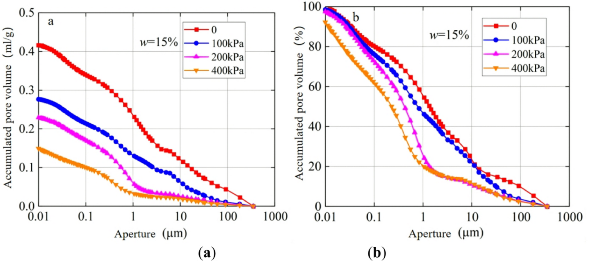
Fig. 7

Cumulative pore volume curve of undisturbed loess with 15% moisture content: (a) pore volume accumulation curve of undisturbed loess and (b) fractal classification characteristic curve of undisturbed loess pores.

Cumulative pore volume curve of undisturbed loess with 15% moisture content: (a) pore volume accumulation curve of undisturbed loess and (b) fractal classification characteristic curve of undisturbed loess pores.