Technol. 15 (1), 47–65 (2016).
Wu, L. et al. Design and experimental study of an adjustable wrapping machine for rice straw bales of different sizes. Inmateh-Agric. Eng. 76(2), 428–435 (2025).
Prasara-A, J. & Gheewala, S. H. Sustainable utilization of rice husk Ash from power plants: a review. J. Clean. Prod. 167, 1020–1028 (2017).
Koul, B., Yakoob, M. & Shah, M. P. Agricultural waste management strategies for environmental sustainability. Environ. Res. 206, 112285 (2022).
Arora, J., Ramawat, K. & Mérillon, J. M. Disposal of agricultural waste and its effects on the environment, production of useful metabolites and energy: potential and challenges, Agricultural waste: Environmental impact, useful metabolites and energy production, Springer2023, pp. 3–20.
Costa, J. A. S. & Paranhos, C. M. Systematic evaluation of amorphous silica production from rice husk ashes. J. Clean. Prod. 192, 688–697 (2018).
Carlsen, M. M. H. & Saito, Y. Phase diagram of SiO2 crystallization upon rice husk combustion to control silica ash quality. Waste Manag. 182, 55–62 (2024).
Maksimova, Y. G., Shchetko, V. & Maksimov, A. Y. Polymer hydrogels in agriculture. Sel’skokhozyaistvennaya Biol. 58, 23–42 (2023).
Zhu, J. et al. Recent advances in superabsorbent hydrogels derived from agro waste materials for sustainable agriculture: a review. J. Agric. Food Chem. 72 (41), 22399–22419 (2024).
Shehata, A. A. A., Owino, A. O., Islam, M. Y. & Hossain, Z. Shear strength of soil by using rice husk ash waste for sustainable ground improvement. Discov. Sustain. 5 (1), 64 (2024).
Fattah, M. Y., Rahil, F. H. & Al-Soudany, K. Y. Improvement of clayey soil characteristics using rice husk Ash. J. Civil Eng. Urban. 3 (1), 12–18 (2013).
Alhassan, M. & Alhaji, M. M. Effect of rice husk ash on cement stabilized laterite (2007).
Shen, Y., Yan, H., Wang, R., Song, P. & He, Y. Progress with functional materials based on loess particles. Clays Clay Miner. 69 (3), 301–314 (2021).
Tao, H. et al. The mechanism of slope instability due to rainfall-induced structural decay of earthquake-damaged loess. Earthq. Res. Adv. 2 (3), 100137 (2022).
Zhang, X. et al. Characteristics and prevention mechanisms of artificial slope instability in the Chinese loess plateau. Catena 207, 105621 (2021).
Nguyen, D. T., Nguyen, N. T., Pham, H. N. T., Phung, H. H. & Nguyen, H. V. Rice husk ash and its utilization in soil improvement: an overview. J. Min. Earth Sci. 61 (3), 1–11 (2020).
Qu, J., Li, B., Wei, T., Li, C. & Liu, B. Effects of rice-husk ash on soil consistency and compactibility. Catena 122, 54–60 (2014).
Anupam, A. K., Kumar, P. & Ransingchung Rn, G. Performance evaluation of structural properties for soil stabilised using rice husk ash. Road. Mater. Pavement Des. 15 (3), 539–553 (2014).
Wang, L., Yao, Y. & Li, J. Effect of polyacrylate polymer on the mechanical and water retention properties of cemented soil: a multiscale investigation. Case Stud. Constr. Mater. 21, e04075 (2024).
Liu, C., Shi, B., Zhou, J. & Tang, C. Quantification and characterization of microporosity by image processing, geometric measurement and statistical methods: application on SEM images of clay materials. Appl. Clay Sci. 54 (1), 97–106 (2011).
Torres Goicochea, J. & Guillén Sheen, T. E. Incorporation of rice husk ash for the improvement of mechanical properties of clay soils for the paving of the Santa Rosa de Combayo Highway, Cajamarca, LACCEI 1(8) (2023).
Brahmachary, T. K., Ahsan, M. K. & Rokonuzzaman, M. Impact of rice husk Ash (RHA) and nylon fiber on the bearing capacity of organic soil. SN Appl. Sci. 1 (3), 273 (2019).
Li, N. et al. Study on small strain characteristics and microscopic mechanism of rice husk Ash modified lime soil. Transp. Geotech. 45, 101209 (2024).
Duong, N. T., Van Duc, B. & Van Phi, D. Effect of rice husk ash incorporation on the strength development and microstructural properties of stabilized clayey soil. Arab. J. Sci. Eng. 1–11. (2025).
Domphoeun, R., Eisazadeh, A. & Nishimura, S. Strength properties of laterite soil stabilized with rice husk Ash and lime as road material. Transp. Infrastruct. Geotechnol. 12 (1), 32 (2025).
Ding, J. et al. Prediction model of residual soil shear strength under dry–wet cycles and its uncertainty. Water 15 (22), 3931 (2023).
Chen, P. et al. Hydraulic path dependence of shear strength for compacted loess. J. Rock Mech. Geotech. Eng. 15 (7), 1872–1882 (2023).
Acknowledgements
This research received no external funding.
Author information
Authors and Affiliations
Contributions
Dequan Peng : Investigation, Validation, Formal analysis, Data curation, Writing–original draft, Writing–review & editing. Guan Wang : Conceptualization, Methodology, Investigation, Formal analysis, Supervision, Project administration, Writing – original draft. Xiaohong Guan : Conceptualization, Investigation, Funding acquisition, Writing – original draft, Writing–review & editing.
Corresponding author
Ethics declarations
Competing interests
The authors declare no competing interests.
Additional information
Publisher’s note
Springer Nature remains neutral with regard to jurisdictional claims in published maps and institutional affiliations.
Rights and permissions
Open Access This article is licensed under a Creative Commons Attribution-NonCommercial-NoDerivatives 4.0 International License, which permits any non-commercial use, sharing, distribution and reproduction in any medium or format, as long as you give appropriate credit to the original author(s) and the source, provide a link to the Creative Commons licence, and indicate if you modified the licensed material. You do not have permission under this licence to share adapted material derived from this article or parts of it. The images or other third party material in this article are included in the article’s Creative Commons licence, unless indicated otherwise in a credit line to the material. If material is not included in the article’s Creative Commons licence and your intended use is not permitted by statutory regulation or exceeds the permitted use, you will need to obtain permission directly from the copyright holder. To view a copy of this licence, visit http://creativecommons.org/licenses/by-nc-nd/4.0/.
About this article
Cite this article
Peng, D., Wang, G. & Guan, X. Shear behavior and predictive modeling of loess stabilized with rice husk ash. Sci Rep 16, 7964 (2026). https://doi.org/10.1038/s41598-026-35717-w
Received:
Accepted:
Published:
Version of record:
DOI: https://doi.org/10.1038/s41598-026-35717-w




















