Abstract
Poly (lactic acid) (PLA) is a biodegradable polymer whose thermal and mechanical performance can be enhanced through natural additives such as polyphenols. In this study, polyphenols extracted from green tea (Camellia sinensis L.) and date palm (Phoenix dactylifera L., Arecaceae) were incorporated into PLA at concentrations of 1, 5, and 10 wt.% using an internal mixer. The oxidative thermal stability of the blends was examined by thermogravimetric analysis and differential scanning calorimetry, while their morphology and mechanical properties were also characterized. Both polyphenols improved the thermal stability of PLA, with green tea polyphenols showing a greater effect, likely due to their broader range of active compounds. However, increasing polyphenol content reduced the glass transition temperature, tensile strength, and Young’s modulus, while enhancing elongation at break and ductility. These findings indicate that plant-derived polyphenols act as both thermal stabilizers and plasticizers within the PLA matrix.
Introduction
In recent years, increasing environmental concerns have driven extensive research on biodegradable polymers that can decompose naturally without leaving persistent waste1,2. Among them, poly(lactic acid) (PLA) has attracted significant attention as a bio-based and compostable polymer derived from renewable plant sources such as corn starch and sugarcane. Owing to its high strength, stiffness, and good transparency, PLA is widely used in packaging, biomedical, and agricultural applications3,4,5. However, its relatively low glass transition temperature (~60 °C) and poor resistance to thermal oxidation limit its use in applications requiring dimensional stability, toughness, and long-term durability4,5. These challenges have encouraged the development of strategies to improve the oxidative thermal stability and ductility of PLA without compromising its biodegradability6.
To overcome these limitations, various additives have been investigated to enhance the performance of PLA7. While synthetic antioxidants8 such as hindered phenols and phosphites are effective, their potential toxicity and environmental impact have prompted growing interest in natural antioxidants as eco-friendly alternatives. Polyphenols, the largest class of plant-derived phytochemicals9, are powerful antioxidants capable of scavenging free radicals and inhibiting oxidative degradation in polymers10,11,12. Recent studies have demonstrated that polyphenols can function as both thermal stabilizers-by delaying oxidation during heating-and plasticizers-by improving flexibility and ductility in polymer matrices13. However, the magnitude and direction of these effects vary depending on the type and concentration of polyphenols used. For instance, Majid et al.14 reported a minimal plasticizing effect of synthetic polyphenols in PLA films, whereas Byun et al.15 observed decreased glass transition temperature and increased elongation at break when using natural polyphenols, suggesting diverse structure–property relationships. Such inconsistent findings highlight the need for systematic studies comparing polyphenols from different botanical sources under controlled conditions 9,10.
Date palm fruit (Phoenix dactylifera L., Arecaceae)16 and green tea (Camellia sinensis L.)17 represent two contrasting natural sources of polyphenols. Although the total polyphenolic content of date palm fruit is lower than that of green tea leaves, it contains unique compounds such as flavones, phenolic acids, and tannins, which exhibit strong antioxidant activity and good thermal stability. Moreover, date palm fruit is an abundant agro-industrial by-product in the Middle East, offering an economically sustainable source of natural additives with potential value for polymer stabilization. Using such locally available biomass aligns with circular economy principles and promotes resource valorization18.
In this work, polyphenols extracted from green tea leaves (abbreviated as GT) and date palm fruit (abbreviated as DP) were incorporated into PLA through melt mixing at concentrations of 1, 5, and 10 wt.%. The selected range was based on previous studies where low (1–10 wt.%) loadings were sufficient to achieve antioxidant and plasticizing effects without compromising mechanical integrity. The prepared PLA/polyphenol composites were characterized using thermogravimetric analysis (TGA), differential scanning calorimetry (DSC), and dynamic mechanical analysis (DMA), to evaluate oxidative thermal stability and mechanical performance. Mechanical properties, such as tensile strength, Young’s modulus, and elongation at break, were meticulously analyzed to assess the plasticizing effect of the composites. Morphological analysis provided further insight into the dispersion and interaction of polyphenols within the PLA matrix. The objective of this research is to perform a comparative analysis of polyphenols from two distinct plant sources and elucidate their dual role as stabilizers and plasticizers within the PLA matrix. The novelty of this study lies in (i) the use of underexplored date palm fruit polyphenols as a natural stabilizer for PLA, (ii) a systematic comparison with the well-established green tea polyphenols, and (iii) the comprehensive evaluation of structure–property correlations linking antioxidant composition with polymer performance. These findings contribute to the broader effort of developing sustainable, high-performance biopolymer composites using natural, renewable additives.
Materials and methods
Materials
PLA used in this study was Ingeo™ PLA 4032D (NatureWorks LLC, USA), a semicrystalline high molecular weight grade with a number-average molecular weight of approximately 1.8 × 105 g mol⁻1, density of 1.24 g cm⁻3 and a melt flow index of 6.0 g/10 min (2.16 kg/210 °C). Date palm fruits of the Khalas variety were sourced from a local Qatari farm. Polyphenols were extracted from dried and ground date palm fruit pulp following the previously reported protocol of Zadeh et al.3, with minor modifications. In brief, 10 g of powdered fruit was mixed with 100 mL of 80 % methanol–water solution (v/v) and sonicated for 30 min at room temperature, followed by centrifugation and solvent evaporation under reduced pressure at 40 °C. The dried extract was stored at 4 °C until use. Total phenolic content was determined using the Folin-Ciocalteu method and expressed as mg gallic acid equivalent per gram of extract. A commercial polyphenol powder extracted from green tea leaves, standardized to contain ≥60 % epigallocatechin gallate (EGCG), was purchased from Natures Aid Ltd. (UK). The presence of major catechins (EGCG, epicatechin, epicatechin gallate, and epigallocatechin) was verified by high-performance liquid chromatography (HPLC) prior to use.
Sample preparation
PLA pellets were dried at 60 °C under vacuum for 12 h prior to compounding to minimize moisture-induced hydrolytic degradation. Blends were prepared using a Brabender Plastograph EC Plus internal mixer (Germany) equipped with roller rotors. PLA was first pre-melted in the mixer at 180 ± 2 °C for 5 minutes at a rotor speed of 30 rpm. Subsequently, polyphenol extracts (1, 5, and 10 wt.%) were gradually added. Mixing continued for 10 min to ensure uniform dispersion. The selected processing temperature, shear rate, and residence time were deliberately kept moderate to limit thermo-mechanical degradation of PLA during melt mixing. The compounded blends were compression molded into sheets using a Carver laboratory hydraulic press (Model 3851, USA) at 180 ± 2 °C, 1.0 ± 0.1 ton, for 5 ± 0.5 min, followed by air cooling to room temperature. Sheet thickness was 0.13 ± 0.01 mm. Three independent batches were prepared for each composition, and all subsequent measurements were reported as mean ± standard deviation (SD). The sample codes and formulations are listed in Table 1.
The selected polyphenol loadings (1, 5, and 10 wt.%) were chosen to systematically investigate the effect of additive concentration on the thermal and mechanical behavior of PLA across a low-to-moderate composition range. A loading of 1 wt.% represents a minimal additive content typically used for antioxidant or stabilizing functions in polymer matrices, while 5 wt.% corresponds to an intermediate concentration commonly reported in the literature for natural additives. The upper limit of 10 wt.% was selected to evaluate the maximum practical concentration at which polyphenols remain processable and sufficiently dispersed in PLA without causing any processing instability. This concentration range allows assessment of concentration-dependent transitions from predominantly stabilizing nature to combined stabilizing-plasticizing effects, which is particularly relevant for biodegradable polymer systems.
Characterization techniques
Total Phenolic Content (TPC) determination
The total phenolic content (TPC) of the date palm extract was determined using the Folin-Ciocalteu colorimetric method, as described in our previous work3. Briefly, 40 µL of the extract was mixed with 1.8 mL of Folin–Ciocalteu reagent previously diluted tenfold with distilled water. After 5 min of incubation at room temperature, 1.2 mL of a 7.5 wt.% sodium carbonate solution was added. The mixture was then allowed to react for 60 min at room temperature, after which the absorbance was measured at 650 nm using a UV-Vis Biochrom spectrophotometer. Gallic acid was used as the reference standard, and a calibration curve was constructed using a series of known gallic acid concentrations (R2 = 0.98). Based on this method, TPC was expressed as mg gallic acid equivalents (GAE) per 100 g of fresh weight (FW) of date palm fruit, and for the extract the TPC was determined to be 2.5 mg GAE/100 g FW.
High-Performance Liquid Chromatography (HPLC)
HPLC analysis of both polyphenol extracts was performed using an Agilent (HP 1090) liquid chromatograph equipped with a Gemini C18 column (4.6 x 250 mm, Phenomenex). The mobile phase consisted of (A) 2 % acetic acid in water and (B) acetonitrile, with a flow rate of 1 mL min⁻1 under a programmed gradient from 95 % A to 100 % B over 45 min. Detection was carried out using a diode-array UV detector at 278 nm. Extracts (2 mg mL⁻1) were prepared in 2 % acetic acid–methanol solution, and a 10 µL injection volume was used. Major peaks were identified by comparison with standard catechin and gallic acid spectra.
Thermogravimetric analysis
Thermal decomposition behavior was studied using a Perkin Elmer TGA 4000. Approximately 5-10 mg of sample was heated from 30 °C to 600 °C at 10 °C min⁻1 under nitrogen and oxygen flows (60 mL min⁻1). The upper limit of 600 °C ensured complete mass loss and accurate determination of degradation stages, even though practical polymer processing occurs below 200 °C. Data above 200 °C were interpreted solely for comparative degradation kinetics, not for application conditions.
Fourier transform infrared spectroscopy
FTIR spectra of the samples were recorded using a PerkinElmer Spectrum equipped with an ATR accessory. Each sample was scanned from 4000 to 1500 cm⁻1 at a resolution of 4 cm⁻1. The range was limited to 1500 cm⁻1 since the characteristic absorption bands of PLA and polyphenols-such as O–H, C=O, and C–H stretching-are mainly found in this region. Extending below 1500 cm⁻1 (fingerprint region) was avoided because overlapping peaks from PLA and complex polyphenolic structures hinder clear interpretation19.
Morphological analysis
The surface fracture morphology of cryo-fractured PLA composites was examined using a field emission scanning electron microscope (Nova Nano-SEM 450, FEI, Czech Republic). Samples were coated with a 10 nm thick gold layer prior to imaging.
Dynamic mechanical analysis
Dynamic mechanical behavior and glass transition temperature (Tg) were measured using a RSA-G2dynamic mechanical analysis (TA Instruments, USA in tensile mode at 0.03 % strain, 1 Hz, and temperature range 25-100 °C.
Tensile testing
Tensile properties were evaluated using a universal testing machine (Lloyd 1K LF plus UTM, USA), following ASTM D638 standard. The specimens were cut into strips of 100 mm × 10 mm × 0.13 ± 0.01 mm thickness. Prior to testing, all samples were conditioned at 23 ± 2 °C and 50 ± 5 % relative humidity for 48 hours to ensure consistent moisture content. Tests were conducted at a crosshead speed of 10 mm min⁻1 with a gauge length of 50 mm. Results represent the average of five replicates (n = 5) reported as mean ± SD.
Differential scanning calorimetry
Thermal transitions and oxidation induction time (OIT) were determined using a Perkin Elmer DSC8500 calorimeter under nitrogen (60 ml min-1). Samples (6 ± 1 mg) were heated from 0 °C → 200 °C → 0 °C → 200 °C at 10 °C min⁻1. OIT was determined isothermally at 220 °C after switching from nitrogen to oxygen (after 6 min), and the onset of the oxidation exotherm was recorded as the OIT value.
X-Ray diffraction
Crystalline structure was analyzed using an X-ray diffractometer (PANalytical Empyrean, Netherlands) with Cu Kα radiation (λ = 1.5406 Å) operating at 40 kV and 30 mA. Scans were recorded from 2θ = 5–40° at a rate of 2° min⁻1.
Statistical analysis
All tests were conducted in triplicate unless otherwise specified. Results are expressed as mean ± SD. Statistical comparisons were performed using one-way analysis of variance (ANOVA) followed by Tukey’s post-hoc test with p < 0.05 considered statistically significant. Analyses were conducted using OriginPro 2024 (OriginLab Corp., USA).
Results and discussion
Characterizations of the additives
High-performance liquid chromatography analysis
Figure 1 shows the HPLC chromatograms of the polyphenol extracts obtained from date palm fruit and green tea leaves, analyzed at a wavelength of 278 nm. The chromatographic peaks were identified by comparing their retention times and UV–visible absorption spectra with authentic standards and literature data20,21. The main phenolic constituents detected in both extracts are summarized in Table 2. The chromatogram of the GP extract exhibited distinct peaks corresponding to tannic acid (R.t. ≈ 3 min), epicatechin (R.t. ≈ 15 min), and epicatechin gallate (R.t. ≈ 21–23 min), which are the dominant catechins responsible for the high antioxidant activity of green tea. In contrast, the DP extract displayed lower overall peak intensity, indicating a smaller total polyphenol content, and featured peaks assigned to gallic acid, catechol, and ferulic acid, with minor amounts of epicatechin. These compounds belong primarily to the phenolic acid and simple flavonoid groups, differing from the condensed tannins and catechins prevalent in green tea.
HPLC chromatogram of date palm polyphenol extract (DP) and green tea polyphenol extract (GP) at a wavelength of 278 nm.
The qualitative difference in polyphenolic composition between the two sources suggests distinct antioxidant and thermal stabilization mechanisms. The abundant catechins and gallates in GP are known to form stable complexes with radicals and metal ions, enhancing oxidative resistance, whereas the phenolic acids in DP may provide moderate stabilization but also act as mild plasticizers when incorporated into the PLA matrix. These compositional variations are expected to influence the oxidative thermal stability and degradation behavior discussed later in this article.
Thermogravimetric analysis
The thermal degradation behavior of polyphenols extracted from green tea and date palm fruit was evaluated using TGA under nitrogen, as shown in Figure 2. The GP extract exhibits higher thermal stability than the DP extract, which can be attributed to the higher content of catechins and gallates, particularly epicatechin and epicatechin gallate, as confirmed by HPLC (Figure 1)22. For GP, three main decomposition stages are observed: i) 50–120 °C due to the loss of moisture and residual solvents, ii) ~250°C corresponding to the of epicatechin, consistent with literature values reporting thermal decomposition of epicatechin in the range of 220–260 °C23,24. This degradation can produce intermediates such as 3,4-dihydroxybenzaldehyde, known to enhance the thermal stability of polyphenolic compounds. iii) ~350 °C caused by the decomposition of epicatechin gallate and related polyphenolic components, in agreement with previous studies on catechin gallates25,26. In contrast, the DP extract shows lower thermal stability, with two main decomposition stages: i) 50–120 °C, due to the moisture loss, similar to GP and ii) ~200–270 °C from the degradation of simple phenolic acids (e.g., gallic acid, ferulic acid, catechol), which occur at lower temperatures than catechins due to their simpler structure and lower molecular weight27. The reduced thermal stability of DP is consistent with its lower total polyphenol content and the predominance of simpler phenolic acids.
TGA curves for polyphenols extracted from DP and GP polyphenols under nitrogen.
Characterizations of the blends
Fourier transform infrared spectroscopy analysis
Figure 3 presents the FTIR spectra of neat PLA and its blends with different loadings (1, 5, and 10 wt.%) of polyphenols extracted from date palm and green tea. The baseline was corrected to eliminate any transmittance values exceeding 100%, ensuring accurate interpretation of peak intensities. As shown in Figure 3, the characteristic functional groups of polyphenols can be identified in the blends through the appearance of new absorption regions and shifts relative to neat PLA. In both DP and GP composites, a noticeable shoulder around 1620 cm⁻1 corresponds to the C=O stretching vibration of aromatic carbonyl groups originating from polyphenolic compounds. With increasing polyphenol concentration, this band shifts to approximately 1591 cm⁻1 suggesting hydrogen bonding interactions between the hydroxyl groups of the polyphenols and the carbonyl groups of the PLA matrix. Such interactions have been previously reported in PLA composites containing plant-derived antioxidants and lignin derivatives28. The broad band observed at 3500 cm⁻1 in the DP10 blend is attributed to –OH stretching vibrations from hydroxyl-rich phenolic structures. Its appearance exclusively in DP10 suggests enhanced hydrogen bonding due to the higher concentration of polyphenolic hydroxyl groups, possibly resulting from the presence of residual moisture or increased hydroxyl accessibility at higher loading. This indicates partial phase separation and a more pronounced polyphenol–polymer interface compared to lower concentrations.
FTIR spectra of neat PLA and its polyphenol blends.
A similar broadening in the –OH region has been reported for PLA blends with natural extracts such as tea polyphenols and caffeic acid. Additionally, the absorption band near 3000 cm⁻1, clearly visible in Figure 3, corresponds to C–H stretching vibrations of the aliphatic –CH and –CH₃ groups in the PLA backbone. The intensity of this band remains nearly unchanged across all blends, indicating that the incorporation of polyphenols does not significantly affect the aliphatic character of the PLA chain. Therefore, the observed shifts and broadenings confirm the formation of intermolecular hydrogen bonding between PLA and the incorporated polyphenols, supporting the morphological and thermal findings discussed later. These results demonstrate that both date palm and green tea polyphenols interact physically with PLA through non-covalent bonding rather than chemical reactions.
Morphology analysis of PLA/polyphenol blends
Figure 4 represents SEM micrographs of the tensile-fractured surfaces of neat PLA and PLA blends containing 10 wt.% polyphenols (DP10 and GP10) at comparable magnifications. Neat PLA exhibits a smooth and featureless surface, indicative of brittle fracture with minimal plastic deformation, which is typical of its amorphous nature and limited chain mobility. In contrast, the fractured surfaces of DP10 and GP10 display rougher morphologies characterized by microvoids and elongated deformation zones (highlighted in Figure 4 d and g), reflecting a transition to a ductile fracture mechanism29. These fibrillar-like features correspond to localized plastic flow regions rather than fiber fibrils, signifying enhanced chain mobility induced by polyphenol addition. The increased ductility can be attributed to the plasticizing and interfacial effects of polyphenols, which contain multiple hydroxyl groups capable of forming hydrogen bonds with PLA carbonyls30. Such interactions reduce intermolecular forces between PLA chains, facilitating chain slippage under stress31. Among the two, GP polyphenols exhibit a more pronounced effect on ductility due to their richer catechin and gallate content, particularly epicatechin gallate, which offers stronger hydrogen bonding and higher compatibility with the PLA matrix compared to the simpler phenolic profile of DP polyphenols.
SEM images of fractured surfaces of (a&d) neat PLA, (b&e) GP10, and (c&f) DP10 at different magnifications.
Tensile properties of PLA/polyphenol blends
Figure 5 presents the tensile properties of neat PLA and PLA/polyphenol blends at various loadings of DP and GP polyphenols. Neat PLA exhibits a brittle stress-strain response, with high stiffness (estimated Young’s modulus ~8 MPa), relatively high tensile strength (~2 MPa), and low elongation at break (~25%), showing minimal strain hardening. Upon addition of polyphenols, the mechanical behavior changes systematically. Both DP and GP polyphenols decrease tensile strength and Young’s modulus with increasing loading, consistent with a plasticizing effect32. The estimated Young’s modulus decreases for GP blends from ~9 MPa (GP1) to ~18 MPa (GP10) and shows a smaller reduction for DP blends (~16–17.5 MPa for DP1–DP5, slightly recovering at DP10 due to potential micro-aggregation). This reduction reflects increased chain mobility due to the presence of low-molecular-weight polyphenols, which disrupt intermolecular PLA interactions and increase free volume. Elongation at break varies with the polyphenol content, particularly for GP blends. GP10 exhibits ~5% elongation at break, demonstrating moderate deformability. This behavior correlates with the observed reduction in stiffness and is consistent with a plasticization mechanism that facilitates segmental motion. Strain-hardening is most evident in GP blends, suggesting better interfacial interactions between PLA chains and polyphenols that allow load transfer over larger deformations. DP blends show less prominent strain hardening, consistent with weaker hydrogen-bonding interactions.
Mechanical properties of neat PLA and its blends.
Although phenolic compounds are generally rigid, their multiple hydroxyl functionalities can act as transient hydrogen-bonding sites, temporarily loosening chain packing and mimicking a plasticizing effect at moderate loadings33. However, at higher concentrations (10 wt.%), partial aggregation may occur, potentially explaining the slight deviation from the linear trend in mechanical properties. In fact, the mechanical trends can be rationalized based on the chemical structure and reactivity of the polyphenols. Catechol and gallol groups in GP polyphenols (e.g., epicatechin, epicatechin gallate, epigallocatechin gallate) form transient hydrogen bonds with PLA carbonyls, temporarily loosening chain packing. These interactions enable reversible energy dissipation under stress, contributing to enhanced ductility and strain-hardening behavior. GP polyphenols also exhibit radical scavenging activity, which can protect PLA chains from chain scission during melt processing or thermal exposure, preserving molecular weight and mechanical integrity. Thermal decomposition of polyphenols occurs above the processing temperature (~180 °C), minimizing degradation during compounding. When DP polyphenols, with fewer hydroxyl-functional groups, are used, the extent of hydrogen bonding and radical scavenging is reduced, explaining the smaller changes in modulus, yield stress, and elongation. At higher polyphenol loadings (10 wt.%), partial aggregation or reduced miscibility can occur, particularly in DP blends, slightly limiting mobility enhancement and strain-hardening efficiency.
Overall, the tensile data, combined with DMA and SEM observations, demonstrate that polyphenols simultaneously act as plasticizers and stabilizers in PLA. GP polyphenols, due to their higher catechin/gallate content, provide superior interfacial interaction, chain mobility, and energy dissipation, whereas DP polyphenols exert a weaker but still measurable effect on the mechanical behavior.
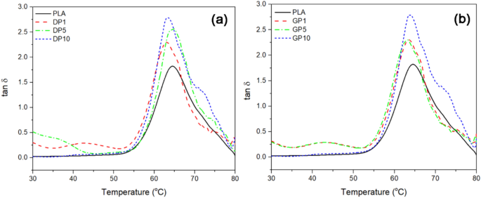
Dynamic mechanical analysis of PLA/polyphenol blends
Figure 6 presents the temperature dependence of the loss factor (tan δ) for neat PLA and its blends with polyphenols extracted from DP and GP. The temperatures corresponding to the maxima of the tan δ peaks, which are commonly associated with the glass transition temperature (Tg) of PLA, are summarized in Table 3. Neat PLA exhibits a Tg of approximately 65°C, while the addition of polyphenols slightly decreases Tg for all blends. This reduction in Tg becomes more pronounced with increasing polyphenol content (1 → 5 → 10 wt.%), indicating an increase in segmental mobility of the PLA chains due to the presence of low-molecular-weight polyphenolic species.
Tan δ as a function of temperature for neat PLA and (a) date palm fruit polyphenol-containing PLA blends, and (b) green tea leaves polyphenol-containing PLA blends.
In addition to the shift in Tg, the height of the tan δ peak increases with increasing polyphenol content for both DP and GP containing blends. An increase in tan δ reflects a higher ratio of viscous to elastic response, indicating enhanced molecular mobility and greater damping capacity of the material rather than a direct measure of ductility. This behavior suggests that polyphenol incorporation modifies the viscoelastic balance of PLA by increasing energy dissipation during dynamic deformation34. The effect is more significant for GP-containing blends compared to DP blends, likely due to the higher catechin and gallate content in green tea polyphenols, which can form multiple hydrogen bonds with PLA carbonyl groups, leading to improved dispersion and more effective free-volume generation at the molecular scale. In contrast, DP polyphenols, with a simpler phenolic profile, induce a less pronounced modification of the viscoelastic response.
At higher polyphenol loadings (10 wt.%), a slight broadening of the tan δ peak is observed, particularly for DP-containing blends. This broadening suggests increased heterogeneity in segmental dynamics, which may be associated with the onset of micro-phase separation or non-uniform polyphenol distribution at higher concentrations. Despite this effect, GP-containing blends at 5–10 wt.% exhibit the most pronounced reduction in Tg and the highest damping capacity, indicating enhanced chain mobility and damping behavior, which is consistent with the improved tensile deformability observed in mechanical testing. These trends demonstrate that both the polyphenol source and content influence the viscoelastic behavior of PLA blends, with GP polyphenols yielding the most significant enhancement in chain mobility and energy dissipation.
Differential scanning calorimetry studies of the PLA/polyphenol blends
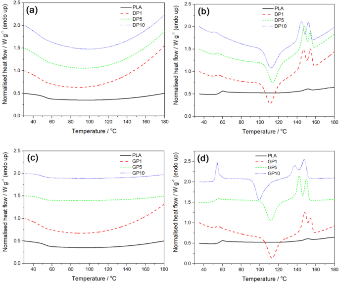
To investigate the thermal behavior of PLA and the effect of polyphenols on the PLA matrix, DSC measurements were carried out. Thermal properties such as Tg, cold crystallization temperature (Tcc), cold crystallization enthalpy (ΔHcc), melting temperature (Tm), melting enthalpy (ΔHm), and degree of crystallinity (Xc) are summarized in Table 3. The DSC cooling and second heating curves are presented in Figure 7.
DSC cooling (a, c) and second heating (b, d) curves of PLA and the PLA/polyphenol blends.
Neat PLA exhibits a predominantly amorphous structure, as evidenced by the absence of a cold crystallization peak during cooling and the very low melting enthalpy (ΔHm = 1.4 J g⁻1), resulting in negligible crystallinity. In contrast, all PLA/polyphenol blends show a sharp cold crystallization peak, indicating that the presence of low-molecular-weight phenolic compounds enhances chain mobility and promotes crystallization during heating. The first endothermic transition around 55 °C corresponds to the glass transition of the amorphous phase of semi-crystalline PLA35, while the melting peak at ~151 °C represents PLA crystalline regions.
For PLA/DP polyphenol blends, Tg gradually decreases from 55°C (neat PLA) to 46°C (DP10), reflecting an increase in free volume and segmental mobility due to plasticization36. The appearance of cold crystallization at ~111–114 °C and the increase in ΔHm are accompanied by moderate crystallinity values (Xc ≈ 20-24 %). Notably, although chain mobility increases with DP content, the degree of crystallinity does not increase proportionally. This suggests that while DP polyphenols facilitate chain motion, they do not act as efficient nucleating agents, and at higher loadings they may partially hinder ordered crystal growth due to increased heterogeneity within the PLA matrix37. In the case of PLA/GP blends, a similar decrease in Tg is also observed, confirming the plasticizing effect of GP polyphenols. However, these blends exhibit slightly higher crystallinity values compared to DP blends, particularly at lower loadings (Xc = 25.7% for GP1). This behavior indicates that GP polyphenols not only enhance chain mobility but also promote nucleation, likely due to the presence of catechins and gallate groups capable of forming hydrogen bonds with PLA carbonyl groups38. These interactions facilitate more ordered chain packing during crystallization. At higher GP loadings (5-10 wt.%), the crystallinity slightly decreases, which may be attributed to excessive plasticization and partial disruption of crystal growth, despite increased molecular mobility. The enthalpy required to melt the polymer increases significantly from 1.4 J/g for PLA to ~25 J/g for GP10, reflecting the effect of better interfacial interactions.
It is important to note that a decrease in Tg does not necessarily lead to a monotonic increase in crystallinity. In PLA systems, crystallization depends on a balance between chain mobility, nucleation efficiency, and the ability of chains to organize into stable lamellae. While polyphenols enhance segmental mobility, excessive plasticization or strong polymer-additive interactions can interfere with crystal perfection and limit further crystallinity development.
The DSC findings are consistent with XRD results (Figure 8), which show the characteristic PLA diffraction peak at 2θ ≈ 16.2° for all samples, confirming the formation of α-crystalline PLA. The absence of significant changes in peak position supports the conclusion that polyphenols influence the kinetics and extent of crystallization rather than the crystalline structure itself.
XRD scan of neat PLA and its polyphenol blends.
Overall, DSC and XRD analyses demonstrate that both polyphenol source and concentration govern the interplay between chain mobility and crystallization behavior. Green tea polyphenols exhibit a dual role by enhancing mobility while also providing nucleation sites at low-to-moderate loadings, whereas date palm polyphenols primarily act as plasticizers with a more limited influence on crystallization. These trends correlate well with DMA and tensile results, confirming that polyphenols modify PLA through coupled effects on segmental dynamics and semi-crystalline morphology.
Thermogravimetric analysis of the PLA/polyphenol blends
Figure 9 shows the TGA curves of the PLA/polyphenol blends under nitrogen and oxygen atmospheres. The results, summarized in Table 4, indicate that all samples degrade in a single step. Under nitrogen atmosphere, the incorporation of green tea polyphenols results in a noticeable delay in the onset of mass flow, as reflected by an increase in the temperature corresponding to 5 % weight loss (T5%). Even at a low GP loading of 1 wt.%, a significant upward shift in T5% is observed. However, this increase should be interpreted as a delayed onset of volatilization and early mass-loss events, rather than a fundamental shift in the intrinsic pyrolytic degradation temperature of the PLA backbone. Phenolic compounds are known to promote char formation and to act as radical scavengers, which can suppress early-stage degradation processes and temporarily stabilize the material during the initial heating phase. For DP polyphenols, T5% increases are smaller: ~10 °C for DP1 and DP5. DP10 shows a comparable stabilization effect to GP blends, suggesting that higher DP content is needed to achieve similar interaction with PLA. This behavior is consistent with the lower phenolic concentration and different phenolic composition of the DP extract compared to GP. Under oxygen atmosphere, the same trend is observed: neat PLA degrades at lower temperatures, and GP remains more effective than DP in improving thermal stability. The TGA results also show that for DP blends, the onset of degradation increases approximately linearly with increasing polyphenol content. In this case, the stabilizing effect can be primarily attributed to the antioxidant activity of phenolic compounds, which delays oxidative chain scission rather than altering the fundamental thermal decomposition mechanism. Similar behavior was reported by Nanni et al.39 for polyphenols derived from wine waste in polypropylene.
TGA curves of all the investigated samples under (a,b) nitrogen and (c,d) oxygen atmospheres.
Table 5 summarizes the OIT results, which also confirms that polyphenols improve PLA stability. Longer OIT indicates higher oxidative stability. Both DP and GP enhance OIT, but GP shows higher values for all concentrations. For example, GP10 reaches 40 min, compared to 38 min for DP10. Ambrogi et al.40 reported similar trends for bio-based polyphenol additives in PP, attributing the stabilization to radical scavenging by multiple classes of polyphenols in green tea.
Figure 10 illustrates the proposed mechanism by which polyphenols stabilize PLA against thermal and oxidative degradation. The phenolic –OH groups can interact with PLA carbonyls through hydrogen bonding, forming –C=O···HO– interactions that can restrict local chain mobility and reduce the accessibility of reactive sites. These interactions may be inferred from characteristic FTIR shifts of the C=O stretching vibration (~1750 cm⁻1) and –OH stretching (~3200–3500 cm⁻1), as reported in similar polymer–polyphenol systems28,29. Polyphenols stabilize PLA primarily through three mechanisms: (i) Hydrogen atom transfer from the phenolic –OH groups to polymer radicals, forming stabilized phenoxyl radicals and terminating radical chain reactions, (ii) Single electron transfer from the polyphenols to reactive radicals, converting them into less reactive species, and (iii) Metal chelation if trace metals are present in PLA, reducing metal-catalyzed radical formation. PLA’s local free volume and chain mobility influence these interactions. Regions with higher mobility allow polyphenols to diffuse and interact more efficiently with radicals, enhancing stabilization. Conversely, hydrogen bonding between PLA carbonyls and phenolic –OH groups can locally restrict chain mobility, further reducing oxidative degradation. The combined effects of radical scavenging, hydrogen bonding, and mobility modulation explain the observed OIT trends, particularly the higher stabilization provided by the chemically diverse green tea polyphenols.
Mechanism of antioxidant activity of polyphenols.
Conclusions
In this study, PLA films were successfully prepared via melt-mixing with polyphenols extracted from green tea leaves and date palm fruits. The incorporation of polyphenols significantly enhanced the thermal and oxidative stability of PLA, as evidenced by TGA and OIT measurements. Green tea polyphenols, containing a broader range of phenolic compounds, exhibited a stronger stabilizing effect compared to date palm polyphenols, even at low loadings (1-5 wt.%). Mechanically, the addition of polyphenols reduced the tensile strength while increasing elongation at break, indicating a clear plasticizing effect. SEM analysis confirmed a transition from brittle to more ductile fracture behavior, with GP blends showing more pronounced ductility due to better dispersion and stronger interactions with the PLA matrix. DMA and DSC results corroborated these findings, with decreased glass transition temperatures and enhanced chain mobility, while XRD analysis confirmed that crystallinity was minimally affected. In short, the dual role of polyphenols-as thermal stabilizers through radical-scavenging activity and as plasticizers increasing polymer chain mobility-was clearly demonstrated. The study highlights the potential of naturally derived polyphenols, particularly from green tea, as bio-based additives to improve the processability, thermal resistance, and flexibility of PLA, making them promising candidates for sustainable packaging and high-performance biodegradable materials.
Data availability
The data used for this study will be available on request, from the first author
References
Heimowska, A., Morawska, M. & Bocho-Janiszewska, A. Biodegradation of poly(ε-caprolactone) in natural water environments. Polish J. Chem. Technol. 19, 120–126 (2017).
Iggui, K. A biodegradation study of poly(3-hydroxybutyrate-co-3-hydroxyvalerate)/ organoclay nanocomposites in various environmental conditions. Polym. Degrad. Stab. 119, 77–86 (2015).
Zadeh, K., Luyt, A., Messori, M., Yalcin, H. & Augustin, R. Electro spun polylactic acid/date palm polyphenol extract nanofibers for tissue engineering applications. Emerg. Mater. 2, 141–15 (2019).
Fan, Y., Nishida, H., Shirai, Y., Tokiwa, Y. & Endo, T. Thermal degradation behaviour of poly(lactic acid) stereocomplex. Polym. Degrad. stab. 86, 197–208 (2004).
Pawar, R. P., Tekale, S. U., Shisodia, S. U., Totre, J. T. & Domb, A. J. Biomedical applications of poly(lactic acid). Recent Patents Regen. Med. 4, 40–51 (2014).
Zaaba, N. F. & Jaafar, M. A review on degradation mechanisms of polylactic acid: hydrolytic, photodegradative, microbial, and enzymatic degradation. Polym. Eng. Sci. 60(9), 2061–2075. https://doi.org/10.1002/pen.25511 (2020).
Shah, K. J., Shukla, A. D., Shah, D. O. & Imae, T. Effect of organic modifiers on dispersion of organoclay in polymer nanocomposites to improve mechanical properties. Polym. (Guildf) 97, 525–532. https://doi.org/10.1016/j.polymer.2016.05.066 (2016).
Persico, P. et al. Enhancement of poly (3-hydroxybutyrate) thermal and processing stability using a biowaste derived additive. Int. J. Biol. Macromol. 51(5), 1151–1158 (2012).
Wang, L., Dong, Y., Men, H., Tong, J. & Zhou, J. Preparation and characterization of active films based on chitosan incorporated tea polyphenols. Food Hydrocoll. 32, 35–41 (2013).
Bartozs, G. Total antioxidant capacity. Adv. Clin. Chem. 37(219), 292 (2003).
Ignat, I., Volf, I. & Popa, V. I. A critical review of methods for characterisation of polyphenolic compounds in fruits and vegetables. Food Chem. 126(4), 1821–1835 (2011).
Shen, J. Stabilization of highly crosslinked ultra high molecular weight polyethylene with natural polyphenol. Polym. Degrad. Stab. 105, 197–205 (2014).
Cerruti, P. & Ambrogi, V. Natural antioxidants for polypropylene stabilization. Polym. Degrad. Stab. 96, 2152–2158 (2011).
Jamshidiana, M. et al. Effects of synthetic phenolic antioxidants on physical, structural, mechanical and barrier properties of poly lactic acid film. Carbohydr. Polym. 87, 1763–1773 (2012).
Byun, Y., Kim, Y. T. & Whiteside, S. Characterization of an antioxidant polylactic acid (PLA) film prepared with tocopherol, BHT and polyethylene glycol using film cast extruder. J. Food Eng. 100, 239–244 (2010).
Hong, Y. J. The flavonoid glycosides and procyanidin composition of deglet noor dates. J. Agric. Food Chem. 54, 2405–2411 (2006).
Márcia, R. Chemical composition of green tea (Camellia sinensis) infusions commercialized in Portugal. Plant Foods Hum. Nutr. 62, 139–144 (2007).
Peng, Y., Li, Y. & Xiang, K. Adding green tea polyphenols enhances antioxidant of chitosan film. Trans. Chin. Soc. Agric. Eng. 29, 269–276 (2012).
Andrade, M. A. & B. C.,. PLA films loaded with green tea and rosemary polyphenolic extracts as an active packaging for almond and beef. Food Packag. Shelf life 36, 101041 (2023).
Khallouki, F., Oliveira, R., Breuer, A. & Owen, R. Characterization of phenolic compounds in mature moroccan medjool date palm fruits (Phoenix dactylifera) by HPLC-DAD-ESI-MS. J. Food Compos. Anal. 70, 63–70 (2018).
Shivaprasad, N. & Khanam, S. HPLC analysis of polyphenols in green tea extracts. Asian J. Chem. 2, 877–881 (2006).
Yong, H., Hu, H., Wang, Z., Yun, D. & Kan, J. Structure, stability and antioxidant activity of dialdehyde starch grafted with epicatechin, epicatechin gallate, epigallocatechin and epigallocatechin gallate. J. Sci. Food Agric. 102, 6373–6386 (2022).
Zhiyu, X. et al. Unraveling the mechanism of thermal and thermo-oxidative degradation of tannic acid. Thermochimica Acta 605, 77–85 (2015).
He, J., Xu, L., Yang, L. & Wang, X. Epigallocatechin gallate is the most effective catechin against antioxidant stress via hydrogen peroxide and radical scavenging activity. Med. Sci. Monit. 24, 8198–8206 (2018).
Santos, Nataly A. Commercial antioxidants and thermal stability evaluations. Fuel 97, 638–643 (2012).
Locaric, Ante et al. Thermal stability of catechin and epicatechin upon disaccharides addition. Int. J. Food Sci. Technol. 53, 1195–1202 (2018).
Antony, A. & Farid, M. Effect of temperatures on polyphenols during extraction. Appl. Sci. 12(4), 2107 (2022).
Valero, L. & Gainche, M. Vegetal polyphenol extracts as antioxidants for the stabilization of PLA: Toward fully biobased polymer formulation. ACS Omega 9(7), 7725–7736 (2024).
Pérez, E. Mechanical performance of in vitro degraded polylactic acid/hydroxyapatite composites. J. Mater. Sci. 56(36), 19915–19935. https://doi.org/10.1007/s10853-021-06508-7 (2021).
Zhang, X. & Ji, G. Designing strong, tough, fluorescent, and UV-shielding PLA materials by incorporating a phenolic compound-based multifunctional modifier. ACS Appl. Mater. Interfaces 15(13), 17268–17278 (2023).
Rahim, M. A. et al. Polyphenol-induced adhesive liquid metal inks for substrate-independent direct pen writing. Adv. Funct. Mater 31(10), 1–12. https://doi.org/10.1002/adfm.202007336 (2021).
Arcan, I. & Yemenicioğlu, A. Incorporating phenolic compounds opens a new perspective to use zein films as flexible bioactive packaging materials. Food Res. Int. 44, 550–556 (2011).
Brito, J. & Hlushko, H. Integrating antioxidant functionality into polymer materials: fundamentals, strategies, and applications. ACS Appl. Mater. Interfaces. 13(35), 41372–95 (2021).
Gordobil, O., Delucis, R., Egüés, I. & Labidi, J. Kraft lignin as filler in PLA to improve ductility and thermal properties. Ind. Crops Prod. 72, 46–53 (2015).
Luyt, A. S. & Kelnar, I. Effect of halloysite nanotubes on the thermal degradation behaviour of poly(ε-caprolactone)/poly(lactic acid) microfibrillar composites. Polym. Test. 60, 166–172 (2017).
Liao, J., Brosse, N., Pizzi, A., Hoppe, S. & Xuedong, X. Polypropylene blend with polyphenols through dynamic vulcanization: mechanical, rheological, crystalline, thermal, and UV protective property. Polymers 5, 344 (2013).
Jamshidian, M., Tehrany, E., Cleymand, F. & Leconte, S. Effects of synthetic phenolic antioxidants on physical, structural, mechanical and barrier properties of poly lactic acid film. Carbohydr. Polym. 87, 1763–1773 (2012).
Krishnan, S., Pandey, P., Mohanty, S. & Nayak, S. Toughening of polylactic acid: an overview of research progress. Polym.-Plastics Technol. Eng. 15, 1623–1652 (2016).
Nanni, A. & Messori, M. A comparative study of different winemaking by-products derived additives on oxidation stability, mechanical and thermal proprieties of polypropylene. Polym. Degrad. Stab. 149, 9–18 (2018).
Ambrogi, V. et al. Natural antioxidants for polypropylene stabilization. Polym. Degrad. Stab. 96, 2152–2158 (2011).
Acknowledgement
The SEM results were accomplished in the Central Laboratories Unit at Qatar University.
Funding
This work was supported by the Qatar National Research Fund under NPRP14S-0317-210064 and HSREP06-0425-240021. The statements made herein are solely the responsibility of the authors.
Author information
Authors and Affiliations
Contributions
K.M. Z. prepared the manuscript, A. S. L. and M. K. H. validated the results, M. E. and D. P. prepared the figures, and M. M. supervised the work. All authors reviewed the manuscript.
Corresponding authors
Ethics declarations
Competing interest
The authors declare no competing interests.
Additional information
Publisher’s note
Springer Nature remains neutral with regard to jurisdictional claims in published maps and institutional affiliations.
Rights and permissions
Open Access This article is licensed under a Creative Commons Attribution-NonCommercial-NoDerivatives 4.0 International License, which permits any non-commercial use, sharing, distribution and reproduction in any medium or format, as long as you give appropriate credit to the original author(s) and the source, provide a link to the Creative Commons licence, and indicate if you modified the licensed material. You do not have permission under this licence to share adapted material derived from this article or parts of it. The images or other third party material in this article are included in the article’s Creative Commons licence, unless indicated otherwise in a credit line to the material. If material is not included in the article’s Creative Commons licence and your intended use is not permitted by statutory regulation or exceeds the permitted use, you will need to obtain permission directly from the copyright holder. To view a copy of this licence, visit http://creativecommons.org/licenses/by-nc-nd/4.0/.
About this article
Cite this article
Zadeh, K.M., Luyt, A.S., Hassan, M.K. et al. Effects of date palm and green tea polyphenol extracts on the thermal stability and mechanical properties of poly lactic acid. Sci Rep 16, 6846 (2026). https://doi.org/10.1038/s41598-026-36473-7
Received:
Accepted:
Published:
Version of record:
DOI: https://doi.org/10.1038/s41598-026-36473-7









