Fig. 4

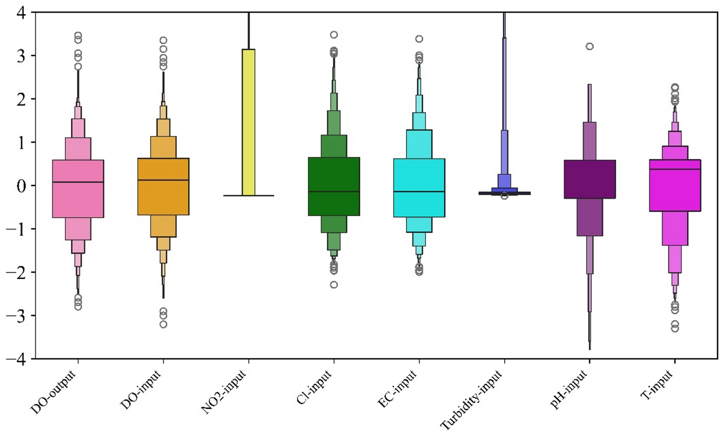
Box plots of normalized input (DO, NO2, Cl, EC, Turbidity, pH, T) and output variables, showing data distribution and outliers.

Box plots of normalized input (DO, NO2, Cl, EC, Turbidity, pH, T) and output variables, showing data distribution and outliers.