Abstract
The development of the coastal economy, coupled with global climate change, has gradually made drought one of humanity’s major disasters. It causes significant harm to both the natural environment and the socioeconomic development of coastal areas. This study aims to combine deep learning algorithms and CMIP6 models to build a prediction method for hydrological drought under climate change in this area. The changes of regional hydrological drought in mid-century and late-century were analyzed, and the hydrological drought was calculated using Standardized Runoff Index (SRI) at different time scales. And then we use the copula function to calculate the joint recurrence period of mid-century hydrological drought. In this study, a better simulation algorithm EMD-LSTM was constructed to predict the change of hydrological drought in the Dagu River Basin in mid-century and late-century. The results show that the relative change in annual precipitation varied from 11 to 25% compared with the historical averages across both the mid- and late-century periods. Meanwhile, monthly average temperatures were all higher than historical averages, with a maximum increase of 3.8 °C (in the late-century under SSP5-8.5). The future trend of drought under different scenarios showed alternating dry and wet characteristics. Drought conditions were more severe in the mid-century compared to the end of the late-century. As the time scale increased, drought intensity decreased, but drought duration increased. This study provides a new potential method for accurate prediction of drought, offering a scientific basis for water resource management and protection.
Introduction
In the context of global climate warming, the water cycle has accelerated, disrupting the water balance and leading to more frequent extreme weather events1. Drought, one such extreme weather event, has demonstrated high levels of harm due to its frequent occurrence, long duration, and wide-ranging impact2. In recent years, frequent droughts have caused serious effects on the ecological environment, the livelihoods of urban and rural residents, and the socioeconomic development of coastal cities. For example, droughts lead to river dryness, death of aquatic organisms, reduced agricultural crop yields, and diminished water supply for industrial development and residential use3,4. In the coming decades, global warming is expected to continue to increase while the global population continues to grow. These factors will contribute to excessive pressure on water resources and promote the occurrence of drought events. Consequently, the issue of drought has become increasingly prominent and is now a focal point of attention for many countries5.
The issue of drought, which causes multiple hazards due to the combined effects of climate change and human activities, has attracted the attention of researchers from various countries and regions6,7. The World Meteorological Organization categorizes drought into four types: meteorological drought, hydrological drought, agricultural drought, and socioeconomic drought8. A range of index evaluation methods have been proposed to quantitatively analyze the severity of drought, and they have become widely used in drought assessment. Prominent indices in this field include the Palmer Drought Index, Standardized Precipitation Index, Streamflow Drought Index, and Standardized Streamflow Index9,10,11. Given the diversity in drought indices, varying calculation methods, and data requirements, it is necessary to carefully select a suitable drought index for relevant research purposes. Currently, most scholarly research is focused on meteorological and agricultural drought, while research on hydrological drought is relatively scarce12. In reality, hydrological drought, which primarily focuses on streamflow, poses a challenge in drought research due to its nonlinearity, non-stationarity, and complexity, thus requiring the development of high-precision prediction models13,14.
Identifying hydrological drought patterns and accurately predicting hydrological droughts are crucial for mitigating the adverse impacts of hydrological droughts on regional socioeconomic development and for the rational allocation and drought resistance of basin water resources15. The prediction and evolution of hydrological droughts in basin under future climate change conditions are important topics in the field of hydrology. Changes in temperature, precipitation, and evapotranspiration caused by climate change significantly alter the hydrological cycle, leading to changes in the frequency, duration, and intensity of drought events. General Circulation Models (GCMs) are important tools for assessing climate change and climate forecasting, and they have made significant contributions to climate change attribution analysis and climate prediction. The Coupled Model Intercomparison Project (CMIP) has organized six model comparison projects so far to compare and evaluate the effectiveness of existing atmospheric models16. However, current research mainly focuses on future runoff estimation in the Dagu River Basin based on the Fifth Coupled Model Intercomparison Project (CMIP5), with less attention given to drought. CMIP6 is the most extensive version of the ongoing series, with the highest number of models and experimental data. Compared to CMIP5, CMIP6 uses a matrix framework of Shared Socioeconomic Pathways (SSPs) and Representative Concentration Pathways (RCPs). The new scenarios cover future socioeconomic changes in terms of population, economy, ecology, resources, and institutions, as well as various mitigation, adaptation, and climate change response measures. The resolution has also been improved compared to previous versions17,18.
Predicting hydrological droughts under future climate change requires the use of hydrological models that incorporate the impact of climate change on the hydrological cycle. In recent years, researchers have made significant progress in developing various hydrological models to simulate water cycles under different climate scenarios and predict hydrological droughts. These models are mainly divided into mechanistic prediction models and non-mechanistic prediction models19. The SWAT model is one of the most widely used mechanistic hydrological models. This model is based on the Soil and Water Assessment Tool to simulate hydrological droughts and evaluate the impact of climate change on water resources. It integrates various components of the hydrological cycle, including precipitation, evapotranspiration, runoff, and groundwater recharge20. However, mechanistic models require a large amount of experimental and basic data, and it is difficult to deal with complex hydrological data21. In recent years, different machine learning and deep learning models have been applied in hydrological research due to their strong non-linear fitting ability and characteristics such as ease of construction and adaptability. For example, machine learning models such as LSTM (Long Short-Term Memory) and GRU (Gated Recurrent Unit) have shown strong generalization ability in predicting hydrological droughts22. However, LSTM has a large number of parameters and long running time when dealing with large amounts of data23. On the other hand, although GRU has fewer parameters and faster convergence speed, its simulation stability is poor24. Therefore, there is an urgent need to develop new hydrological models to improve the accuracy and robustness of drought prediction.
While accurate drought prediction is crucial, a comprehensive risk assessment necessitates a multi-faceted understanding of drought characteristics, including their duration, severity, and intensity. Traditional univariate analysis often falls short in capturing the complex interdependence between these attributes. To this end, the Copula function has emerged as a powerful statistical tool for constructing multivariate joint distribution models, enabling a sophisticated analysis of the co-occurrence and joint probability of drought variables. Its efficacy has been demonstrated in deriving drought severity-duration-frequency curves and in the concurrent analysis of meteorological, hydrological, and agricultural drought characteristics25,26. Furthermore, the application of Copulas has been successfully extended to quantify the compound nature of other climate extremes, such as heatwaves27,28,29, underscoring its versatility in climate risk assessment.
This study introduces a novel hybrid forecasting framework that synergistically integrates the EMD algorithm with deep learning models (LSTM, GRU), and systematically compares their performance against the process-based SWAT model. This approach effectively overcomes the limitations of single models and achieves superior accuracy in hydrological runoff estimation for the Dagu River Basin. To project future drought risks, the research systematically employs five CMIP6 GCMs under multiple Shared Socioeconomic Pathways (SSP1-2.6, SSP2-4.5, and SSP5-8.5) to output mid- and late-century climate data. A comprehensive multi-scale assessment of hydrological drought is conducted by calculating the SRI at 1-, 3-, and 12-month timescales. Subsequently, the Run Theory is applied to extract and analyze drought characteristics (intensity, duration, and severity), providing a robust evaluation of how future climate change may alter drought patterns. The methodologies and findings established herein offer a scientific foundation for policymakers in forecasting and mitigating future drought evolution.
Materials and methods
Study area
The Dagu River, located on the Jiaodong Peninsula, is the largest river in the region with a total length of 86.5 km (Fig. 1). The coordinates for the Dagu River basin are 119°40′–120°39′ E, 35°54′ N–37°22′ N. The elevation of the study area ranges from 0 to 1080 m. The Dagu River flows through Laixi, Pingdu, Jimo, and Jiaozhou, with a total area of 4781 km2. The average annual temperature in the study area is 11.9 ℃, with the highest recorded temperature being 36.9 ℃ and the lowest being − 20.5 ℃. The average precipitation during the multi-year high-water period (June to September) in the Dagu River basin is approximately 334.4 mm, while during the low-water period, it is 115.3 mm. The precipitation during the high-water period is 2.9 times higher than during the low-water period. The average annual evaporation in the Dagu River basin is 960.35 mm, which greatly exceeds the average annual precipitation and is about 1.4 times higher. The precipitation and evaporation show significant variations both within and between years, making the area susceptible to droughts and floods. The differing levels of rainfall in the basin also contribute to significant annual variations in runoff. The maximum annual runoff was 2.835 billion m3 in 1964, while the minimum was 77 million m3 in 1981, making the maximum runoff 36.8 times higher than the minimum runoff.
The water resources in the Dagu River basin are an important source of drinking water for Qingdao city. They also serve as a significant agricultural base for grains, vegetables, and fruits. The Dagu River has an average annual water level of 11.32 m, with a maximum flow rate of 295 m3/s and a minimum flow rate of 0.02 m3/s. The average annual flow rate is 3.23 m3/s and the annual flow rate at the cross-section is 1.02 × 108 m3. Originally a perennial river, certain sections of the Dagu River have become seasonal rivers around 1980 due to human activities and climate change. At times, the river may experience flow cessation due to insufficient replenishment. Therefore, studying the variations in the Dagu River’s runoff under different climate models is crucial for maintaining the drinking water security of the entire city.
Geographical location, monitoring points and elevation map of the study area.
Data sources
In this study, the precipitation, maximum temperature, and minimum temperature data are mainly based on the daily data set from China National Surface Weather Stations (V3.0). The dataset comprises daily ground-level observations of key meteorological parameters from January 1951, encompassing both benchmark and general meteorological stations in China. Table 1 presents stations used in the Dagu River basin and the runoff data derived from the Shanjiaodi hydrology station.
Five General Circulation Models (GCMs), as part of the Coupled Model Intercomparison Project Phase 6 (CMIP6), were utilized in the present study. The names of these GCMs, along with details regarding their location, are provided in Table 2. Specifically, the selected GCMs were employed to examine the precipitation, the maximum temperatures (TMAX), and the minimum temperatures (TMIN) for both the historical period and future scenarios, based on different SSPs. The model chosen for this investigation has a proven track record in runoff analysis across East and Southeast Asia, exhibiting commendable adaptability. The aforementioned GCM data was obtained from the following source: https://esgf-node.llnl.gov/search/cmip6/.
The IPCC (Intergovernmental Panel on Climate Change) has established a new scenario framework called SSPs to more comprehensively reflect climate and the economy relationships30,31. The SSPs consist of five unique development paths: SSP1 represents sustainable development with a focus on environmental conservation, SSP2 represents a middle-ground approach with mitigation and adaptation measures, SSP3 represents a competitive regional development path, SSP4 represents a divergent development path with high inequalities, and SSP5 represents a rapid development path with high fossil fuel consumption32. In this study, we choose three SSPs: SSP1-2.6, SSP2-4.5, and SSP5-8.5. These pathways represent low, medium, and high future development scenario, respectively. Under different emission conditions, this study aims to provide guidance on studying the uncertainty in runoff due to future climate change. The runoff data used in this study is sourced from the Tibetan Plateau Scientific Data Center CNRD v1.0 (1961–2018). Gou et al.33 have successfully established a runoff dataset of long time series, full coverage and high quality, the time span of which is from January, 1961, to December, 2018. The simulation results of 200 hydrological stations indicated that most stations achieved full calibration of model parameters34. The mean values of the model Nash efficiency coefficient (NSE) for the calibration and validation periods were found to be 0.83 and 0.8, respectively. Overall, the calibration and regionalization of hydrological model parameters demonstrated satisfactory performance, making them suitable for reconstructing long-term runoff data. For this study, the CNRD v1.0 runoff volume at the Shanjiaodi hydrology station is used as the runoff data. The multi-year average runoff error at this grid point is less than 10% compared with the actual measurements from the hydrological station, thus making this runoff data an appropriate alternative for the study.
Soil and water assessment tool (SWAT)
The SWAT model is applicable for large-scale watersheds and incorporates strong physical mechanisms. The model can simulate various time scales, including annual, monthly, and daily. The SWAT model discretizes the watershed in two steps. First, based on topographic data, it divides the watershed into sub-watersheds interconnected by a river network35. Then, to account for spatial heterogeneity, each sub-watershed is further divided into hydrological response units based on unique combinations of land use, soil type, and slope36. For each hydrological response unit, hydrological processes such as surface runoff and evapotranspiration are simulated, which then converge through the river network to the watershed outlet. The parameter calibration is based on SWAT-CUP (SWAT-Calibration and Uncertainty Programs) software, and the SUFI-2 algorithm was used for model parameter calibration12. In parallel to the process-based SWAT modeling, a data-driven approach was developed to enhance runoff simulation accuracy, beginning with advanced signal decomposition of the input time series.
Couple EMD with LSTM/GRU
Empirical Mode Decomposition is a data-driven technique used to decompose a time series signal into a set of IMFs37. The reconstructed time series, derived from the screened IMFs, was then partitioned into training and validation sets to develop and evaluate the LSTM and GRU deep learning models for runoff prediction. IMFs represent the local oscillations or components of different time scales present in the original signal. The EMD algorithm iteratively extracts IMFs from the input signal by following these steps38: (1) Identify all the local extrema (maxima and minima) in the signal. (2) Construct the upper and lower envelopes by interpolating the maxima and minima. (3) Compute the average of the upper and lower envelopes to obtain the first IMF, which represents the high-frequency component. (4)Subtract the first IMF from the original signal to obtain a residue. (5) Repeat steps (2)-(4) on the residue to extract the subsequent IMFs. (6) The last IMF is the residual component, which represents the low-frequency trend of the original signal. The EMD process is repeated until the residue becomes a monotonous function or noise-like (Fig. 2).
Flowchart of coupling EMD with LSTM/GRU.
Long Short-Term Memory (LSTM) is a type of recurrent neural network (RNN) that is well-suited for processing sequential data, such as time series. LSTM networks are designed to capture long-term dependencies and can effectively model the temporal dynamics of a sequence. The key components of an LSTM unit are the input gate, forget gate, output gate, and cell state. These gates control the flow of information and enable the LSTM to remember or forget information over varying time intervals39.
A Gated Recurrent Unit (GRU) is a type of recurrent neural network (RNN) that incorporates a gating mechanism to regulate the information flow. It consists of two essential gates, namely the reset gate and the update gate, which exert control over the amount of information propagated to the subsequent time step. The reset gate governs the selection of relevant information to discard from the preceding time step, while the update gate determines the information to be updated. By employing these gating mechanisms, GRUs address the challenge of vanishing gradients encountered in conventional RNNs by enabling selective retention or omission of information pertaining to previous time steps40.
In the context of EMD-LSTM/GRU, we use the variance contributions rate to deal with the intrinsic mode functions (IMFs). Each IMF represents a different frequency component of the original signal, and then we calculate the variance contribution rate of each component. To select the most significant IMFs, the variance contributions are cumulatively summed, and the IMFs are retained until the cumulative variance contribution exceeds a threshold, typically set at 0.9 (or 90%). This threshold ensures that a substantial portion of the variability in the original signal is preserved (Fig. 3). The retained IMFs are then used to reconstruct a new time series by summing them together. This reconstructed time series represents the essential components of the original signal, capturing the most important temporal patterns and trends. This step helps improve the overall forecasting or analysis performance of the EMD-LSTM/GRU model by providing a more concise and informative representation of the time series data.
The original data and EMD results, including reconstructed outputs after screening IMFs: (a) Precipitation; (b) TMIN; (c) TMAX.
Standardized runoff index
In the Dagu River Basin, the hydrological station at Shanjiaodi was subjected to drought analysis using the SRI. The simulated future runoff series, generated by the trained EMD-LSTM/GRU models driven by downscaled CMIP6 climate data, were then converted into SRI sequences at 1-, 3-, and 12-month scales to quantify hydrological drought conditions. Similar to the calculation method for the Standardized Precipitation Index, the SRI was obtained by normalizing the runoff using a probability distribution type that best fits the runoff within a certain time period41. The calculation method is as follows:
Assuming the runoff quantity (x) during a specific time period follows the probability density function of the Gamma (Г) distribution, denoted as f(x):
where β is the scale parameter; α is the shape parameter, x > 0, β > 0, α > 0, β and α are calculated by the extreme likelihood method.
It is then accumulated to obtain the cumulative probability distribution function:
Finally, the cumulative probability distribution function is converted to a standard normal distribution function:
where c0 = 2.515517, c1 = 0.800853, c2 = 0.010328, d1 = 1.432788, d2 = 0.189269, d3 = 0.001308, which are determined by experience. The drought levels were divided according to the constructed standard runoff index (SRI) (Table 3).
The run theory
The Run Theory, also known as the Run Length Theory, is a method of time series analysis. This Run Theory-based identification process extracted key drought characteristics (duration D and severity S) from the SRI sequences, which served as essential inputs for the subsequent multivariate drought risk assessment. The specific process of using the run theory for drought identification is as follows42: firstly, a threshold value R is selected. When the drought index sequence is continuously below R for a certain period of time, it is deemed to be a negative run, indicating the occurrence of a drought event. The length of the negative run represents the duration of the drought. The accumulated absolute values of the drought index during the drought duration period represent the severity of the drought. The absolute value of the maximum negative run is defined as the peak intensity. The threshold value R is selected as the critical value corresponding to the drought index when a mild drought occurs.
Based on the run theory, drought can be categorized into three characteristics: drought duration (D), drought severity (S), and drought intensity43. This paper defines a drought event when the SRI≤-0.50. The negative run length is the drought duration D (in months). The lack of accumulated SRI value and critical value in the negative run is the drought intensity (that is, the accumulated drought and water shortage in the drought event) S:
The calculation of SRI in this paper is based on the frequency of drought events and the duration and intensity of corresponding drought events extracted by the run theory.
Weather generator
Due to the coarse spatial resolution of GCMs, they are not suitable for simulating regional climate scenarios. To address this limitation, various downscaling techniques have been developed. A random weather generator is a tool used in simulations to create weather conditions that vary unpredictably. It models the atmosphere’s behavior in a simplified way to generate weather patterns, which include variables like temperature, precipitation, humidity, wind speed, and cloud cover. The principle behind such a generator is to use randomness, combined with statistical distributions and meteorological rules, to simulate realistic weather conditions over time44. In this study, the stochastic weather generator LARSWG6 is employed to simulate monthly rainfall, maximum, and minimum temperature series for the study region45, which has been proved effectively in more than 75 countries46,47.
Hydrological drought analysis method based on copula function
The Copula is a joint distribution function defined on the interval [0,1], which can link the marginal distributions of several dependent variables to obtain their joint probability distribution function. Due to different construction methods, Copula functions come in various types. Among the Copula families, Archimedean Copula functions and Elliptical Copula functions are commonly used and effective in bivariate hydrological frequency analysis. In this study, Clayton Copula, Gumbel-Hougaard (G-H) Copula, Frank Copula, t-Copula, and Normal Copula are selected to model the dependency structure between drought duration and drought severity. These functions are used to analyze the multivariate probabilistic characteristics of drought in the Dagu River Basin. Table 4 presents their mathematical expressions.
Results
Five models performance comparison
Table 5 presents a comparison of the the five models performance in simulating monthly flows at the Shanjiaodi hydrological station during the calibration phase (January 1985 to June 2007) and the validation phase (April 2008 to December 2014).
We can come to the conclusion that all five models can simulate the runoff variation to a degree. The EMD-LSTM performed best in the simulation period, with R2 values of 0.82 and 0.74 in the simulation periods. The RMSE values were 11.6 and 14.5, respectively. In contrast, SWAT performed better in the calibration period with an R2 value of 0.83 and an RMSE of 10.5. GRU had the worst performance among the five models, with an R2 value of 0.54 and an RMSE value of 18.6 for the calibration period. The R2 and RMSE values for the validation period were 0.49 and 19.4, respectively. R2 values were lower than 0.6 in both calibration and validation periods.
EMD-GRU outperformed GRU in performance but was still at a lower level than EMD-LSTM and SWAT. It can be seen from the analysis results that the prediction performance of LSTM and GRU algorithms can be greatly improved by using EMD reconstructed data.
Figures 4 and 5 compare measured and simulated monthly runoff values using 5 models for calibration and validation periods at the Shanjiaodi station, highlighting significant seasonal and inter annual variations. SWAT, EMD-LSTM and EMD-GRU models best capture large runoff fluctuations, with EMD-LSTM showing superior performance, particularly during the validation period and in extreme cases.
Scatter plots of predicted vs. observed values for different models during the training period.
Scatter plots of predicted vs. observed values for different models during the testing period.
Climate change impact assessment
Changes in rainfall and temperature
Figure 6 illustrate the relative changes in rainfall projected by five GCMs and their ensemble mean values for both the mid-century (2041–2060) and late-century (2081–2100) under different SSPs. During the mid-century period, the relative monthly changes in rainfall under the SSP1-2.6 scenario range from − 7.6% to 67%, while under the SSP2-4.5 scenario, the range is between − 17.5% and 41%. In the more extreme SSP5-8.5 scenario, the monthly rainfall variability fluctuates between − 13.6% and 46.6%. When compared to the historical monthly precipitation averages, the overall relative change in the ensemble mean monthly rainfall for the five GCMs is projected to range from 11% to 25%.
Looking ahead to the late-century (2081–2100), a similar pattern of rainfall variation is observed. Under SSP1-2.6, the monthly relative changes are expected to range between − 16% and 66%, while the SSP2-4.5 scenario suggests a change between − 14% and 59%. In the most intense SSP5-8.5 scenario, the monthly rainfall is projected to vary between − 8% and 70%. This analysis highlights the significant range of variability in projected rainfall under different SSPs, with the most considerable changes occurring under the highest emission scenario, SSP5-8.5.
Monthly precipitation relative changes for five GCMs and ensemble mean value in mid-century and late-century. (a) Mid-century, (b) late-century.
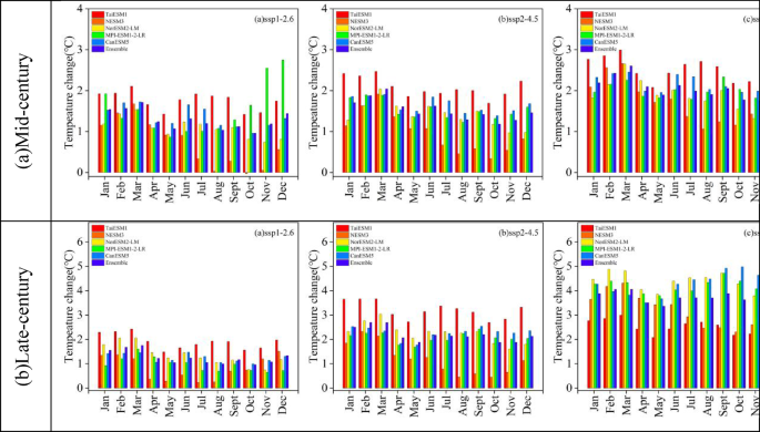
Figure 7 depict the relative changes in temperature projected for the mid-century and late-century according to five GCMs and their ensemble mean values under various SSPs. Unlike rainfall projections, which vary more widely, the average monthly temperature predicted by all five GCMs is consistently higher than the historical monthly average. Among the scenarios, SSP5-8.5 shows the most significant temperature increase, while SSP1-2.6 and SSP2-4.5 exhibit more moderate, but comparable, levels of warming.
In the mid-century projections, the ensemble mean temperature under the SSP5-8.5 pathway is expected to rise by approximately 2 °C above the historical monthly mean. Under SSP1-2.6, temperatures are projected to increase by around 1.3 °C, while SSP2-4.5 shows a slightly higher increase of about 1.5 °C. By the late-century, the temperature rise becomes even more pronounced, with the ensemble mean value under SSP5-8.5 projected to be approximately 3.8 °C above the historical monthly average.
Monthly temperature relative changes for five GCMs and ensemble mean value in mid-century and late-century. (a) Mid-century, (b) late-century.
Change trend of SRI under different scenarios
According to the simulated monthly runoff data of the research area from 2041 to 2100, the SRI for three different time scales was calculated under three SSPs. The calculation results are shown in Fig. 8. SRI1, SRI3, and SRI12 represent the SRI for time scales of 1 month, 3 months, and 12 months, respectively. Overall, the SRI varies in terms of drought duration and intensity across different time scales. In different scenarios, the future drought trends exhibit an alternation between dry and wet periods, and the frequency of drought decreases with higher drought levels. Similar fluctuation patterns are observed in SRI1 and SRI3, with frequent alternation between drought and non-drought periods. However, the frequency of wet and dry alternation in SRI12 is significantly lower, indicating a relatively stable long-term trend. In addition, the frequency of mild drought occurrence is higher at smaller scales (SRI1, SRI3). The frequency of moderate drought occurrence does not show a significant correspondence with time scales in different scenarios. It can be seen that the frequency of drought occurrence is noticeably higher during the period from 2041 to 2060 compared to 2081 to 2100.
Prediction on SRI of five GCMs and ensemble mean values in mid-century (2041–2060) and late-century(2081–2100)(When the SRI is greater than − 0.5, it means that there is no drought. And when it is below the first to fourth thin solid lines, it means the occurrence of mild drought, moderate drought, severe drought and extreme drought respectively.). (a) Mid-century, (b) late-century.
In the case of climate change, the run theory was used to analyze the drought duration and drought intensity at multiple time scales under different scenarios (Table 6). Under different scenarios, the intensity of drought is decreasing with the increase of time scale. Moreover, the drought duration, and intensity in the middle of the century (2041–2060) are higher than those in the late-century (2081–2100). Under the SSP1-2.6 scenario, the drought duration and intensity in the mid-century and late-century have been increasing over time. Under the scenarios of 2041–2060 in SSP2-4.5 and 2081–2100 in SSP5-8.5, the drought duration and drought intensity are shown as twelve > one > three on the time scale. However, at the end of the century in the SSP5-8.5 scenario, from January to December, the duration and intensity of drought continued to increase.
Characteristics analysis of hydrological drought recurrence period
Based on the identification of drought duration and drought intensity in hydrological drought by SRI sequence in the mid-century, this study selects the optimal copula function to establish the joint distribution of drought duration and drought intensity, and calculates the historical recurrence period of hydrological drought in Dagu River basin, so as to master the frequency characteristics of hydrological drought in Dagu River basin.
The marginal distribution of drought duration and drought intensity should be determined before calculating the hydrological drought recurrence period by Copula function modeling. Six commonly used functions, namely Gam, Norm, Exp, Logn, Wbl and Rayl, were used to fit the drought duration and drought intensity series of hydrological drought respectively, corresponding to different SSPs. The six marginal distribution fitting curves adopted were shown in Fig. 9.
The fitting curve of the marginal distribution of drought intensify and drought duration under different SSPs.
Subsequently, the K-S test is employed to determine the best-fitting marginal distributions for drought duration and drought severity. The calculation results are shown in Table 7. As indicated above, for SSP1-2.6, SSP2-4.5, and SSP5-8.5 hydrological droughts, the optimal fitting distributions for drought duration are Weibull (Wbl), Normal (Norm), and Gamma (Gam) distributions, respectively. The optimal fitting distribution for drought severity is the Lognormal (Logn) distribution for all three scenarios. Moreover, all these distributions passed the K-S test (α > 0.05).
Based on the optimal fitting of marginal distributions for drought duration and drought severity, Clayton Copula, Frank Copula, Gumbel-Hougaard (G-H) Copula, Normal Copula, and t Copula functions were selected to establish the joint probability distribution of drought duration and drought severity. The goodness-of-fit for the joint probability distribution of drought duration and drought severity was evaluated using the Akaike Information Criterion (AIC) and the Root Mean Square Error (RMSE) minimization criterion. The theoretically optimal Copula function was then selected. The fitting results of Copula functions corresponding to different pathways, as well as the calculated AIC and RMSE values, are shown in Table 8. As can be seen, the optimal copula functions selected based on the AIC and RMSE criteria are largely consistent. Since the differences in RMSE values are relatively small, the optimal joint copula function in this study is primarily determined using the AIC criterion. Ultimately, the Gumbel-Hougaard (G-H) copula is identified as the best-fitting function for the joint probability distribution of drought duration and drought intensity under SSP1-2.6, while the Clayton Copula is the optimal fitting function for SSP2-4.5 and SSP5-8.5.
Based on the optimal selection of marginal distributions and copula functions for drought intensity and drought duration in hydrological droughts, the selected copula functions were used to establish the joint probability distribution function. The joint recurrence period of hydrological droughts under different SSPs were then calculated. Figure 10 presents the joint recurrence period distribution and contour maps of hydrological drought events in Dagu River Basin for the mid-century, based on the optimal copula functions. These correspond to SSP1-2.6, SSP2-4.5, and SSP5-8.5. It is clear that the joint recurrence period of hydrological drought in this basin increases as drought duration and intensity increase. The impact of different SSPs on the distribution of hydrological drought joint recurrence period is relatively small.
Distribution map of drought intensity and drought duration joint recurrence period in different climate models: (a)SSP1-2.6༈b༉SSP2-4.5༈c༉SSP5-8.5.
Discussion
Model performance and implications
The results demonstrate that all five models are capable of simulating runoff variations to some extent, but their performance diverges significantly across different evaluation metrics. The EMD-LSTM model stands out as the most accurate model for both calibration and validation periods. This superior performance can be attributed to the integration of EMD, which decomposes the time series into intrinsic oscillatory components, thereby improving the data fed into the LSTM network. This preprocessing step enhances the ability of LSTM to capture both short- and long-term dependencies in the data, leading to better simulation of complex hydrological processes.
In contrast, the SWAT model, a more traditional, process-based hydrological model, performed better during the calibration phase with an R² value of 0.83 and an RMSE of 10.5. However, its performance slightly declined during the validation period. This suggests that while SWAT is highly effective under well-calibrated conditions, its ability to generalize to unseen data (validation period) may be limited, possibly due to its reliance on predefined parameters and physical assumptions that may not fully capture the inherent complexity of runoff processes over time.
The GRU (Gated Recurrent Unit) model, a deep learning approach, demonstrated the worst performance among the models tested, with R² values of 0.54 in the calibration period and 0.49 in the validation period, along with high RMSE values. This highlights the challenges that GRU faces in hydrological modeling, particularly in capturing the non-linear and highly variable nature of hydrological systems. Notably, the performance of EMD-GRU, which incorporates EMD as a preprocessing step, was better than GRU but still inferior to EMD-LSTM and SWAT. This finding reinforces the idea that while preprocessing steps like EMD can enhance the performance of deep learning models, the choice of model architecture (LSTM vs. GRU) plays a crucial role in determining the final accuracy of simulations. This improvement stems from EMD’s ability to decompose time series data into intrinsic modes, thereby facilitating more effective training of deep learning networks. Previous studies13,48 support these findings, showing that EMD-LSTM outperforms traditional and other deep learning models in various applications, including runoff and wave height prediction. The success of our EMD-LSTM model is consistent with a broader trend in hydrometeorological forecasting, where hybrid models that integrate signal decomposition techniques (EMD and VMD) with deep learning have consistently demonstrated superior performance in capturing the non-stationary and multi-scale characteristics of complex natural systems49,50.
Climate change projections and implications
The results also illustrating significant changes in both rainfall and temperature over the 21st century. These projections are derived from the output of five GCMs, with ensemble mean values providing a more robust indication of expected future trends.
For rainfall projections, the analysis reveals a broad range of variability, particularly under the SSP5-8.5 scenario, which represents a high-emission pathway. During the mid-century period (2041–2060), the relative monthly changes in rainfall are projected to range from − 7.6% to 67% under SSP1-2.6, from − 17.5% to 41% under SSP2-4.5, and from − 13.6% to 46.6% under SSP5-8.5. The ensemble mean monthly rainfall for the five GCMs is expected to increase by 11% to 25% relative to historical averages, suggesting that rainfall patterns will become more variable and potentially more extreme, especially under higher emissions scenarios. By the late-century (2081–2100), rainfall projections continue to show substantial variability, with changes expected to range from − 16% to 66% under SSP1-2.6, and from − 8% to 70% under SSP5-8.5. These results underscore the growing uncertainty in future precipitation patterns and highlight the need for robust hydrological models that can account for such variability in future water resource planning and management.
Regarding temperature projections, the analysis indicates a more consistent upward trend across all GCMs and scenarios. Under the SSP5-8.5 scenario, the temperature is expected to rise by approximately 2 °C by mid-century and 3.8 °C by late-century relative to historical averages. In comparison, under the SSP1-2.6 and SSP2-4.5 scenarios, the temperature increases are more moderate, with rises of 1.3 °C and 1.5 °C by mid-century, respectively. By late-century, the projected temperature increases under these scenarios are 2 °C and 2.8 °C, respectively. These consistent temperature increases are concerning, particularly in the context of global warming, as even moderate emission scenarios suggest a substantial rise in temperature that could exacerbate issues such as heatwaves, droughts, and energy demands.
Further analysis of the climate change impacts on the study area, located on the Shandong Peninsula bordering the Yellow Sea, indicates that this region experiences a temperate monsoon climate characterized by distinct dry and wet seasons. Monthly precipitation data under different SSPs reveal noticeable patterns, reflecting the region’s vulnerability to uneven rainfall distribution45,51. Notably, the most significant increases in monthly precipitation percentages occur in November and December, while January’s rainfall is projected to fall well below the historical average. This suggests that under future emission scenarios, the region will likely experience exacerbated uneven rainfall distribution, increasing the likelihood of extreme weather events. Such variations could heighten the risk of natural disasters in the Dagu River basin, including severe droughts or extreme precipitation, which may lead to hazards such as river breakage or flooding. The projected intensification of the hydrological cycle—characterized by increased precipitation variability and more frequent extremes—is a consistent finding in global and regional climate studies52. Our basin-scale results corroborate this pattern and further quantify its potential manifestation in a critical coastal catchment of China, echoing concerns raised in studies of other monsoon-dominated basins (the Yangtze River Basin) which also face increasing risks of compound dry and wet extremes53.
Drought trends and future patterns
The results presented above provides valuable insights into the future evolution of drought conditions in the research area, based on simulations of monthly runoff data from 2041 to 2100 under three SSPs. The use of the SRI to assess drought conditions over different time scales (1 month, 3 months, and 12 months) offers a nuanced understanding of how droughts may behave under future climate scenarios, which provide a foundation for understanding potential future hydrological extremes, particularly the frequency, intensity, and duration of drought events.
The analysis of the SRI values reveals distinct differences in drought characteristics across time scales, emphasizing the complexity of drought dynamics and the role of time scale in understanding drought severity. The SRI1 (1-month scale) and SRI3 (3-month scale) show frequent alternation between dry and wet periods, highlighting the short-term variability in drought conditions. In contrast, the SRI12 (12-month scale) exhibits a more stable long-term trend, with less frequent shifts between wet and dry periods. This is reflective of the typical distinction between short-term and long-term droughts: short-term droughts may be more episodic and rapidly reversible, while long-term droughts tend to have more persistent, sustained impacts on the hydrological system.
A key observation is the higher frequency of mild droughts at the smaller time scales (SRI1, SRI3). This suggests that while short-term droughts may occur more frequently, their intensity is generally lower compared to those detected over longer periods. The moderate drought frequency, however, does not exhibit a clear correspondence with time scale across different scenarios, which implies that moderate droughts may arise under a range of time scales, regardless of short- or long-term conditions. This variability highlights the complexity of drought dynamics and the challenge in predicting their behavior at multiple scales.
The analysis further reveals that drought occurrence is higher in the mid-century period (2041–2060) compared to the late-century period (2081–2100), particularly in the context of increasing climate change impacts. The SSP1-2.6 scenario, which assumes the most optimistic climate mitigation pathway, shows increasing drought duration and intensity over time, especially in the mid-century period. This suggests that even under more stringent climate mitigation scenarios, the research area is likely to experience significant drought events by the middle of the century, likely due to residual climate impacts, including changes in precipitation patterns, runoff, and evaporation rates.
Interestingly, under the SSP2-4.5 and SSP5-8.5 scenarios, the results show that the drought duration and intensity increase with time scale (i.e., the order is 12 months > 1 month > 3 months). This finding implies that, under more extreme emissions scenarios, drought events will tend to last longer but may be less frequent on shorter time scales. However, this trend becomes more pronounced toward the end of the century under the SSP5-8.5 scenario, where both drought duration and intensity continue to increase from January to December, suggesting a potential intensification of drought conditions during the latter part of the century.
The projected intensification of the hydrological cycle—characterized by increased precipitation variability and more frequent extremes—is a consistent finding in global and regional climate studies (Legg, 2021). Our basin-scale results corroborate this pattern and further quantify its potential manifestation in a critical coastal catchment of China. Importantly, the alternating dry-wet patterns and scale-dependent drought behavior identified in the Dagu River Basin echo concerns raised in studies of other major monsoon-dominated basins. For instance, similar trends of increasing hydrological volatility and compound dry-wet extremes have been reported for the Yangtze River Basin under future climate scenarios (Zhu et al., 2024). This consistency across different monsoon-affected regions underscores the broader applicability of our methodological framework and highlights the pressing need for adaptive water management strategies in the face of climate change.
Limitations and the role of anthropogenic influences
While this study projects future hydrological drought under climate change scenarios, it is important to acknowledge the potential modulating role of anthropogenic water management, which was not explicitly modeled. Future drought characteristics in the Dagu River Basin will likely be influenced not only by climatic drivers but also by direct human interventions such as reservoir operations, groundwater extraction, and inter-basin water transfers. These activities can alter the natural flow regime, potentially mitigating or exacerbating drought severity and duration. For instance, regulated releases from reservoirs can alleviate downstream hydrological drought during dry periods, whereas increasing water withdrawals for agricultural, industrial, and domestic use may intensify water scarcity. The Shared Socioeconomic Pathways (SSPs) used in this study implicitly encompass broad trends in socioeconomic development, but they do not prescribe detailed, local water resources management strategies. Consequently, the projected drought characteristics presented here should be interpreted as reflecting a climate-driven signal under a given socioeconomic trajectory, upon which future human water management decisions will act. Incorporating dynamic human-water interactions into hydrological modeling remains a critical challenge for future research to reduce uncertainty and support more targeted adaptation planning.
Conclusion
This study developed a novel EMD-LSTM hybrid framework to project the evolution of hydrological drought in the Dagu River Basin under future climate change scenarios. The core findings and contributions can be summarized as follows:
-
(1)
The proposed EMD-LSTM model demonstrated superior performance in simulating monthly runoff compared to standalone process-based (SWAT) and deep learning models (LSTM, GRU). The integration of Empirical Mode Decomposition proved to be a decisive preprocessing step, effectively enhancing the prediction accuracy and stability of the base LSTM model by decomposing the complex, non-stationary hydrological signal into more manageable IMFs. This underscores the significant potential of combining signal processing techniques with deep learning for robust hydrological forecasting.
-
(2)
Climate projections from five CMIP6 GCMs indicate a future characterized by increased climatic variability for the Dagu River Basin. While ensemble mean monthly precipitation is projected to increase by 11%-25%, this will be accompanied by high variability and a consistent rise in temperature, with a maximum warming of up to 3.8 °C under the high-emission scenario (SSP5-8.5) by the late-century. These changes are projected to disrupt the hydrological regime, exacerbating the frequency and intensity of extreme events, which poses a compounded risk of both droughts and floods.
-
(3)
The bivariate drought analysis revealed that drought conditions are projected to be more severe and frequent in the mid-century (2041–2060) than in the late-century (2081–2100). A key finding is the alternation between dry and wet periods and the scale-dependent behavior of droughts: as the time scale increases, drought intensity decreases, but duration lengthens. The application of the Copula function provided a probabilistic framework for assessing drought risk, with the joint recurrence period analysis offering valuable insights for infrastructure design and drought preparedness planning against compound drought events.
-
(4)
The EMD-LSTM framework provides a powerful tool for assessing future hydrological drought, offering scientific support for adaptive water resource management and climate resilience planning in coastal basins. However, this study has limitations. The generalizability of the data-driven model to other regions with different hydro-climatic conditions requires further validation. Future research should focus on integrating more anthropogenic factors into the forecasting framework and improving the interpretability of the deep learning models to enhance their practical utility for decision-makers.
Data availability
Data is provided within the manuscript.
References
Wen, J., Zhao, X., Fu, Q. & Chang, C. The impact of extreme weather events on green innovation: Which ones bring to the most harm? Technol. Forecast. Soc. Change 188, 122322 (2023).
Lin, Q. et al. Propagation from meteorological to hydrological drought and its application to drought prediction in the Xijiang river basin, South China. J. Hydrol. 617, 128889 (2023).
Liu, X. et al. Agricultural drought monitoring: Progress, challenges, and prospects. J. Geog. Sci. 26, 750–767 (2016).
Naumann, G., Cammalleri, C., Mentaschi, L. & Feyen, L. Increased economic drought impacts in Europe with anthropogenic warming. Nat. Clim. Change. 11, 485–491 (2021).
Mohammed, S. et al. A comparative analysis of data mining techniques for agricultural and hydrological drought prediction in the Eastern mediterranean. Comput. Electron. Agric. 197, 106925 (2022).
Prabhakar, S. V. R. K. & Shaw, R. Climate change adaptation implications for drought risk mitigation: a perspective for India. Clim. Change. 88, 113–130 (2008).
Wang, T. et al. A CMIP6-based framework for propagation from meteorological and hydrological droughts to socioeconomic drought. J. Hydrol. 623, 129782 (2023).
Mishra, A. K. & Singh, V. P. A review of drought concepts. J. Hydrol. 391, 202–216 (2010).
Wang, D., Hejazi, M., Cai, X. & Valocchi, A. J. Climate change impact on meteorological, agricultural, and hydrological drought in central Illinois. Water Resour. Res. 47 (2011).
Wang, Z., Yang, Y., Zhang, C., Guo, H. & Hou, Y. Historical and future Palmer drought severity index with improved hydrological modeling. J. Hydrol. 610, 127941 (2022).
Zhang, D. et al. Optimizing river damming and impounding strategies to mitigate seawater intrusion in the coastal aquifer of Dagu river Basin, China. Hydrogeol. J. 30, 557–573 (2022).
Xu, Y., Zhang, X., Hao, Z., Hao, F. & Li, C. Systematic assessment of the development and recovery characteristics of hydrological drought in a semi-arid area. Sci. Total Environ. 836, 155472 (2022).
Zhang, Y. et al. Accurate prediction of water quality in urban drainage network with integrated EMD-LSTM model. J. Clean. Prod. 354, 131724 (2022).
Zhao, R., Wang, H., Hu, S., Zhan, C. & Guo, J. Joint probability of drought encounter among three major grain production zones of China under nonstationary climate. J. Hydrol. 603, 126995 (2021).
Dutta, R. & Maity, R. Time-varying network-based approach for capturing hydrological extremes under climate change with application on drought. J. Hydrol. 603, 126958 (2021).
Zheng, T., Zheng, X., Chang, Q., Zhan, H. & Walther, M. Timescale and effectiveness of residual saltwater desalinization behind subsurface dams in an unconfined aquifer. Water Resourc. Res. 57, e2020WR028493 (2021).
Kang, F. X., Jin, M. G. & Qin, P. R. Sustainable yield of a karst aquifer system: a case study of Jinan springs in Northern China. Hydrogeol. J. 19, 851–863 (2011).
Zhao, J., Gan, T. Y., Zhang, G. & Zhang, S. Projected changes of precipitation extremes in North America using CMIP6 multi-climate model ensembles. J. Hydrol. 621, 129598 (2023).
Wu, J., Yao, H., Yuan, X. & Lin, B. Dissolved organic carbon response to hydrological drought characteristics: based on long-term measurements of headwater streams. Water Res. 215, 118252 (2022).
Wu, J. et al. Assessing the impact of human regulations on hydrological drought development and recovery based on a ‘simulated-observed’ comparison of the SWAT model. J. Hydrol. 577, 123990 (2019).
López-Ballesteros, A., Nielsen, A., Castellanos-Osorio, G., Trolle, D. & Senent-Aparicio, J. DSOLMap, a novel high-resolution global digital soil property map for the SWAT + model: development and hydrological evaluation. Catena 231, 107339 (2023).
Li, R. et al. Effects of urbanization on the water cycle in the Shiyang river basin: based on a stable isotope method. Hydrol. Earth Syst. Sci. 27, 4437–4452 (2023).
X Kang, F. et al. Hydrothermal features of a sandstone geothermal reservoir in the North Shandong Plain, China. Lithosphere 2022, 1–20 (2022).
Gharehbaghi, A., Ghasemlounia, R., Ahmadi, F. & Albaji, M. Groundwater level prediction with meteorologically sensitive gated recurrent unit (GRU) neural networks. J. Hydrol. 612, 128262 (2022).
Poonia, V., Jha, S. & Goyal, M. K. Copula based analysis of meteorological, hydrological and agricultural drought characteristics across Indian river basins. Int. J. Climatol. 41, 4637–4652 (2021).
Reddy, M. & Ganguli, P. Application of copulas for derivation of drought severity-duration-frequency curves. Hydrol. Process. 26, 1672–1685 (2012).
Li, Z., Liu, F., Yang, W., Peng, S. & Zhou, J. A survey of convolutional neural networks: analysis, applications, and prospects. IEEE Trans. Neural Networks Learn. Syst. 33, 6999–7019 (2021).
Maurya, H. K., Joshi, N. & Suryavanshi, S. Change in high-temperature intensity-duration-frequency under different warming scenarios over India. Atmos. Res. 309, 107567 (2024).
Mazdiyasni, O. et al. Increasing probability of mortality during Indian heat waves. Sci. Adv. 3, e1700066 (2017).
Riahi, K. et al. The shared socioeconomic pathways and their energy, land use, and greenhouse gas emissions implications: An overview. Glob. Environ. Change 42, 153–168 (2016).
Tebaldi, C. et al. Climate model projections from the scenario model intercomparison project (ScenarioMIP) of CMIP6. Earth Sys. Dyn. 12, 253–293 (2020).
Tong, D. et al. Dynamic projection of anthropogenic emissions in china: methodology and 2015–2050 emission pathways under a range of socioeconomic, climate policy, and pollution control scenarios. Atmos. Chem. Phys. 20, 5729–5757 (2020).
Gou, J. et al. Sensitivity analysis-based automatic parameter calibration of the VIC model for streamflow simulations over China. Water Resour. Res. 56, e2019WR025968 (2020).
Miao, C. et al. High-quality reconstruction of china’s natural streamflow. Sci. Bull. 67, 547–556 (2022).
Castellanos-Osorio, G., López-Ballesteros, A., Pérez-Sánchez, J. & Senent-Aparicio, J. Disaggregated monthly SWAT + model versus daily SWAT + model for estimating environmental flows in Peninsular Spain. J. Hydrol. 623, 129837 (2023).
Myers, D. T., Ficklin, D. L. & Robeson, S. M. Incorporating rain-on-snow into the SWAT model results in more accurate simulations of hydrologic extremes. J. Hydrol. 603, 126972 (2021).
Ghozat, A., Sharafati, A., Babak Haji Seyed Asadollah, S. & Motta, D. A novel intelligent approach for predicting meteorological drought based on satellite-based precipitation product: application of an EMD-DFA-DBN hybrid model. Comput. Electron. Agric. 211, 107946 (2023).
Johny, K. & Pai, M. L. A multivariate EMD-LSTM model aided with time dependent intrinsic Cross-Correlation for monthly rainfall prediction. Appl. Soft Comput. 123, 108941 (2022).
Elsheikh, A. H. et al. Utilization of LSTM neural network for water production forecasting of a stepped solar still with a corrugated absorber plate. Process Saf. Environ. Prot. 148, 273–282 (2021).
Fahad, S., Su, F., Khan, S. U., Naeem, M. R. & Wei, K. Implementing a novel deep learning technique for rainfall forecasting via Climatic variables: an approach via hierarchical clustering analysis. Sci. Total Environ. 854, 158760 (2023).
Kumar, A. et al. Multi-model evaluation of catchment- and global-scale hydrological model simulations of drought characteristics across eight large river catchments. Adv. Water Resour. 165, 104212 (2022).
Ma, Q. et al. SPEI and multi-threshold run theory based drought analysis using multi-source products in China. J. Hydrol. 616, 128737 (2023).
Kumanlioglu, A. A. A new approach for characterization of meteorological and hydrological droughts: cumulative standardized drought index (CSDI). Phys. Chem. Earth Parts A/B/C. 131, 103420 (2023).
Zhang, J., Wang, D., Wang, Y., Xiao, H. & Zeng, M. Runoff prediction under extreme precipitation and corresponding meteorological conditions. Water Resour. Manage. 37, 3377–3394 (2023).
Yang, S. et al. Coupling SWAT and Bi-LSTM for improving daily-scale hydro-climatic simulation and climate change impact assessment in a tropical river basin. J. Environ. Manage. 330, 117244 (2023).
Moghadam, S. H., Ashofteh, P. & Lodiciga, H. A. Investigating the performance of data mining, lumped, and distributed models in runoff projected under climate change. J. Hydrol. 617, 128992 (2023).
Munawar, S. et al. Future climate projections using SDSM and LARS-WG downscaling methods for CMIP5 GCMs over the transboundary Jhelum river basin of the Himalayas region. Atmosphere 13, 898 (2022).
Hao, W., Sun, X., Wang, C., Chen, H. & Huang, L. A hybrid EMD-LSTM model for non-stationary wave prediction in offshore China. Ocean Eng. 246, 110566 (2022).
Han, L., Zhang, R., Wang, X., Bao, A. & Jing, H. Multi-step wind power forecast based on VMD-LSTM. IET Renew. Power Gener. 13, 1690–1700 (2019).
Zhao, L., Li, Z., Qu, L., Zhang, J. & Teng, B. A hybrid VMD-LSTM/GRU model to predict non-stationary and irregular waves on the East Coast of China. Ocean Eng. 276, 114136 (2023).
Yang, H., Jia, C., Yang, F., Yang, X. & Wei, R. Water quality assessment of deep learning-improved comprehensive pollution index: a case study of Dagu River, Jiaozhou Bay, China. Environ. Sci. Pollut. Res. 30, 66853–66866 (2023).
Legg, S. IPCC: Climate change 2021: The physical science basis. Interaction (Melbourne). 2021, 49 (2021).
Zhu, M. M., Gao, L. & Zhao, Q. K. Future increase in post-drought precipitation with a stronger response to warming. Geophys. Res. Lett. 51, e2024GL110294 (2024).
Acknowledgements
The authors gratefully acknowledge the support of the Natural Science Foundation of Shandong Province, National Natural Science Foundation of China, the Taishan Scholar Foundation and the Postdoctoral Fellowship Program of CPSF.
Funding
This research was financially supported by the Taishan Scholar Foundation (NO. tstp20230626), Natural Science Foundation of Shandong Province (NO. ZR2024QD040), the Postdoctoral Fellowship Program of CPSF under Grant Number GZC20252077 and National Natural Science Foundation of China (Grant numbers 42072331, U1906209).
Author information
Authors and Affiliations
Contributions
H.Y.: Methodology, Writing—original draft, and Investigation. F.K.: Writing—original draft, Data curation, Funding acquisition, Investigation, Resources. F.Y.: Visualization and Investigation. J.L.i, T.Z. & P.Q.: revised this paper. All authors have read and approved the final manuscript.
Corresponding author
Ethics declarations
Competing interests
The authors declare no competing interests.
Additional information
Publisher’s note
Springer Nature remains neutral with regard to jurisdictional claims in published maps and institutional affiliations.
Rights and permissions
Open Access This article is licensed under a Creative Commons Attribution-NonCommercial-NoDerivatives 4.0 International License, which permits any non-commercial use, sharing, distribution and reproduction in any medium or format, as long as you give appropriate credit to the original author(s) and the source, provide a link to the Creative Commons licence, and indicate if you modified the licensed material. You do not have permission under this licence to share adapted material derived from this article or parts of it. The images or other third party material in this article are included in the article’s Creative Commons licence, unless indicated otherwise in a credit line to the material. If material is not included in the article’s Creative Commons licence and your intended use is not permitted by statutory regulation or exceeds the permitted use, you will need to obtain permission directly from the copyright holder. To view a copy of this licence, visit http://creativecommons.org/licenses/by-nc-nd/4.0/.
About this article
Cite this article
Yang, H., Kang, F., Yang, F. et al. Impact and evolution of hydrological drought in Dagu River Basin under the shared socioeconomic pathways. Sci Rep 16, 5219 (2026). https://doi.org/10.1038/s41598-026-36042-y
Received:
Accepted:
Published:
Version of record:
DOI: https://doi.org/10.1038/s41598-026-36042-y









