Abstract
Ti3C2Tx MXene has become a highly promising material in nanophotonics because of its exceptional optical and thermal properties, which can be tailored through surface terminations. For the first time, we examine how Ti3C2Tx MXene without (N) and with different surface terminations (-F, -O-, or -OH) affects the performance of a thermal emitter with negative differential emissivity. This emitter is composed of Tungsten doped VO2 (W-doped VO2) composite/SiO2/Ti3C2Tx MXene. W doping in VO2 enables reversible-hysteresis emissivity behavior at a low critical temperature (~ 315 K), accompanied by negative differential emissivity between high- and low-temperature phases. While the threshold temperature for emissivity remains consistent across all terminations, the average differential emissivity varies considerably. Comparative analysis shows notable differences in differential average emissivity across surface terminations: -0.51 (W-doped VO2/SiO2/Ti3C2(OH)2), -0.49 (W-doped VO2/SiO2/Ti3C2F2), -0.46 (W-doped VO2/SiO2/Ti3C2), and − 0.32 (W-doped VO2/SiO2/Ti3C2O2), with hydroxyl termination demonstrating superior performance. This work highlights how engineering MXene surface terminations can enable tunable negative emissivity modulation at low temperatures, offering promising applications in thermal control devices, light modulation, infrared tagging and identification, solar energy harvesting systems, and other fields.
Introduction
Thermal management is an omnipresent aspect of human activities encompassing from integrating electronics to the spacecraft1, solar power systems2 and radiative cooling/heating3. The consequence energy consumption is a significant challenge which researchers have shown growing interest in this topic. Radiative thermal management is a passive process with low/zero heat loss and effective in temperature regulation and energy exchange efficiency between objects at varying temperatures without requiring further energy input3.
Currently, cutting-edge advancements in adaptive radiation cooling/heating leverage metamaterials to manipulate phonon behavior within the infrared (IR) spectrum including photonic crystals4, grating5, epsilon near zero surfaces6 and others. However, the challenges in manufacturing these complex structures limit their potential in highly integrated devices and large-scale thermal management systems due to the cost and scalability issues. Therefore, realizing selective thermal radiation through passive intrinsic IR emission characteristics of materials is a significant challenge.
Two-dimensional transition metal carbides and nitrides (MXenes) have recently demonstrated versatile light-matter interactions across a broad spectral range7,8, due to their unique optical9 and electronic10 characteristics. For instance, MXene exhibits transverse surface plasmon resonances spanning from the ultraviolet (UV) to the near-infrared (NIR) range, which can be tuned by adjusting their structure and composition11,12. They also exhibit strong interactions with electromagnetic waves across terahertz to gigahertz13. While several studies have investigated the light-to-heat conversion capabilities of Ti3C2Tx MXene for thermal management14,15,16,17,18, research on their thermal radiation properties, particularly in structured configurations at infrared wavelengths and under varying temperatures remained limited and highly needed11,12. To date, over 50 stoichiometric MXenes have been experimentally synthesized, with many more compositions predicted theoretically. However, only a fraction of these have been characterized for their optical properties. Existing studies suggest that MXenes exhibit diverse infrared (IR) radiation behaviors, influenced by composition, atomic structure, and surface chemistry19,20,21. Furthermore, due to the solution processability of MXenes, thin MXene films/coating with thickness ranging from nanometer to micrometer can be easily manufactured using various multiscable methods22. Their inherent hydrophilicity23 and flexibility24 further facilities the deposition of onto diverse substrate, making them attractive for thermal management applications such as selective heating25,cooling26, IR camouflage27, smart textile28 and so on.
A few studies have enhanced the understanding of emissivity by incorporating 2D MXene materials in the infrared region for various applications29,30,31. To the best of our knowledge, this is the first Ti3C2Tx MXene-based emissivity modulator that operates within a specific temperature range, exhibiting negative differential emissivity controlled by MXene surface terminations. Here, we report the tunable 2–20 μm IR emission of Ti3C2Tx MXene, both without termination (N) and with various surface terminations (-F, -O, -OH), integrated into a planar structure with W-doped VO2 for emissivity modulation at a low critical temperature (~ 315 K). The study highlights the reversible hysteresis behavior of this thermal emitter and the ability to engineer differential emissivity through the surface termination of Ti3C2Tx MXene.
Structure and method
Infrared emission of the structure
The proposed thermal emitter in Fig. 1 consists of W-doped VO2 composite/SiO2/Ti3C2Tx MXene which Ti3C2Tx MXene without and with different surface terminations (-F, -O-, -OH) is examined. The plane structure ensures minimizing the mechanical failure and low cost fabrication.
The proposed thermal emitter consists of W-doped VO2/SiO2/Ti3C2Tx MXene. Ti3C2Tx MXene without and with different surface terminations (-F, -O-, -OH) is analyzed at the operation wavelength of 2–20 μm across the temperature of 298–332 K.
Earlier study has shown the successful fabrication of free standing Ti3C2Tx MXene films with outstanding flexibility through a well-established method of chemical etching of aluminum atoms from Ti3AlC2 phases prepared by delaminating nanoflakes using centrifugation and vacuum-assisted filtration. The existence of three terminals of fluoride (-F), oxide (-O-), and hydroxyl (-OH) was verified on the Ti3C2Tx film32.
Integration of W-doped VO2 provides the dynamic tuning of the emissivity which plays a vital role in this research due to the change in its complex refractive index by semiconductor-metallic phase transition in studied wavelength of 2–20 μm33. Moreover, Ti3C2Tx MXene permittivity dependence to the type of terminal group significantly impacts the absorbance/emissivity34.
The stability of our thermal emitter is maintained through various interfacial interactions. Three primary mechanisms contribute to the stability at the MXene-SiO2 interface: (i) electrostatic interactions35, (ii) hydrogen bonding36, and (iii) formation of covalent Ti-O-Si bonds37. The stability at the interface of W-doped VO2-SiO2 is attributed to the (i) formation of stable V-O-Si bridging bonds38 and (ii) additional van der Waals interactions39 that enhance adhesion between the layers, thereby improving the overall structural integrity. The stability of the emitter is attributed the combined effect of these multiple binding modes which collectively guarantee strong adhesion and flexibility of the structure essential for maintaining the device performance during thermal regulation.
According to the Kirchhoff’s thermal radiation law, for a structure with absorbance of (A) the thermal emissivity is defined as \(\varepsilon (\lambda ,\,T)=A(\lambda ,\,T)\). The overall ability of a thermal emitter for emitting thermal radiation across the entire considered wavelength is demonstrated through the following equation:3:
Where h represents Planck’s constant, k is Boltzmann’s constant, c denotes the speed of light in the vacuum and T is the temperature.
Photo-thermal induced phase transition in W-doped VO2
The electromagnetic wave absorption by the proposed emitter is analyzed through the time-independent equation by COMSOL Multiphysics as:
Where is the electric field, is the free space wavenumber and is the complex permittivity. Where the heat source generated in the W-doped VO2 to induce semiconductor-metallic phase transition40 through optical wave is expressed as:
Where \(\rho ,c\,\) and \(\kappa\) denote density, specific heat capacity and thermal conductivity of the involved materials41,42, respectively. The validation of the numerical simulation and thermal properties of the involved materials is detailed in the supporting information file (Table S1).
Emissivity modulation at low critical temperature and effective-medium theory of W-doped VO2 composite
Numerous experimental methods such as in-organic sol-gel43, one-step hydrothermal synthesis44 and Joule-heating strategy45 for reducing the critical temperature of VO2 for real world applications with decreasing the need of regulating heating/cooling energy have been explored. Through W doping into the VO2, its critical temperature effectively reduces with preserving its semiconductor-metallic phase transition. Here, 1.6 at% doping of W is considered which the critical temperature effectively decreases from 341 K to about 315 K43. The Mawell-Garnet effective medium theory46 is employed to model the W-doped VO2 composite optical properties with the considered volume fraction of W doping and the optical propertis of W-doped VO2 during temperature variation47.
Result and discussion
Average emissivity of the thermal emitter
The mechanism of tunable emissivity with thermal configurability is along with a significant contrast in emissivity between the two distinct states of W-doped VO2. The hybrid structure integrated of four surface terminations of Ti3C2Tx MXene and W-doped VO2 with capability of femtosecond phase transition enable the emissivity modulation within a specific range of temperature. The absorbance/emissivity of the structure for determining the average differential emissivity for the all surface terminations of Ti3C2Tx MXene in the configuration of W-doped VO2/SiO2/Ti3C2Tx MXene is shown in Fig. 2. The optimized thickness of W-doped VO2, SiO2 and MXene is determined to be 300 nm, 2000 nm and 500 nm to maximize the differential average emissivity between low and high temperature in the operation wavelength of 2–20 μm.
Absorbance/emissivity of the proposed W-doped VO2/SiO2/Ti3C2Tx MXene thermal emitter for different Ti3C2Tx MXene surface terminations. Absorbance/emissivity of (a) W-doped VO2/SiO2/Ti3C2, (b) W-doped VO2/SiO2/Ti3C2F2, (c) W-doped VO2/SiO2/Ti3C2O2, (d) W-doped VO2/SiO2/Ti3C2(OH)2.
Practically, the optical characteristics of Ti3C2Tx MXene can be tailored through regulation of its surface termination through meticulously choosing the etching solution composition and concentration. It can be also further refined by modulation the etching parameters such as time and temperature allowing the customization of optical properties to suit diverse applications32. Additional information about the optical properties of MXene can be found in the supporting information.
The absorbance/emissivity of the emitter without surface termination and the three other terminations (-F, -O-, -OH) in the structure is plotted at the semiconductor (low temperature) and metallic (high temperature) states of W-doped VO2 in Fig. 2a–d, respectively. It exhibits a pronounced dependence to the terminal type of Ti3C2Tx MXene.
The incidence light is absorbed by the structure in the semiconductor state of W-doped VO2, which the highest spectral average absorbance/emissivity of 0.68 happens for W-doped VO2/SiO2/Ti3C2(OH)2 in Fig. 2d, while for W-doped VO2/SiO2/Ti3C2F2, W-doped VO2/SiO2/Ti3C2 and W-doped VO2/SiO2/Ti3C2O2, it is 0.65, 0.64 and 0.53 in Fig. 2a–c, respectively. At the high temperature, W-doped VO2 is in metallic state and the structure performs as a reflector and most of the incidence light is reflected and the spectral absorbance/emissivity for all kinds of Ti3C2Tx MXene in the structure is less than of semiconductor state with the average of 0.21.
Figure 3a–d shows the electric field profile of the structure (\(\lambda =13.84\mu m\)) at the semiconductor state of W-doped VO2 and Fig. 3e–h depicts the time dependent thermal profile of the structure which shows the minimum require time of entire metallic phase transition in W-doped VO2 with the light power of 0.5 mW across 300 nm W-doped VO2 thickness. The electric field shows different profile for each surface termination due to its relying optical properties to the surface termination. Moreover, the required time for phase transition of W-doped VO2 is distinct for all surface terminations involved in the structure. W-doped VO2/SiO2/Ti3C2(OH)2 exhibits the maximum require time of 2.73 ns and the other structure of W-doped VO2/SiO2/Ti3C2, W-doped VO2/SiO2/Ti3C2F2 and W-doped VO2/SiO2/Ti3C2O2 require 2.65 ns, 2.36 ns and 2.23 ns for metallic transition at high temperature.
Electric field and thermal profile of the W-doped VO2/SiO2/Ti3C2Tx MXene emitter for different surface terminations. Electric field distribution of (a): W-doped VO2/SiO2/Ti3C2, (b): W-doped VO2/SiO2/Ti3C2F2, (c): W-doped VO2/SiO2/Ti3C2O2, (d): W-doped VO2/SiO2/Ti3C2(OH)2. Thermal profile of (e): W-doped VO2/SiO2/Ti3C2, (f): W-doped VO2/SiO2/Ti3C2F2, (g): W-doped VO2/SiO2/Ti3C2O2, (h): W-doped VO2/SiO2/Ti3C2(OH)2.
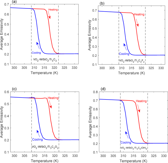
Average differential emissivity
The average emissivity of the emitter for four kinds of Ti3C2Tx MXene termination is simulated as a function of temperature of 25 °C to 59 °C (298–332 K) across the thermal cycling of W-doped VO2 phase transition, encompassing heating (red line) and cooling (blue line) phases in Fig. 4. The process is demonstrated for both heating and cooling cycles. The structure comprises two distinct phases: first phase in semiconductor state of W-doped VO2 at low temperature with high emissivity. Another state at the metallic state of W-doped VO2 at high temperature which the structure covers low emissivity in contrast to the low temperature. The differential emissivity between high and low temperature is negative. This type of negative differential emissivity has been reported in prior researches where VO2 exhibits both emitter and absorber performance48.
Average emissivity of the thermal emitter W-doped VO2/SiO2/Ti3C2Tx with different surface terminations. Average emissivity of (a) W-doped VO2/SiO2/Ti3C2, (b) W-doped VO2/SiO2/Ti3C2F2, (c) W-doped VO2/SiO2/Ti3C2O2, (d) W-doped VO2/SiO2/Ti3C2(OH)2.
By incorporating four kinds of Ti3C2Tx MXene’s surface termination in the structure, at low temperature, the thermal emitter exhibits the maximum average emissivity of 0.71 for W-doped VO2/SiO2/Ti3C2(OH)2 MXene in Fig. 4d. At high temperature, due to the reflectivity of W-doped VO2 composite in metallic state, the emissivity remains invariant across all of Ti3C2Tx MXene in the structure. The maximum differential emissivity of −0.51 between high and low temperature belongs to the Ti3C2(OH)2 MXene in the structure which is highly suitable for thermal control applications functioning across the applied operational temperature range. In the following, W-doped VO2/SiO2/Ti3C2O2 shows the minimum average differential emissivity of −0.32 in Fig. 4c and the two other structures of W-doped VO2/SiO2/Ti3C2 and W-doped VO2/SiO2/Ti3C2F2 exhibits the values of −0.46 and − 0.49 in Fig. 4a,b, respectively.
The evaluation shows that under the fixed temperature, the phase transition of W-doped VO2 enables the emitter to regulate the temperature around a narrow range of low temperature (~ 315 K) which enables more stable temperature regulation leading to the energy saving potential at the operational temperature range.
The switching speed of this structure is determined by how quickly the temperature changes within the system. Figure 4 illustrates the critical temperature required to trigger the phase transition in W-doped VO2. Due to the sharp nature of this phase transition, the modulation depth is also significant, resulting in a substantial change in emissivity.
In the cooling cycle of 332 to 298 K, the emissivity behavior exhibits a consistent correspondence with that observed in the heating process in semiconductor and metallic states. The emissivity cycle in heating and cooling process demonstrates a reversible-hysteresis behavior in the studied temperature due to the reversible W-doped VO2 phase transition.
Across four Ti3C2Tx MXene terminations, the hysteresis domain temperature maintains consistent for two different states of W-doped VO2. Moreover, the phase transition threshold temperature remains unchanged across the entire loop. Such a hysteresis characteristics facilities dynamic emissivity control via precise temperature modulation. By meticulously engineering the surface chemistry to modulate the emissivity within the IR spectrum, this structure can effectively regulate thermal emission to the surrounding. This characteristic renders them exceptionally advantageous for spacecraft applications, where precise management of emissivity is paramount49,50. Additional details regarding the perspective of the current work are provided in the supporting information.
Photo-thermal induce partial phase transition in W-doped VO2
During the partial phase transition though photo-thermal heat transfers in W-doped VO2 in Fig. 5a–d, by adjusting the time of light source illumination, a portion of W-doped VO2 can undergoes phase transition to the metallic state, while the rest of W-doped VO2 thickness is still in the semiconductor state which affects the absorbance/emissivity of the light by the emitter. The time of light illumination has been adjusted to induce the minimum portion of metallic phase transition in W-doped VO2 which differs for every considered surface termination in the structure. In addition, the fraction of phase transition in W-doped VO2 changes with surface termination which 100 nm, 110 nm, 80 nm and 80 is the minimum metallic transition in for terminations of N, -F, -O-, -OH after 2.49 nm, 2.19 ns, 2.15 ns and 2.57 ns, respectively. The partial phase transition governs the absorption behavior at both high and low temperature. The average emissivity at the beginning of phase transition at low temperature is the same as studied in Fig. 4. It undergoes change at high temperature in Fig. 5e for all terminations.
Thermal profile and average emissivity of the thermal emitter under partial phase transition of W-doped VO2 at low temperature. Thermal profile of (a) W-doped VO2/SiO2/Ti3C2, (b) W-doped VO2/SiO2/Ti3C2F2, (c) W-doped VO2/SiO2/Ti3C2O2, (d) W-doped VO2/SiO2/Ti3C2(OH)2. (e) Average emissivity of all surface terminations of Ti3C2Tx MXene in the structure. The surface termination of N, -F, -O-, -OH are shown with green, red, orange and blue colors respectively.
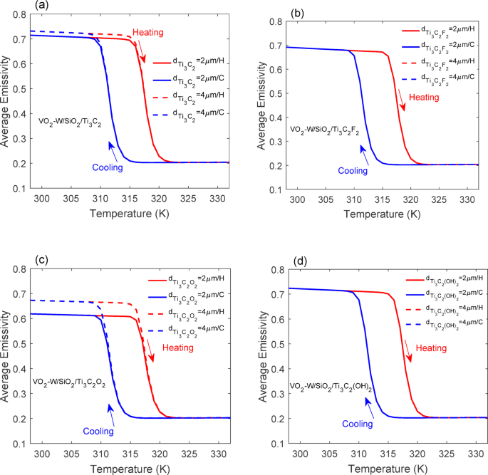
Size effects on the thermal emitter
Ti3C2Tx MXene size effect on the emissivity
Figure 6 illustrates the emitter emissivity under different Ti3C2Tx MXene thickness for all surface terminations. The surface termination of N, -F, -O-, -OH are shown with green, red, orange and blue color, respectively. The average emissivity shows dependence to the Ti3C2 and Ti3C2O2 thickness in Fig. 6a,c MXene thickness which it remains constant for Ti3C2F2 and Ti3C2(OH)2 in Fig. 6b, d, respectively. This consistency is due to their penetration depth which their additional thickness will not contribute electromagnetic interaction. The findings align with the latest finding reported in32 which analyzed emissivity of the MXene in the infrared regime. The average emissivity for the two other terminal groups undergoes change for the considered thicknesses. The threshold temperature during heating and cooling remains unchanged under variation of Ti3C2Tx MXene thickness for all cases of Ti3C2Tx MXene.
Average emissivity of the W-doped VO2/SiO2/Ti3C2Tx MXene thermal emitter with four kinds of surface termination under two different thicknesses of Ti3C2Tx MXene. Average emissivity of (a) W-doped VO2/SiO2/Ti3C2, (b) W-doped VO2/SiO2/Ti3C2F2, (c) W-doped VO2/SiO2/Ti3C2O2, (d) W-doped VO2/SiO2/Ti3C2(OH)2. The surface terminations of N, -F, -O-, -OH are shown with green, red, orange and blue colors respectively.
W-doped VO2 and SiO2 size effect on the emissivity
The average emissivity value at low and high temperature for different thicknesses of W-doped VO2 (400 nm (square), 500 nm (triangle)) and SiO2 (1000 nm (square), 3000 nm (triangle)) is shown in Fig. 7a,b, respectively. The representation color of surface termination is similar to the previous studied section. The figures plot across the operational temperature can be found in the supporting information file (Figures S2 and S3). At low temperature, while W-doped VO2 is in semiconductor state, the emissivity changes under variation of W-doped VO2 and SiO2 thicknesses. For the case of W-doped VO2 with 400 nm thickness, the emissivity is still 0.20 similar to results in Fig. 4, but with increasing the thickness to 500 nm, the emissivity will be 0.21. Across all thickness variations, the threshold temperature for heating and cooling process is still unchanged.
Average emissivity of the W-doped VO2/SiO2/Ti3C2Tx MXene thermal emitter with four kinds of surface termination under two different thicknesses of VO2-W and SiO2. Average emissivity of (a) two different thicknesses of W-doped VO2; 400 nm (square) and 500 nm (rectangle), (b) two different thicknesses of SiO2; 1000 nm (square) and 3000 nm (rectangle). The surface termination of N, -F, -O-, -OH are shown with green, red, orange and blue colors, respectively.
Conclusion
In conclusion, we investigated the role of Ti3C2Tx MXene, both with and without different surface terminations (-F, -O-, -OH), on the emissivity of a thermal emitter with phase transition of W-doped VO2. The proposed thermal emitter, consisting of W-doped VO2/SiO2/Ti3C2Tx MXene, exhibited a reversible hysteresis emissivity mechanism during the heating and cooling process at a low critical temperature of approximately 315 K, due to the optical properties of W-doped VO2. A significant advantage of this structure is that it reduces the need of high temperature for inducing the phase transition in W-doped VO2 to regulate the emissivity. The threshold temperatures for heating and cooling within the hysteresis loop remained constant across all types of Ti3C2Tx MXene surface terminations. The average emissivity at low temperatures, when W-doped VO2 is in its semiconductor state, varied based on the surface termination: −0.46 for N, −0.49 for -F, −0.32 for -O-, and − 0.51 for -OH. In contrast, at high temperatures, the average emissivity remained constant at 0.20, reflecting the high reflectivity of W-doped VO2. These findings highlight the significant potential of this structure as a promising candidate for applications in infrared camouflage, infrared tagging and identification, thermal regulation, and others.
Data availability
The data that support the findings of this study are available from the corresponding author upon reasonable request.
References
Lv, Y. G., Wang, Y. T., Meng, T., Wang, Q. W. & Chu, W. X. Review on thermal management technologies for electronics in spacecraft environment. Energy Storage Sav. 3, 153–189 (2024).
Elavarasan, R. M. et al. Pathways toward high-efficiency solar photovoltaic thermal management for electrical, thermal and combined generation applications: A critical review. Energy. Conv. Manag. 255, 115278 (2022).
Xue, S. et al. Personal thermal management by radiative cooling and heating. Nano-micro Lett. 16, 153 (2024).
Lee, M. et al. Photonic structures in radiative cooling. Light: Sci. Appl. 12, 134 (2023).
Wang, P. et al. Transparent grating-based metamaterials for dynamic infrared radiative regulation smart windows. Phys. Chem. Chem. Phys. 26, 16253–16260 (2024).
Hsieh, P. C., Chang, S. W., Kung, W. H., Hsiao, T. C. & Chen, H. L. Epsilon-near-zero thin films in a dual-functional system for thermal infrared camouflage and thermal management within the atmospheric window. Mater. Horiz. 11, 5578–5588 (2024).
Daliran, N. & Hassanzadeh, A. Broadband MXene-based metasurface absorber for visible region. Plasmonics, 1–10 (2024).
Daliran, N., Oveisi, A. R. & Daliran, S. Terminal group engineering of Ti3C2Tx MXene on thermal emitter performance. Sci. Rep. 15, 8468 (2025).
Ning, Y. et al. Anisotropic electromagnetic absorption of the aligned Ti3C2Tx MXene/RGO nanocomposite foam. Compos. Sci. Technol. 227, 109609 (2022).
Ustad, R. E. et al. Recent progress in energy, environment, and electronic applications of MXene nanomaterials. Nanoscale 15, 9891–9926 (2023).
Cui, J. et al. Low infrared emissivity and oxidation stability of Ti3C2Tx MXene-based composite with Tannic acid. Chem. Eng. J. 493, 152289 (2024).
Shen, M. et al. Low infrared emitter from Ti3C2Tx MXene towards highly-efficient electric/solar and passive radiative heating. J. Mater. Sci. Technol. 133, 32–40 (2023).
Zhao, T. et al. Ultrathin MXene assemblies approach the intrinsic absorption limit in the 0.5–10 THz band. Nat. Photonics. 17, 622–628 (2023).
Shin, H., Jeong, W. & Han, T. H. Maximizing light-to-heat conversion of Ti3C2Tx MXene metamaterials with wrinkled surfaces for artificial actuators. Nat. Commun. 15, 1–11 (2024).
Zhao, J., Zhou, J., Li, H. & Xiao, A. Ti3C2Tx MXene and cellulose-based aerogel phase change composite decorated laminated fabric with excellent electro/solar-thermal conversion and high latent heat. Carbohydr. Polym. 316, 121031 (2023).
Wang, K. et al. Multifunctional recycled carbon fiber- Ti3C2Tx MXene paper with superior electromagnetic interference shielding and photo/electro-thermal conversion performances. Carbon 197, 87–97 (2022).
Kalidasan, B., Pandey, A., Saidur, R., Han, T. K. & Mishra, Y. N. MXene-based eutectic salt hydrate phase change material for efficient thermal features, corrosion resistance & photo-thermal energy conversion. Mater. Today Sustain. 25, 100634 (2024).
Chen, J. et al. Microwave-Infrared compatible camouflage by MXene-Based composite aerogels via synergistic Electromagnetic, Emissivity, and thermal regulation. ACS Appl. Mater. Interfaces. 17, 31265–31272 (2025).
Downes, M., Shuck, C. E., McBride, B., Busa, J. & Gogotsi, Y. Comprehensive synthesis of Ti3C2Tx from MAX phase to MXene. Nat. Protoc. 19, 1807–1834 (2024).
Muhammed, M. & Mokkath, J. Surface termination dependent optical characteristics of MXene nanoflakes. Mater. Today Chem. 29, 101447 (2023).
Tang, M. et al. Surface terminations of mxene: synthesis, characterization, and properties. Symmetry 14, 2232 (2022).
VahidMohammadi, A., Rosen, J. & Gogotsi, Y. The world of two-dimensional carbides and nitrides (MXenes). Science 372, eabf1581 (2021).
Yu, L., Lu, L., Zhou, X. & Xu, L. Current Understanding of the wettability of MXenes. Adv. Mater. Interfaces. 10, 2201818 (2023).
Kumar, S. & Taunk, M. 2D MXenes for flexible device applications. Mater. Today Phys. 46, 101483 (2024).
Han, M. et al. Versatility of infrared properties of MXenes. Mater. Today. 64, 31–39 (2023).
Zhang, Y. et al. A multi-mode cellulose acetate/MXene Janus film with structure enhanced self-reflection, selective emission and absorption for cooling and heating. Compos. Part A: Appl. Sci. Manufac. 172, 107622 (2023).
Liang, L. et al. MXene-enabled pneumatic multiscale shape morphing for adaptive, programmable and multimodal radar‐infrared compatible camouflage. Adv. Mater. 36, 2313939 (2024).
Meena, J. S., Choi, S. B., Jung, S. B. & Kim, J. W. Recent progress of Ti3C2Tx -based MXenes for fabrication of multifunctional smart textiles. Appl. Mater. Today. 29, 101612 (2022).
Kim, J. et al. Two-dimensional VO2 nanosheet converted from MXene for flexible thermochromic smart windows. Chem. Eng. J. 477, 147014 (2023).
Dong, X. X. et al. MXene-decorated smart textiles with the desired mid-infrared emissivity for passive personal thermal management. ACS Appl. Mater. Interfaces. 15, 12032–12040 (2023).
Bharti, R., Butt, M. M. & Dey, A. Dynamic emissivity control in MXene-based materials for next-generation thermal camouflage. J. Porous Mater. 32, 1–25 (2025).
Li, Y. et al. 2D Ti3C2Tx mxenes: visible black but infrared white materials. Adv. Mater. 33, 2103054 (2021).
Kim, H. et al. VO2-based switchable radiator for spacecraft thermal control. Sci. Rep. 9, 11329 (2019).
Zhang, P., Chen, J., Feng, L., Jiang, M. & Xu, B. Dual confinement of Si nanoparticles in a MXene/ZIF-8-derived carbon framework for lithium-ion batteries. ACS Appl. Nano Mater. 5, 12720–12728 (2022).
Huang, J. et al. Assembly of SiO2@ MXene spheres in PCN/Fe3C nanofibers with multifunctional electromagnetic wave absorption. Chem. Eng. J. 503, 158520 (2025).
Cheng, Y. et al. High-strength MXene sheets through interlayer hydrogen bonding for self-healing flexible pressure sensor. Chem. Eng. J. 453, 139823 (2023).
Wang, D. et al. Coupling ultrafine SiO2 nanoparticles with three-dimensional porous Ti3C2Tx MXene as anode materials for high-performance lithium-ion batteries. Diam. Relat. Mater. 139, 110379 (2023).
Sun, X. et al. Voltage-induced phase transition of VO2@ SiO2 nanoparticles. Ceram. Int. 47, 29011–29022 (2021).
Ninham, B. & Parsegian, V. Van der Waals interactions in multilayer systems. J. Chem. Phys. 53, 3398–3402 (1970).
Daliran, N., Hatef, A. & Hassanzadeh, A. Photothermal induced bistability in the spontaneous decay rate of an emitter near a hybrid VO2–Au nanoshell. J. Opt. Soc. Am. B. 38, 3071–3077 (2021).
Wang, M., Liu, Y., Zhang, H., Wu, Y. & Pan, L. Thermal conductivities of Ti3C2Tx MXenes and their interfacial thermal performance in MXene/epoxy composites – a molecular dynamics simulation. Int. J. Heat Mass Transf. 194, 123027 (2022).
Barra, H. M. et al. Nanostructured VO2 (A) and VO2 (M) derived from VO2 (B): facile preparations and analyses of Structural, Thermal, optical and thermophysical properties. Materials Science 27, (2021).
Dou, S. et al. A facile method for the Preparation of W-doped VO2 films with Lowered phase transition temperature, narrowed hysteresis loops and excellent cycle stability. Mater. Chem. Phys. 215, 91–98 (2018).
Liang, S., Shi, Q., Zhu, H., Peng, B. & Huang, W. One-step hydrothermal synthesis of W-doped VO2 (M) nanorods with a tunable phase-transition temperature for infrared smart windows. ACS Omega. 1, 1139–1148 (2016).
Shen, N. et al. Phase transition hysteresis of tungsten doped VO2 synergistically boosts the function of smart windows in ambient conditions. ACS Appl. Electron. Mater. 3, 3648–3656 (2021).
Frame, J. D., Green, N. G. & Fang, X. Modified Maxwell Garnett model for hysteresis in phase change materials. Opt. Mater. Express. 8, 1988–1996 (2018).
Laaksonen, K. et al. Nanoparticles of TiO2 and VO2 in dielectric media: conditions for low optical scattering, and comparison between effective medium and four-flux theories. Sol. Energy Mater. Sol. Cells. 130, 132–137 (2014).
Kats, M. A. et al. Vanadium dioxide as a natural disordered metamaterial: perfect thermal emission and large broadband negative differential thermal emittance. Phys. Rev. X. 3, 041004 (2013).
Demiryont, H. & Moorehead, D. Electrochromic emissivity modulator for spacecraft thermal management. Sol. Energy Mater. Sol. Cells. 93, 2075–2078 (2009).
Hengeveld, D. W., Mathison, M. M., Braun, J. E., Groll, E. A. & Williams, A. D. Review of modern spacecraft thermal control technologies. HVAC&R Res. 16, 189–220 (2010).
Acknowledgements
The authors acknowledge the financial support received for this research. Prof. Zhiming Wang’s work was supported by the “111 Project” of China [Grant No. B20030]. The authors also received support from the Iran National Science Foundation (INSF) (Project Number 4028293).
Funding
Financial support was provided by the “111 Project” of China under Grant B20030 and the Iran National Science Foundation (INSF) under Project Number 4028293.
Author information
Authors and Affiliations
Contributions
N.D. authored the main manuscript text, designed the simulation algorithm, and conducted the analytical analysis. A.R.O. and Z.W. proposed and developed the concept, oversaw the research, and analyzed the data. All authors reviewed and edited the manuscript.
Corresponding authors
Ethics declarations
Competing interests
The authors declare no competing interests.
Additional information
Publisher’s note
Springer Nature remains neutral with regard to jurisdictional claims in published maps and institutional affiliations.
Supplementary Information
Below is the link to the electronic supplementary material.
Rights and permissions
Open Access This article is licensed under a Creative Commons Attribution-NonCommercial-NoDerivatives 4.0 International License, which permits any non-commercial use, sharing, distribution and reproduction in any medium or format, as long as you give appropriate credit to the original author(s) and the source, provide a link to the Creative Commons licence, and indicate if you modified the licensed material. You do not have permission under this licence to share adapted material derived from this article or parts of it. The images or other third party material in this article are included in the article’s Creative Commons licence, unless indicated otherwise in a credit line to the material. If material is not included in the article’s Creative Commons licence and your intended use is not permitted by statutory regulation or exceeds the permitted use, you will need to obtain permission directly from the copyright holder. To view a copy of this licence, visit http://creativecommons.org/licenses/by-nc-nd/4.0/.
About this article
Cite this article
Daliran, N., Oveisi, A.R. & Wang, Z. Optimizing a dynamic infrared emitter by tailoring titanium carbide MXene surface chemistry. Sci Rep 16, 9770 (2026). https://doi.org/10.1038/s41598-026-37457-3
Received:
Accepted:
Published:
Version of record:
DOI: https://doi.org/10.1038/s41598-026-37457-3






