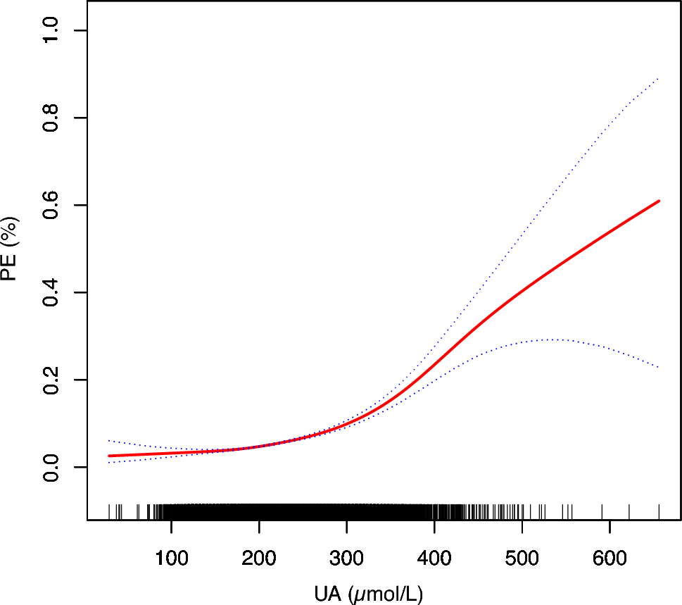
Fig. 1
From: Elevated serum uric acid before 20 weeks of gestation increases the risk of preeclampsia

Smoothed curve fitting reflected the dose-response relationship between UA and PE. The red line represents the fitted curve of UA and PE, and the blue line represents the 95% confidence interval of the curve. UA, uric acid; PE, preeclampsia; BMI, body mass index.