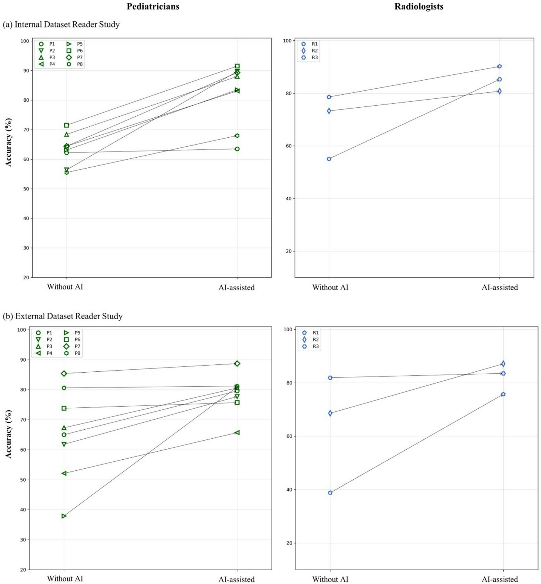
Fig. 5

Accuracy comparison of metabolic bone disease diagnosis between pediatricians (green) and radiologists (blue). Improvement in accuracy with the assistance of our model is more evident among pediatricians only in both (a) internal dataset reader study and (b) external dataset reader study.