Fig. 4
From: Optimizing a dynamic infrared emitter by tailoring titanium carbide MXene surface chemistry

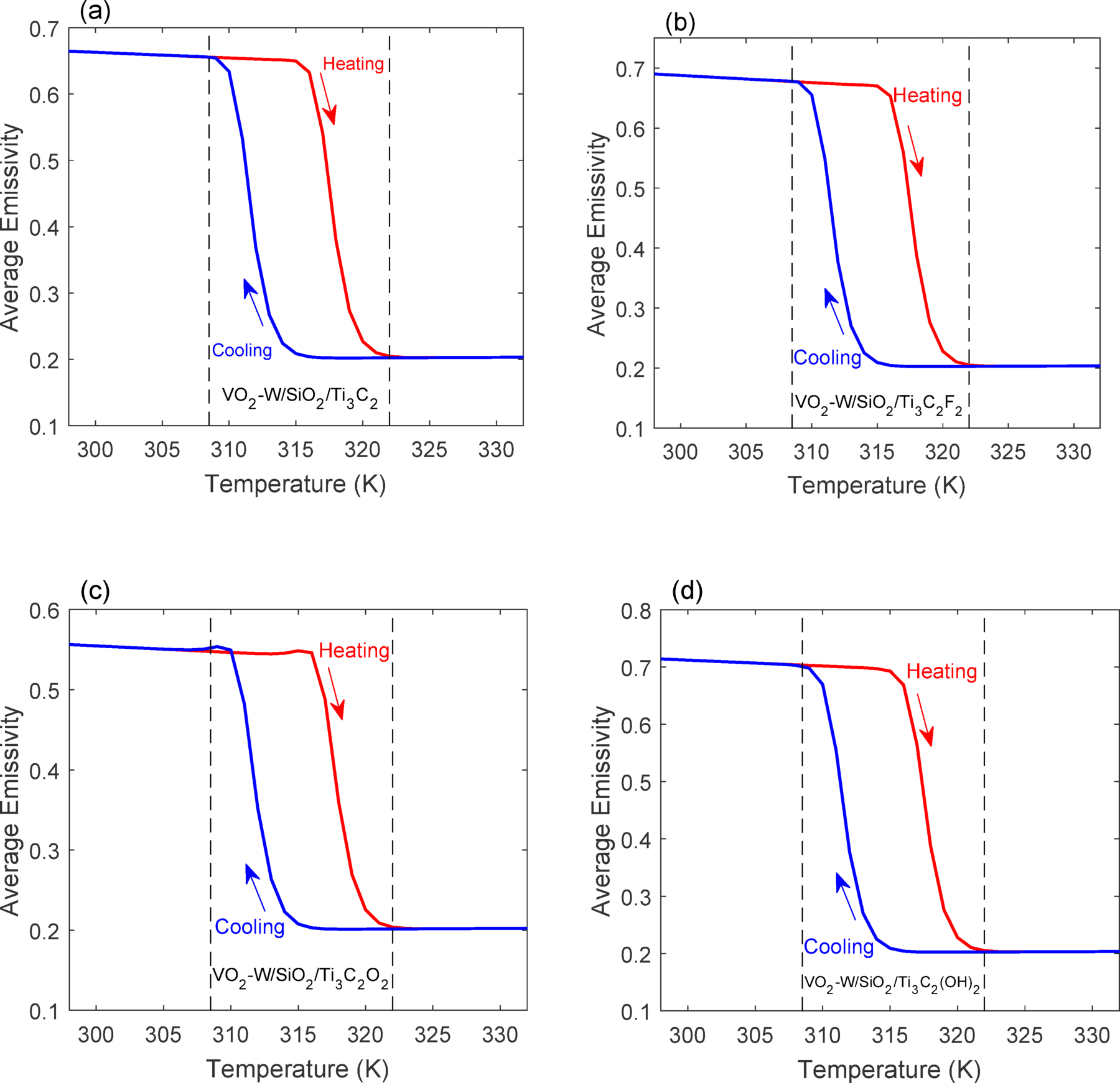
Average emissivity of the thermal emitter W-doped VO2/SiO2/Ti3C2Tx with different surface terminations. Average emissivity of (a) W-doped VO2/SiO2/Ti3C2, (b) W-doped VO2/SiO2/Ti3C2F2, (c) W-doped VO2/SiO2/Ti3C2O2, (d) W-doped VO2/SiO2/Ti3C2(OH)2.