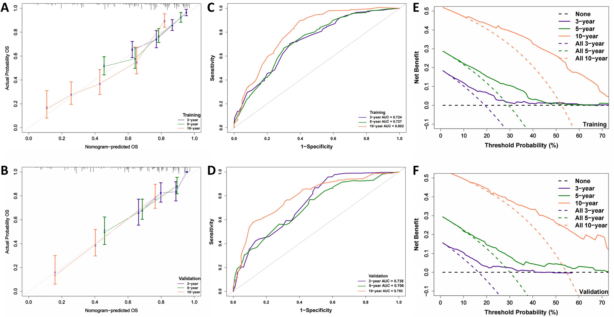
Fig. 5

Evaluation of the discriminatory power, calibration, and clinical utility of the CS-nomogram. Calibration curves for the CS-nomogram in the training (A) and validation cohorts(B), demonstrating the agreement between predicted and observed 3-, 5-, and 10-year survival outcomes. ROC curves and AUC values for the CS-nomogram in both the training (C) and validation cohorts (D), highlighting its predictive accuracy. Decision curve analysis (DCA) for the CS-nomogram in the training (E) and validation cohorts (F), showcasing its clinical utility and net benefit across different threshold probabilities. Abbreviations: AUC, area under the curve.