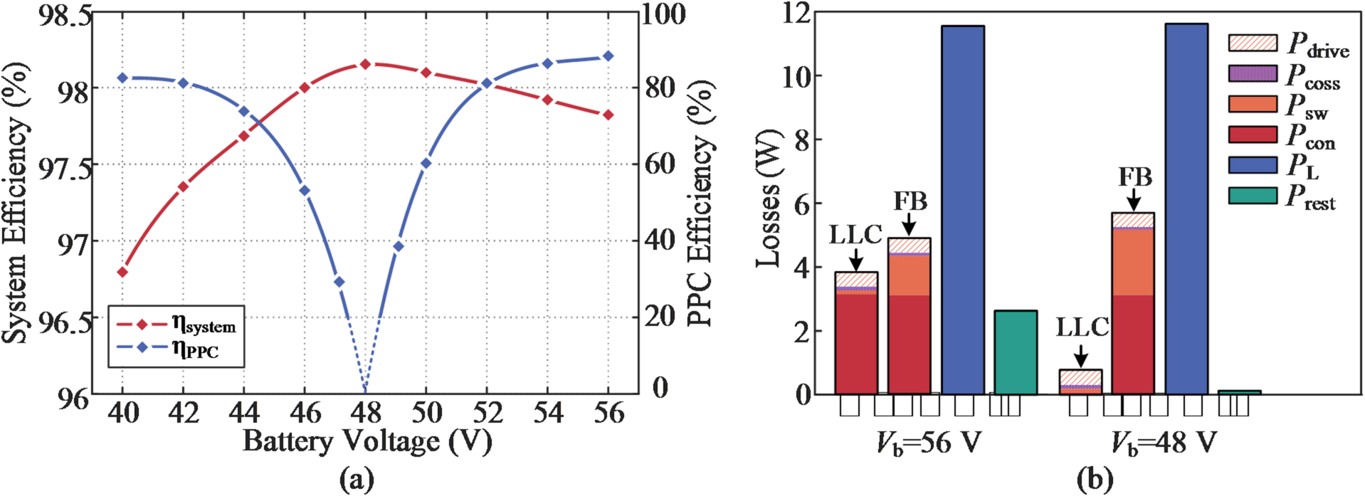
Fig. 23

(a) System efficiency and PPC efficiency point captured at rated charge current. (b) Loss breakdown details when Vb = 48 V and 56 V.

(a) System efficiency and PPC efficiency point captured at rated charge current. (b) Loss breakdown details when Vb = 48 V and 56 V.