Fig. 7
From: Optimal fuel cell control modeling with feedback linearization and adaptive sliding mode control

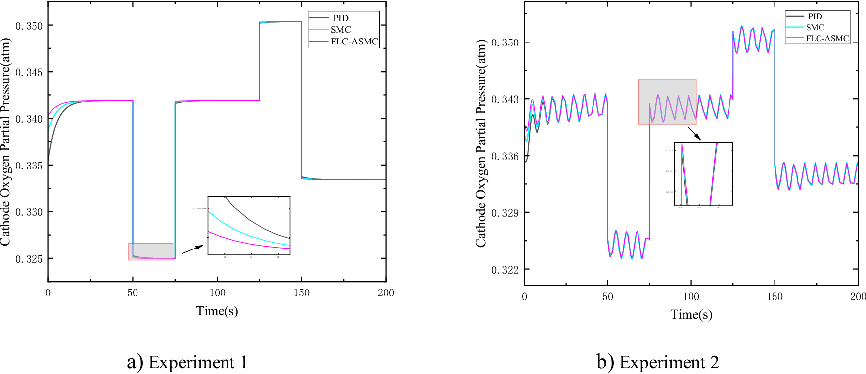
Changes in the output pressure of cathode oxygen under different experiments (a) Experiment 1 (b) Experiment 2.
From: Optimal fuel cell control modeling with feedback linearization and adaptive sliding mode control

Changes in the output pressure of cathode oxygen under different experiments (a) Experiment 1 (b) Experiment 2.