Abstract
The Loess Plateau region faces persistent geohazards that critically threaten both ecological stability and human safety, largely due to the distinct metastable microstructure of loess, which evolves under changing environmental conditions and governs its macro-mechanical behavior. Unlike traditional models that rely solely on macroscopic parameters, this study introduces the ratio of large and medium pore volume (PLM) as a key predictor alongside moisture content (w) to establish a novel empirical model for loess shear strength. Laboratory tests were conducted on undisturbed loess specimens with controlled moisture content and pore structure characteristics. The results demonstrate that increased moisture content and a higher proportion of large and medium pores significantly reduce shear strength, revealing the critical role of pore space morphology in mechanical degradation. A new method for accurately predicting the shear strength of unsaturated loess using easily measurable parameters has been developed based on mechanical analysis and experimental data. This method provides a practical, microstructure-based tool for evaluating the stability of surface slopes and foundations in loess areas, and has wide applicability in geotechnical engineering.
Similar content being viewed by others
Loess, as a porous, metastable, and unsaturated Quaternary sediment, is significantly different from other soils due to its unique morphology, composition, and engineering characteristics1,2,3,4. In China, common geological hazards in loess engineering, such as uneven settlement of foundations, landslides, and collapses, severely restrict the construction and development of major projects5,6. Taking Yan’an City in northern Shaanxi Province as an example, although various engineering measures have been taken to prevent geological disasters, the loess filled in Yan’an New Area continues to settle at a rate of up to 45 millimeters per year, even though its apparent mechanical properties meet the standards. The fundamental reason for this phenomenon is that the understanding of the structural characteristics and disaster mechanisms of loess is still insufficient. The presence of soluble salt cementation and elevated pore structure makes it difficult for loess to undergo complete compaction or collapse even under immersion or certain pressure conditions7,8,9,10,11. Therefore, revealing the intrinsic relationship between the microstructure evolution and macroscopic mechanical behavior of loess has become an urgent research topic.
Following this reason, research into the shear strength of unsaturated soils has been pursued by various scholars12,13, with predominant approaches revolving around several established frameworks14,15,16,17. These include the formulations by Fredlund18, Bishop’s effective stress principle19, nonlinear strength models, and expressions incorporating the soil-water characteristic curve (SWCC)20,21. For instance, Liu et al.22 applied the conventional Fredlund and Xing (F-X) model to predict the SWCC in fissured expansive soil, noting its relatively simple structure that facilitates geotechnical applications. Tuttolomondo et al.23 derived the pore pressure coefficient for unsaturated, elastic, isotropic soils through analysis within Bishop’s effective stress framework, offering a vital tool for undrained mechanical analyses in diverse scenarios.
Furthermore, efforts have been made to enhance the practicality of these models. Certain methodologies have been expanded to predict residual shear strength in both coarse-grained and fine-grained unsaturated soils without the need for parameter fitting, significantly improving their engineering applicability. Complementing these advances, Beesley and Vardanega24 compiled a comprehensive database to empirically correlate and predict stress-strain behavior and undrained shear strength in unsaturated soils, underscoring the value of data-driven calibration for model reliability.
Although significant progress has been made, prevailing models for unsaturated soil strength, such as those based on Bishop’s effective stress principle or Fredlund’s stress state variables, often rely on parameters (e.g., effective stress parameter χ, full SWCC) that are difficult to determine reliably for metastable loess in practice, limiting their engineering applicability. Recent investigations have further elucidated the critical role of microstructure in the hydro-mechanical behavior of unsaturated soils25,26,27,28,29. For instance, studies leveraging advanced imaging and analysis techniques have quantitatively linked pore-space morphology to strength and deformation parameters30,31. While these advances underscore the importance of microstructural insight, a persistent gap remains in translating such insights into a simple, accessible predictive model for metastable loess that utilizes readily measurable microstructural parameters. To address this gap, this study introduces a novel empirical model utilizing two readily measurable parameters: w and PLM. The key advantages of this approach are its parameter accessibility (both w and PLM are obtained via standard tests), mechanistic clarity (directly linking water-induced cementation loss and pore-structure collapse to strength reduction), and operational simplicity, offering a practical alternative to complex theoretical frameworks.
This study focuses on undisturbed loess samples from the southern suburbs of Chang’an District, Xi’an City, Shaanxi Province. A systematic series of triaxial shear tests and Mercury Intrusion Porosimetry (MIP) tests were conducted on samples prepared at varying initial moisture contents. We specifically analyzed the intrinsic correlation between moisture content, the PLM ratio, and shear strength, culminating in the development of the proposed bivariate prediction model. By integrating a key microstructural indicator (PLM) with moisture content into a concise predictive tool, this work fills a recognized gap in the field—namely, the lack of a simple yet microstructurally-informed method for loess strength prediction—and provides a reliable and rapid quantitative basis for strength assessment, foundation evaluation, and hazard mitigation in engineering practice across loess regions.
Materials and methods
The experimental design couples the triaxial shear test to assess macro-scale mechanical properties (c, φ) with MIP for quantitative microstructural analysis. This strategy is justified because the loess shear strength is inherently governed by its metastable pore structure. MIP accurately characterizes the pore size distribution and evolution under varying moisture and stress conditions. By directly correlating the macro-scale strength parameters with the microstructural PLM index, this approach mechanistically elucidates the underlying cause of strength degradation in unsaturated loess.
Test materials
The undisturbed loess sample (Fig. 1) was taken from a construction site in Chang’an District, Xi’an City, Shaanxi Province, China. The sampling depth is 4.5–5.0 m, and the soil is yellow-brown with uniform texture. To ensure the stability of soil properties, the intact loess blocks were carefully trimmed to a size of approximately 40 cm × 40 cm × 40 cm during the on-site sampling process. Then seal each piece of loess in black plastic packaging with tape and clearly mark the top and bottom directions of the soil sample. According to the ASTM D698-91 (2000) standard32, basic physical tests were conducted, and the results are shown in Table 1. The material composition analysis was conducted using a JS1-5600LV scanning electron microscope, and the results are shown in Table 2. The particle size distribution of the soil sample is shown in Fig. 2.
Sources and production of soil samples: (a) sampling site in Xi’an within the Loess Plateau of China; (b) onsite sampling; (c) undisturbed loess triaxial sample.
Interval distribution and particle grading curve of natural undisturbed loess.
Sample Preparation
Field-collected intact loess blocks were carefully trimmed into cylindrical specimens measuring 50 mm in diameter and 100 mm in height using a dedicated triaxial sampling apparatus, with strict adherence to their in-situ vertical orientation to preserve natural structural features. To systematically investigate the influence of moisture content on shear behavior, specimens were prepared at five target moisture levels: 5%, 10%, 15%, 20%, and 25%. This range was specifically selected to cover the typical variation of in-situ moisture conditions in the Xi’an Loess Plateau, spanning from extremely dry states (representing prolonged drought or surface layer conditions) to near-saturated states (induced by heavy rainfall or rising groundwater levels). This selection ensures both regional representativeness and engineering relevance of the experimental conditions.
For samples requiring reduced moisture content (5% and 10%), a controlled air-drying procedure was employed. Specimens were placed in drying dishes and allowed to dehydrate gradually under stable laboratory conditions (temperature 20 ± 2 °C, relative humidity 40 ± 5%) until the desired water content was achieved. For higher moisture contents, the water film transfer method was meticulously applied33. A predetermined mass of distilled water, calculated based on the initial and target water contents and the dry mass of the specimen, was applied incrementally. The mass of added water (mw) was determined by the following Eq. (1):
where w1 is the target moisture content, w0 is the natural moisture content, and m0 is the current mass of the soil sample.
Note: 5%- GJ1, 5%-GJ2, 10%-GJ1, 10%-GJ2, 15%-GJ1, 15%-GJ2, 20%-GJ1, 20%-GJ2, 25%-GJ1, 25%-GJ2 representing 5% respectively water content-loess1, 5% water content-loess2, 10% water content-loess1, 10% water content-loess2, 15% water content-loess1, 15% water content-loess2, 20% water content-loess1, 20% water content-loess2, 25% water content-loess1, 25% water con-tent-loess2.
The water was applied incrementally using a precision micropipette and evenly distributed across the top and bottom surfaces of each specimen in multiple stages to ensure uniform absorption and minimize disturbance. All prepared specimens were hermetically sealed with plastic film and placed in a humidity-controlled curing chamber at 20 ± 1 °C for a minimum of 72 h to facilitate uniform moisture distribution throughout the sample before mechanical testing. The entire process was designed to ensure reproducibility and align with established methodologies for moisture conditioning of unsaturated soils. Figure 3; Table 3 provide detailed experimental flowcharts and experimental plans, respectively.
Test flowcharts.
Test method
Mechanical performance test
According to ASTM D7181 standard34, the test soil samples were subjected to triaxial shear tests using the KTL-LDF 50 soil static triaxial testing machine produced by Suzhou Ketai Testing Technology Co., Ltd. in Suzhou, Jiangsu Province, China. Before the test, the soil samples were preconsolidated under four specified effective consolidation pressures: 100, 200, 300, and 400 kPa. Drainage was permitted during consolidation, and the process was deemed complete when the volumetric strain rate dropped below 0.05%/min, ensuring the complete dissipation of excess pore water pressure. Subsequently, the specimens were sheared under Consolidated Drained (CD) conditions. The shearing process was conducted at a constant axial strain rate, which is critical for low-permeability loess to ensure fully drained conditions and accurate measurement of effective stress parameters. According to the guidance provided by ASTM D718134, the strain rate for fine-grained soils should typically be controlled within the range of 0.05% ~ 0.10%/min. Given the specimen height of 100 mm, the axial strain rate was set to 0.08%/min, corresponding to an axial displacement rate of 0.08 mm/min. Parallel specimens under different confining pressures were tested at the same strain rate. The termination criterion for each experiment was defined as the clear observation of peak shear failure on the stress-strain curve or reaching an axial strain of 15% (corresponding to an axial displacement of 15 mm), whichever occurred first. Data points on the stress-strain curve were recorded for every 0.5% axial strain increment during shearing.
In addition, a comprehensive evaluation of the shear strength of soil samples was conducted through supplementary tests, including direct shear tests and triaxial shear tests. According to ASTM D3080/D3080M-2335, a standard direct shear apparatus was used to conduct a direct shear test on experimental group 1, with a controlled displacement rate of 0.8 mm/min until failure occurred. The peak shear stress is recorded as the shear strength (τ_f).
Microscopic test
According to the standard method for geotechnical engineering testing (GB/T 50123 − 2019)36, the fully automatic mercury intrusion porosimeter of Pore Master GT produced by Quantachrome Instrument in the United States was used to conduct the MIP test. To divide the size of the large, medium, small, and micro pores of the sample, different structures of loess were naturally air dried and trimmed into cylindrical rods with a dimension of 10 mm in diameter and 10 mm in height. The trimmed sample in the initial state was subjected to mercury intrusion porosimetry to analyze its pore characteristics. In order to quantitatively analyze the influence of pore distribution characteristics and evolution laws of loess soil samples before and after shearing, low-pressure and high-pressure mercury injection was carried out on the trimmed samples, and the data of mercury injection amount changing with pressure were continuously monitored and recorded. During the experiment, the low-pressure stage is 0.1 ~ 50 kPa, mainly measuring the pore characteristics of large pores and some medium pores; The high-pressure stage is 50 ~ 200 MPa, mainly measuring the pore characteristics of small and micro pores.
In this study, pores are classified according to Lei’s classification37,38: macropores (> 32 μm), medium pores (8–32 μm), small pores (2–8 μm), and micropores (< 2 μm). The Percentage of Large and Medium pore volume (PLM) is defined as the ratio of the cumulative volume of macropores and medium pores to the total pore volume, calculated as:
Where Vmacro, Vmedium, and Vtotal represent the macropore volume, medium pore volume, and total pore volume, respectively. Afterwards, establish the relationship between pore structure and strength indicators, and combine micro experimental analysis to clarify the influence of micro parameter evolution of soil samples on macro strength performance.
Results and analysis
Analysis of the stress‒strain curves
Figure 4 illustrates the relationships between deviatoric stress (q), volumetric strain (Θ), and axial strain (ε) for undisturbed loess specimens under varying confining pressures and moisture contents. The response curves exhibit significant variations: at low moisture contents (5% and 10%), specimens display distinct strain-softening behavior accompanied by significant volumetric compression under confining pressures of 100–300 kPa. This phenomenon is attributed to the rapid breakdown of metastable overhead structures. The applied confining pressure restricts dilatancy and induces collapse of the large and medium pores (i.e., those quantified by a high initial PLM), alongside the dissolution of cementing bonds (e.g., carbonates, sulfates), resulting in notable volume reduction and post-peak strength loss39,40. This observation directly links a high PLM to the pore collapse mechanism under shear.
As moisture content increases, the enhanced dissolution of cementing agents and lubrication between particles lead to a transition from strain softening to hardening, accompanied by more pronounced volumetric compression, especially under higher confining pressures (e.g., σ₃ = 400 kPa). The applied confining pressure further restrains dilatancy and promotes particle rearrangement and pervasive pore collapse, thereby enhancing the soil’s ductility and suppressing brittle fracture41,42,43. At a moisture content of 25%, strong strain-hardening behavior prevails with significant volumetric contraction, reflecting the near-complete dissolution of bonds and full activation of particle slippage and compaction. Crucially, a higher PLM signifies a greater volume of pores that act as primary channels for water infiltration, accelerating both the rate of cement bond dissolution and the susceptibility to pore collapse. Therefore, PLM does not merely correlate with strength but quantitatively represents the pore-space fraction most involved in these dominant failure mechanisms, explaining its predictive superiority over holistic indicators like total porosity44,45.
In addition, Fig. 5 depicts three distinct shear failure modes of undisturbed loess, which directly correlate with test conditions (moisture content, confining pressure) and the mechanical behavior analyzed in Fig. 4. Shear fracture failure (Fig. 5a and b)—characterized by sharp vertical/oblique cracks and abrupt strength drops—occurs at low moisture contents (5%–10%) and low confining pressures (100–300 kPa). This brittle mode aligns with the strain-softening response in Fig. 4, arising from the rapid breakdown of metastable structural bonds and cementation (e.g., carbonates), which fail to resist shear without sufficient water lubrication. Uniform compaction failure (Fig. 5c and d)—marked by dense particle rearrangement and minimal cracking—dominates under higher confining pressures (e.g., 400 kPa), even at low moisture contents. Here, the increased confining pressure restrains dilatancy, forcing particles to compact rather than fracture, consistent with the enhanced ductility observed in high-σ₃ tests. Lateral expansion and bending failure (Fig. 5e and f)—featuring significant axial bulging and plastic deformation—prevails at high moisture contents (20%–25%). This mode corresponds to the strain-hardening behavior in Fig. 4, where water-induced cementation dissolution and particle slippage enable gradual compaction, suppressing brittle fracture and reflecting the complete loss of matric suction. The transition from brittle to plastic failure modes underscores the combined effects of moisture content (controlling bond strength) and confining pressure (controlling deformation constraints) on loess stability, with the PLM accelerating water infiltration and weakening, further modulating these failure mechanisms.
Stress-volumetric strain‒strain curves of the undisturbed loess samples with different moisture contents: (a) w = 5%; (b) w = 10%; (c) w = 15%; (d) w = 20%; (e) w = 25%. (The solid circles (●) indicate the peak stress points for strain-softening curves, while the short vertical lines at ε = 15% mark the critical-state stresses for strain-hardening curves.)
Shear fracture failure mode of undisturbed loess: (a) and (b) shear fracture failure; (c) and (d) uniform compaction failure; (e) and (f) lateral expansion bending failure.
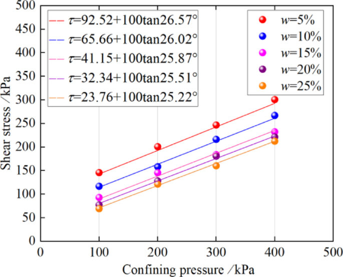
Influence factors of cohesion on strength
As illustrated in Fig. 6, the shear strength of undisturbed loess specimens demonstrates a nearly linear increase with rising confining pressure across all initial moisture levels, highlighting the significant role of confinement in enhancing soil resistance. At low moisture contents, the specimens exhibit considerable shear strength, owing to the preserved cementation provided by soluble salts and the stability of the metastable overhead structure. However, as moisture content increases, the shear strength markedly declines, particularly under low confining pressures (e.g., σ₃ = 100 kPa), where the strength falls below 100 kPa at 15% water content. This reduction is primarily attributable to water-induced dissolution of cementing agents and the collapse of large and medium pores, which accelerate weakening of interparticle bonds and facilitate structural compression40,42. Furthermore, the influence of confining pressure becomes especially critical at high moisture levels (15%–25%); increased σ₃ suppresses dilatancy, promotes particle rearrangement, and mitigates the water-softening effect by enhancing frictional resistance and compaction. PLM exacerbates moisture sensitivity, as a higher proportion of these pores facilitates faster water infiltration and more extensive loss of cementation. Thus, both moisture content and pore structure dictate the shear behavior of loess, with confining pressure modulating the extent of water-induced softening through enhanced stress transmission and structural stabilization.
Strength envelope plot of the soil.
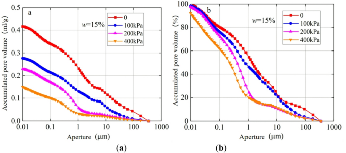
Analysis of the loess pore volume accumulation curve
As illustrated in Fig. 7, the cumulative pore volume curves of undisturbed loess before and after triaxial shearing reveal a systematic reduction in total pore volume following shear failure. Under a constant moisture content (w = 15%), the reduction is magnified with increasing confining pressure. This reduction is predominantly attributable to the collapse of large and medium pores, which constitute the metastable structural framework. The decrease in the cumulative volume of these specific pore classes is the microstructural manifestation of the pore collapse mechanism inferred from the macroscopic stress-strain behavior42,43. Consequently, the post-shearing reduction in the PLM value is a direct, quantitative measure of the extent of this collapse—reaching 0.1430 ml/g, 0.1888 ml/g, and 0.26183 ml/g at σ₃ = 100, 200, and 400 kPa, respectively.
Cumulative pore volume curve of undisturbed loess with 15% moisture content: (a) pore volume accumulation curve of undisturbed loess and (b) fractal classification characteristic curve of undisturbed loess pores.
Figure 8 demonstrates that the cumulative pore volume decreases after shearing peaks at an intermediate moisture content (w = 15%). This non-monotonic relationship is governed by the hydro-mechanical coupling in loess. At low moisture content, cementation bonds remain largely intact, limiting collapse despite high PLM. At the critical moisture content (~ 15%), water sufficiently weakens bonds, destabilizing the large and medium pore structure and making it highly vulnerable to compression under shear46,47. A high initial PLM at this moisture condition predicts severe strength loss via collapse. Beyond this threshold, higher moisture leads to preliminary saturation-induced compaction, reducing the additional collapse potential during shearing. Thus, the evolution of PLM before and after shearing, as captured by MIP, directly evidences the microstructural basis of strength loss—namely, the volume reduction of collapse-susceptible pores. This mechanistic insight justifies why PLM is a more effective predictor than a single pore size or connectivity metric, as it encapsulates the total volume of pores actively participating in the collapse-driven failure process.
Accumulated pore volume curves of loess under confining pressures of 100 kPa and 400 kPa: (a) w = 5%; (b) w = 10%; (c) w = 15%; (d) w = 20%; (e) w = 25%.
Analysis of the pore size distribution curve of loess
As shown in Fig. 9, the pore size distribution curves of undisturbed loess specimens retain a bimodal character after triaxial shearing, yet exhibit clear evolution under increasing confining pressure (σ₃): the dominant peak corresponding to larger pores (initially near 1.33 μm at 15% moisture content) shifts toward finer diameters, with attenuation in intensity and narrowing spectral width under elevated σ₃. This reflects the compression and structural homogenization of the meta-stable loess fabric. The transition is mechanistically driven by the collapse of the open structure—facilitated by high interparticle stresses under confinement—which causes bending, breakage, and reorganization of particle contacts, dissolution of weakly cemented bonds (e.g., carbonates and clay bridges), and progressive infilling and shrinkage of larger pores. The stability of small intra-particle pores highlights that deformation concentrates primarily in the metastable large- and medium-pore systems. These structural changes confirm that PLM serves as a critical proxy for quantifying structural vulnerability under shear, while increased confining pressure amplifies pore collapse and strength degradation through particle rearrangement and bond failure.
Pore size distribution curve of undisturbed loess with a 15% moisture content. (The solid circles (●) indicate the peak stress points for pore size distribution curves; the peak shift indicates collapse of metastable pores.)
As shown in Fig. 10, the pore size distribution of undisturbed loess evolves systematically with both moisture content and confining pressure: under elevated σ₃, the dominant pore size peaks shift toward finer diameters, with the greatest volumetric change occurring in the 0.25–0.65 μm range—a signature of structural collapse within the meta-stable open framework. This compression is mechanistically driven by moisture-mediated weakening of interparticle bonds, increased water content promotes dissolution of soluble salts and clay-bond softening, reducing cohesion and enabling particle rearrangement under confinement40,42. At low moisture (e.g., 5%), cementation persists, limiting pore compression despite rising σ₃, whereas intermediate moisture (15–25%) sufficiently weakens bonds to permit significant pore shrinkage and structural collapse, particularly in larger and medium pores. PLM thus serves as a direct microstructural indicator of bond degradation and structural vulnerability, while moisture content regulates the extent of bonding loss. Together, these factors govern shear strength by controlling the compressibility and collapse potential of the open loess fabric.
Pore size distribution curves of undisturbed loess at 100 kPa and 400 kPa: (a) w = 5%; (b) w = 10%; (c) w = 15%; (d) w = 20%; (e) w = 25%. (The solid circles (●) indicate the peak stress points for pore size distribution curves; the peak shift indicates collapse of metastable pores.)
Overall, in the triaxial shear tests conducted on undisturbed loess samples from the study area, alterations in external conditions resulted in varying degrees of reduction in both the dominant pore size and the volume of intergranular pores, with the two being interchangeable. The differing degrees of volume changes observed in various types of pores reflect the overall reduction in total pore volume.
Analysis of pore volume variation in loess classification
As illustrated in Fig. 11, the classified pore volume distribution—based on Lei’s pore classification method37,38, which categorizes pores into macropores (> 32 μm), medium pores (8–32 μm), small pores (2–8 μm), and micropores (< 2 μm)—reveals systematic evolution in undisturbed loess (w = 15%) after triaxial shearing under increasing σ₃. Specifically, medium pores dominate initially but decrease markedly with rising confining pressure, while small pores increase substantially, shifting the medium-to-small pore ratio from 3:1 toward 1:1 under σ3 = 400 kPa.
Distribution map of classified pore volume content under different confining pressures of loess with natural moisture content.
This redistribution results from the compression and collapse of the metastable open structure under elevated confining stress: medium and macropores are most vulnerable to particle rearrangement and bond breakage due to weaker capillary and cementation forces (e.g., soluble salts and clay bridges)40,48. Their volumetric reduction directly governs shear strength degradation, as these pores dictate structural connectivity and collapse potential. PLM proves particularly indicative of shear behavior, as it captures the volume of structurally active pores that dominate deformation, unlike broader metrics (e.g., total porosity or micropore fraction), which remain less sensitive to stress-induced changes. Thus, PLM, regulated by moisture-mediated bonding strength, serves as a robust microstructural predictor of shear strength in unsaturated loess.
The quantitative evolution of classified pore volume content for undisturbed loess under natural state conditions is characterized by the empirical fitting curves presented in Fig. 12. As illustrated in Figs. 12 and 13, the transformation of pore structures under varying moisture contents (5%–25%) and confining pressures (100–400 kPa) confirms that structural collapse is primarily driven by hydro-mechanical coupling. Specifically, the proportion of large and medium pores (PLM) follows a decreasing linear trend with increasing σ3, while the proportion of small and micro pores (PSM) increases proportionally. This structural reorganization can be described by the following empirical fitting equations:
where A and B are coefficients sensitive to the initial moisture content, and their specific values are summarized in Table 4. At low moisture (w = 5%), the metastable overhead structure is maintained by intact soluble salt cementation, but rising σ3 eventually triggers structural yielding, resulting in a reduction of PLM by approximately 25.5% at 400 kPa. In contrast, at high moisture (w = 25%), pre-softening of bonding salts reduces structural resistance, causing the pore regime to shift toward small-pore dominance more rapidly. These microstructural changes reflect the hydro-mechanical breakdown of the open framework, where moisture governs bond degradation and confining pressure drives particle rearrangement. Thus, PLM serves as a sensitive, mechanistically robust indicator of structural vulnerability and shear behavior, capturing the volume of active pores most prone to collapse under stress.
Fitting curve of the volumetric content of graded pores in intact samples with respect to the natural water content.
Classification of pore volume content distribution of undisturbed loess at 100 kPa and 400 kPa: (a) w = 5%; (b) w = 10%; (c) w = 20%; (d) w = 25%.
Statistical correlation analysis between PLM, water content, and shear strength.
To further reveal the intrinsic relationship between the microstructure evolution and macroscopic mechanical response of loess under the action of moisture and stress, this section introduces the pore volume change rate (ΔV_v) and shear strength attenuation rate (Δτ_f) as quantitative indicators based on the analysis of pore distribution and strength characteristics in the previous section, and systematically conducts statistical correlation research between PLM, moisture content, and shear strength. Among them, ΔV_v reflects the changes in pore structure caused by changes in water content and shear at the mesopore scale, and its calculation follows the following formula:
Among them, V_v, initial represents the initial pore volume (or proportion) before the shear test, and V_v, final represents the initial pore volume (or proportion) after the shear test.
On the other hand, the shear strength attenuation rate Δτ_f is used to characterize the degree of strength loss under different water content and stress paths, and its calculation is based on:
Among them, τ_f, ref represents the shear strength under the reference state (such as the strength under the lowest moisture content or lowest confining pressure), and τ_f, test represents the shear strength under experimental conditions (such as strength under higher moisture content or higher confining pressure).
Through Pearson correlation analysis, Spearman correlation analysis, and linear regression methods, this study aims to clarify the quantitative relationship between changes in large and medium-sized pore structure and strength response, to provide a statistical basis and a mechanism explanation for the established strength prediction model.
Table 5 shows the correlation analysis results between the volume change rate of various types of pores and the shear strength attenuation rate under different moisture content conditions. It can be seen that there is a highly significant negative correlation between the change rate of macropores (△V_Mac) and mesopores (△V_Mes) and the strength attenuation rate (Δτ_f,) (Pearson coefficient is mostly below − 0.98, Spearman coefficient is -1.000), p < 0.05), Especially when the moisture content increases, the correlation is more significant; However, there is no stable or significant correlation between the change rate of small pores (△V_Sma) and micropores (△V_Mic) and the strength attenuation rate. The coefficient signs are unstable, the absolute values are low, and the p-values are generally greater than 0.05. This statistical result clearly indicates that there is a close synergistic relationship between the reduction in volume of large and medium-sized pores and the attenuation of shear strength, which is mainly due to the metastable structural characteristics of loess. As the main carrier of soluble salt cementation and fictional pores in loess, large and medium-sized pores are more prone to cement softening, pore wall lubrication, and structural collapse when the moisture content increases, thereby significantly weakening the overall strength of the soil; On the contrary, small pores and micropores are mostly intragranular pores or stable intergranular pores, which have weak responses to changes in moisture and stress. Therefore, their volume changes do not contribute significantly to the macroscopic strength evolution, further confirming the dominant role of large and medium-sized pores in controlling the shear strength attenuation of loess.
Table 6 shows the results of multiple regression analysis on the shear strength attenuation rate of various types of pore volume changes under different moisture contents, where the standardized coefficient intuitively reflects the relative contribution strength of each pore variable. Data analysis shows that under most water-containing conditions (such as 10% and 25%), the absolute values of the standardized coefficients (-0.743, -0.223) of mesopores (△V_Mes) are significantly higher than those of micropores (△V_Sma: 0.381, 0.820) and micropores (△V_Mic: -0.187, -0.055). Especially at a water content of 10%, the contribution strength of mesopores is about 1.95 times that of micropores and 3.97 times that of micropores. This result confirms that mesopores have a dominant influence on strength attenuation. This is because the mesopores, as a key component of the metastable structure of loess, are extremely sensitive to moisture and stress response. The invasion of moisture promotes the dissolution of cementing salts (such as carbonates) in the mesopore walls and the softening of the bonding between clay particles, which in turn leads to pore collapse and overall structural instability, directly resulting in a decrease in shear strength. In contrast, small pores are mostly distributed inside the granules, while micropores are related to the adsorbed water film. The changes of the two are relatively small during the shear process and have a weaker impact on the overall stability of the structure. Therefore, their contribution to strength attenuation is significantly lower. Therefore, mesopores not only contribute significantly in statistical terms, but also play a decisive role in structural mechanics mechanisms.
Table 7 shows the moderating regression analysis results of the influence of moisture content (w), mesopore volume change rate (△V_Mes), and their interaction term (△V_Mes × w) on the strength of loess. From the statistical results, although the main effect term did not show a significant impact (p > 0.05), the interaction term (△V_Mes × w) showed a strong negative effect (coefficient − 1.234), indicating that moisture content has a significant moderating effect on the relationship between mesopores and strength, especially at higher moisture levels, where the sensitivity of mesopore volume changes to strength attenuation is significantly enhanced. This phenomenon can be attributed to the infiltration of water under high water content conditions, which promotes the dissolution and softening of cementing materials (such as soluble salts) in the pore walls, making the pore structure more prone to collapse and significantly weakening the interparticle connections, thereby exacerbating the attenuation of shear strength. At the same time, as the moisture content increases, the thickening of the water film in the mesopores and the redistribution of effective stress further amplify the control effect of volume changes on macroscopic mechanical behavior, making mesopores the key microstructural factor that dominates strength sensitivity under high moisture conditions.
As illustrated in the three-dimensional relationship in Fig. 14, the shear strength of loess exhibits a distinct dependency on both moisture content and the proportional volume of large and medium pores, highlighting the critical role of hydro-mechanical interactions in structural evolution. Increased moisture content promotes dissolution of soluble cementing materials (such as carbonates and clay bonds) and reduces suction stress, thereby weakening the metastable open structure of loess. Concurrently, a higher proportion of large and medium pores amplifies the potential for structural collapse, as these pores serve as primary channels for water infiltration and stress concentration under applied confining pressure. The combined effect leads to the rearrangement of particles, compaction of the pore system, and a corresponding reduction in shear strength49,50.
The selection of the proportional volume of large and medium pores, as opposed to general porosity or individual pore-size ranges, is justified by its sensitivity to structural changes that directly govern strength degradation. Macropores and medium pores are more susceptible to compression and collapse under moisture and confinement, whereas micropores and small pores contribute less significantly to large-scale deformation. Thus, the proportional volume provides a more mechanistically informed indicator of shear behavior, aligning with the structural characteristics and collapse mechanisms inherent to unsaturated loess.
Three-dimensional line graph of moisture content, proportion of large and medium pores, and strength of consolidated loess samples.
Model establishment and verification
Establishment of the bivariate calculation model
Based on the preceding microstructural analysis, the shear strength of loess is governed predominantly by its w and PLM. These two parameters jointly capture the hydro-structural sensitivity of the metastable fabric, with moisture content controlling the kinetics of cement dissolution and lubrication, and PLM quantifying the volume fraction of pores most susceptible to water-induced collapse. Grounded in this mechanistic understanding, a semi empirical model is formulated to describe the τ_f as a function of w and PLM. A three-dimensional coordinate system was constructed with PLM along the X-axis, moisture content along the Y-axis, and shear strength along the Z-axis. The experimental dataset was processed using nonlinear surface fitting in Origin software to derive a best-fit model that characterizes the complex interdependencies among these parameters, as shown in Fig. 15.
While Eq. (7) is derived from statistical fitting, its mathematical form possesses a distinct physical basis. The variables w and PLM function as indicators of the weakening of matric suction and the collapse of the macroscopic soil skeleton, respectively, together capturing the synergistic degradation of inter-particle cementation and effective stress under water-loading coupling. This provides a physical basis for the model’s structure, even though the exact mathematical combination is derived from regression. Using loess from Chang’an District, Xi’an, as a case study, the model achieved a high coefficient of determination (R2 = 0.94), demonstrating its effectiveness in predicting shear strength from these two structurally indicative variables within the experimental domain.
where τ_f is the shear strength of the soil (kPa), PLM is the percentage of large and medium pore volume in soil samples after consolidation and stabilization, and w0 is the water content (%) of the soil sample after consolidation. However, as a semi empirical formulation, its applicability and extrapolation are subject to the boundary conditions of the experimental dataset, which correspond to specific engineering scenarios. It is important to emphasize that this model serves as a high-precision methodological framework rather than a universal constant formula. Due to the inherent spatial variability of loess, site-specific sampling and parameter recalibration remain essential for engineering applications in different regions. While the Quaternary Malan loess maintains structural consistency over large scales, the model’s primary advantage lies in its ability to reflect strength more accurately through micro-structural and moisture variables compared to traditional methods. Therefore, for engineering sites outside the study area, the established theoretical approach should be followed—re-sampling and local calibration—to ensure the highest predictive reliability. The tested moisture content (10%–30%) represents a broad range of field conditions, from the initial unsaturated state to near-saturation during extreme rainfall infiltration. The range of PLM and confining pressures corresponds to the typical stress environment of shallow to medium-depth loess layers (approx. 5–20 m), where geological disasters and foundation settlements are most prevalent. Furthermore, while the model is calibrated using loess from the Chang’an District, Xi’an, it is theoretically applicable to other Malan loess regions with similar depositional environments, as the inherent structural characteristics of Quaternary aeolian loess remain relatively consistent over large geographic scales.
Three-dimensional curved surface association chart of the loess samples: (a) 3D scatter plot of the water content‒shear stress and pore ratio, and (b) water content‒shear stress‒pore ratio 3D fitting model curvature.
Feasibility verification of the computational model
The nonlinear surface fitting model revealed that the three-dimensional relationship between PLM, shear stress, and moisture content in undisturbed loess under fixed confining pressure exhibited a high coefficient of determination, approaching 1, indicating excellent accuracy. To improve the practical relevance and generalize the model across varying moisture contents and confining pressures, multivariate scatter data incorporating PLM, shear strength, cohesion, and internal friction angle for specimens with 5% to 20% moisture content were integrated. A three-dimensional nonlinear surface was fitted to these consolidated data, establishing a continuous predictive model that reflects the evolution of shear stress with changes in moisture content and PLM. Compared with traditional single-parameter models that rely solely on w or n, the proposed model—by incorporating the PLM—achieves a more realistic representation. This improvement is primarily because single-parameter models fail to account for the critical role of pore structure morphology in the strength degradation induced by water infiltration. Models relying solely on w overlook the critical role of structural metastability in loess strength. Conversely, while n is a common structural indicator, it acts as a holistic metric that fails to distinguish the specific contributions of structurally active macropores and mesopores, which are most sensitive to hydro-mechanical loading. The superiority of the dual-parameter approach is also evidenced by the consistently low prediction errors (≤ 1.55%) observed in validation tests (Table 8), which outperform typical errors associated with conventional empirical correlations that ignore pore structure effects.
To validate the model, two additional consolidated shear tests were performed on homogeneous loess samples. For verification specimen A, with a post-consolidation moisture content of 12.14% and a PLM value of 72.6%, the measured shear stress was 102.39 kPa. The model predicted a value of 103.85 kPa, yielding an error of 1.42%. For specimen B, with a moisture content of 18.91% and PLM of 70.5%, the measured and predicted shear stresses were 82.15 kPa and 83.42 kPa, respectively, corresponding to an error of 1.55% (Table 8 is the comparison of test parameters of different soil samples). Both errors fall within acceptable engineering limits, demonstrating that the model accurately predicts shear strength across a range of hydro-structural conditions, validating its applicability for practical use in loess strength estimation.
Summary and conclusions
This study proposes an empirical model for rapidly and effectively evaluating the shear strength of unsaturated loess based on two key indicators: moisture content and PLM. A bivariate strength prediction model was constructed by conducting triaxial shear tests on undisturbed loess samples with different moisture contents through a system, combined with a three-dimensional surface fitting method. The strength evolution mechanism under the coupling effect of moisture structure was deeply revealed. The main conclusions are as follows:
-
(1)
The influence of moisture content on the strength of loess is significant and shows regular changes. As the moisture content increases, the shear strength of loess decreases significantly, and the strength attenuation is more significant in the lower confining pressure range (100–200 kPa). The mechanism lies in the infiltration of water, which leads to the dissolution of cementing salts (such as carbonates, sulfates, etc.) and softening of clay mineral connections, significantly weakening the structural strength of the soil, especially at low stress levels, where the impact of water on structural damage is more sensitive.
-
(2)
Under fixed moisture content conditions, an increase in confining pressure causes soil compression and structural reorganization, further reducing pore volume and affecting strength performance. When the moisture content increases, the structure is more prone to instability under the same confining pressure, reflecting the synergistic control effect of moisture and stress on the strength of loess. The plasticizing effect of water and the compaction effect of confining pressure jointly determine the deformation and failure mechanism of loess.
-
(3)
Changes in the micro-pore structure play a decisive role in the strength response. The decrease in PLM with increasing moisture content or after shearing directly quantifies the collapse of large and medium pores, which are the structural pores most susceptible to hydro-mechanical degradation. These pores serve as primary pathways for water infiltration, accelerating cement dissolution and acting as the weakest links for stress concentration and pore collapse during shear. In contrast, micropores and small pores, primarily associated with adsorbed water and matric suction, exhibit minimal changes during shearing and contribute more to strength maintenance than to its catastrophic loss. Consequently, PLM serves as a direct and optimal indicator of the volume of pores actively participating in the dominant failure mechanisms (pore collapse and bond dissolution), offering a more targeted measure than total porosity or a single pore-size metric.
-
(4)
The strength prediction model based on moisture content and PLM demonstrates high accuracy in three-dimensional fitting (R2 = 0.94). The selection of PLM over alternative microstructural indices—such as n, dominant pore size, or pore connectivity—is justified by its direct mechanistic link to failure. While total porosity is a holistic measure that cannot distinguish the roles of different pore classes, and a single pore size fails to capture the synergistic behavior of the pore system, PLM specifically quantifies the fraction of the pore space that governs both water sensitivity and collapse potential. This provides the model with a clear physical basis and superior predictive sensitivity for metastable loess. Validation experiments confirm the model’s high accuracy, with a prediction error of less than 1.6%.
-
(5)
The proposed model demonstrates high accuracy (error < 1.6%) within the tested range. While the acquisition of PLM via MIP is relatively complex and destructive, its use is necessitated by the pursuit of high precision and a fundamental understanding of the microscopic failure mechanisms. Compared to conventional indicators such as n or e, PLM is an irreplaceable variable for revealing the dominance of macropore collapse in loess strength degradation. In routine geotechnical practice where high precision is not the primary concern, n or e can be utilized as approximate substitutes, albeit with a recognized sacrifice in predictive sensitivity. Furthermore, the inherent structural consistency of Malan loess suggests that PLM can be correlated with more accessible physical indices (e.g., dry density, depth) for simplified regional application. Future research will focus on establishing these empirical correlations and exploring non-destructive, portable techniques—such as low-field NMR or digital image processing (DIP)—to obtain PLM more feasibly under field conditions, thereby balancing scientific rigor with engineering practicality.
Data availability
All data generated or analyzed during this study are included in the published paper. The detailed data could be supplied on demand after contacting the corresponding author.
References
Wei, Y. & Huang, Z. Variations in microstructure and collapsibility mechanisms of Malan loess across the Henan area of the middle and lower reaches of the yellow river. Appl. Sci. 14, 8220. https://doi.org/10.3390/app14188220 (2024).
Wang, Y. & Li, Y. Wetting-induced collapse of loess: tracing microstructural evolution. Eng. Geol. 340, 107673. https://doi.org/10.1016/j.enggeo.2024.107673 (2024).
Wu, H., Shao, S., Shao, S., Wang, Z. & Yan, G. Cyclic loading deformation response and microstructure evolution of undisturbed loess subjected to pre-humidification process. Eng. Geol. 337, 107573. https://doi.org/10.1016/j.enggeo.2024.107573 (2024).
Qin, B., Li, X., Wang, L., Gao, R. & Chai, H. Model interpretation and microscopic characteristics of collapsibility evolution of compacted loess under dry-wet cycles. CATENA 246, 108413 https://doi.org/10.1016/j.catena.2024.108413 (2024).
Zhang, Z. & Xu, Y. Study on mechanical properties subjected to monotonic and dynamic loads of loessal soil in Songyuan City. Urban Stud. Public. Adm. 6 (4), 50. https://doi.org/10.22158/uspa.v6n4p50 (2023).
Fan, J. et al. Study on the disaster mechanism and prevention technology of embankment slip-collapse after extreme rainfall in the loess area. Sci. Rep. 15, 20613. https://doi.org/10.1038/s41598-025-04920-6 (2025).
Pan, L., Zhu, J. & Zhang, Y. Evaluation of structural strength structural strength and parameters of collapsible loess. Int. J. Geomech. 21 (6), 04021066. https://doi.org/10.1061/(asce)gm.1943-5622.0001978 (2021).
Jian, T., Kong, L., Bai, W. & Sun, Z. Investigation on compressibility and microstructure evolution of intact loess at different wetting States. Front. Earth Sci. 10, 923358. https://doi.org/10.3389/feart.2022.923358 (2022).
Cheng, L. et al. Effects of freeze-thaw and dry-wet cycles on the collapsibility of the ILI loess with variable initial moisture contents. Research Square 13, (1931) https://doi.org/10.21203/rs.3.rs-4227170/v1 (2024).
Zou, J. et al. Electrochemical compressionchemical compression technologies for high-pressure hydrogen: current status, challenges and perspective. Electrochem. Energy Reviews. 3, 690–729. https://doi.org/10.1007/s41918-020-00077-0 (2020).
Li, B. et al. Uniaxial compressive stress-strain behavior of steel fiber reinforced geopolymer concrete confined by stirrups: experimental study and analytical model. Constr. Build. Mater. 449, 138262. https://doi.org/10.1016/j.conbuildmat.2024.138262 (2024).
Gao, Y., Li, Z., Sun, D. & Yu, H. A simple method for predicting the hydraulic properties of unsaturated soils with different void ratios. Soil Tillage. Res. 209, 104913. https://doi.org/10.1016/j.still.2020.104913 (2021).
Gao, Y., Sun, D., Zhou, A. & Li, J. Predicting shear strength of unsaturated soils over wide Suction range. Int. J. Geomech. 20 (2). https://doi.org/10.1061/(asce)gm.1943-5622.0001555 (2020).
Santos, D. B., De Sousa, P. F. & Cavalcante, A. L. B. Analytical modeling analytical modeling of unsaturated soil shear strength during water infiltration for different initial void ratios. Sustainability 16 (4), 1394. https://doi.org/10.3390/su16041394 (2024).
Huang, X., Ren, T. & Horn, R. Effective stress and shear strength parameters of unsaturated soils as affected by compaction and subsequent shearing. Eur. J. Soil. Sci. 74 (3), e13384. https://doi.org/10.1111/ejss.13384 (2023).
Yang, X. Shear strength behavior of unsaturated soils during Strain-Softening. Université d’Ottawa/University Ott. https://doi.org/10.20381/ruor-28818 (2023).
Shirkavand, D. & Fakharian, K. A comparison of shear modulus of unsaturated sand in triaxial and simple shear tests under different strains and suctions. Eng. Geol. 315, 106972. https://doi.org/10.1016/j.enggeo.2022.106972 (2022).
Fredlund, D. G. & Morgenstern, N. R. Stress state variables for unsaturated soils. J. Geotech. Eng. Div. 103 (5), 447–466. https://doi.org/10.1061/ajgeb6.0000423 (1977).
Bishop, A. W. The principle of effective stress. Teknisk Ukeblad/TU-nett/Teknisk Ukeblads Nettavis. 39, 859–863 (1959). https://ci.nii.ac.jp/naid/10003193858
Fredlund, D. G. & Rahardjo, H. Soil mechanics for unsaturated soils. https://doi.org/10.1002/9780470172759 (1993).
Fredlund, D. & Xing, A. Equations for the soil-water characteristic curve. Can. Geotech. J. 31 (4), 521–532. https://doi.org/10.1139/t94-061 (1994).
Liu, Y., Zhao, Y., Vanapalli, S. K. & Mehmood, M. Soil-water characteristic curve of expansive soils considering cumulative damage effects of wetting and drying cycles. Eng. Geol. 339, 107642. https://doi.org/10.1016/j.enggeo.2024.107642 (2024).
Tuttolomondo, A., Ferrari, A. & Laloui, L. Pore-pressure coefficients for unsaturated soils: generalized effective stress approach. Can. Geotech. J. 60 (11), 1726–1742. https://doi.org/10.1139/cgj-2022-0164 (2023).
Beesley, M. E. & Vardanega, P. J. Parameter variability of undrained shear strength and strain using a database of reconstituted soil tests. Can. Geotech. J. 57 (8), 1247–1255. https://doi.org/10.1139/cgj-2019-0424 (2019).
Dong, H., Leung, A. K., Liu, J., Karimzadeh, A. A. & Chen, R. Hydrochar effects on the microstructure and hydromechanical behaviour of unsaturated compacted soils. J. Rock Mech. Geotech. Eng. 17 (9), 6045–6053. https://doi.org/10.1016/j.jrmge.2025.03.028 (2025).
Cai, G. et al. Numerical implementation of a Hydro-Mechanical coupling constitutive model for unsaturated soil considering the effect of Micro-Pore structure. Appl. Sci. 11 (12), 5368. https://doi.org/10.3390/app11125368 (2021).
Dong, H., Leung, A. K., Liu, J., Chen, R. & Lui, W. Microstructural investigation of the unsaturated hydraulic properties of hydrochar-amended soils. Acta Geotech. 19 (2), 833–853. https://doi.org/10.1007/s11440-024-02254-7 (2024).
Liu, M. et al. A hydro-mechanical coupling model for predicting infiltration and ponding in unsaturated soils. J. Cent. South. Univ. 30 (10), 3435–3449. https://doi.org/10.1007/s11771-023-5446-x (2023).
Wang, Y., Li, P., Wu, J. & He, X. Estimation of hydraulic characteristics of unsaturated loess with SEM images based on fractal theory. Water 17 (21), 3072. https://doi.org/10.3390/w17213072 (2025).
Gao, Y., Li, Z., Cui, W., Sun, D. & Yu, H. Effect of initial void ratio on the tensile strength of unsaturated silty soils. Acta Geotech. 18 (7), 3609–3622. https://doi.org/10.1007/s11440-023-01800-z (2023).
Wang, L., Sun, D., Yao, Y., Wu, L. & Xu, Y. Kinematic limit analysis of three-dimensional unsaturated soil slopes reinforced with a row of piles. Comput. Geotech. 120, 103428. https://doi.org/10.1016/j.compgeo.2019.103428 (2020).
ASTM D698-91. Standard Test Method for Laboratory Compaction Characteristics of Soils Using Standard Effort (West Conshohocken, 2000).
Pandey, M., Singh, V., Kumar, C., Pandey, S. S. & Nakamura, M. Recent progress in the macroscopic orientation of semiconducting polymers by floating film transfer method. Jpn. J. Appl. Phys. 61 (SB), SB0801. https://doi.org/10.35848/1347-4065/ac2f20 (2021).
ASTM D7181-20. Standard Test Method for Consolidated Drained Triaxial Compression Test for Soils. ASTM International: West Conshohocken, PA, USA, https://doi.org/10.1520/D7181-20 (2020).
ASTM D3080/D3080M-23: Standard Test Method for Direct Shear Test of Soils Under Consolidated Under Consolidated Drained Conditions. ASTM International: West Conshohocken, PA, USA. (2023).
GB/T. 50123 – 2019; Standard for Geotechnical Testing Method (Construction Ministry of PRC, 2019).
Xiangyi, L., THE TYPES OF LOESS & PORES IN CHINA AND THEIR RELATIONSHIP WITH COLLAPSIBILITY. Sci. China Chemisty 31 (11), 1398–1411. https://doi.org/10.1360/yb1988-31-11-1398 (1988).
Yuan, K., Wang, H., Ni, W., Ren, S. & Guo, Y. New insights into the dynamic changes of loess collapsibility under climate-induced wetting-drying cycles: A case study of the loess Plateau of China. CATENA 250, 108782 https://doi.org/10.1016/j.catena.2025 (2025).
Lavagna, L. & Nisticò, R. An insight into the chemistry of Cement—A review. Appl. Sci. 13 (1), 203. https://doi.org/10.3390/app13010203 (2022).
Yan, R. et al. Pore characteristics and micro-structure change of undisturbed loess induced by acid corrosion. Eng. Geol. 310, 106880. https://doi.org/10.1016/j.enggeo.2022.106880 (2022).
Wei, Y., Yao, Z., Chong, X., Zhang, J. & Zhang, J. Microstructure of unsaturated loess and its influence on strength characteristics. Sci. Rep. 12 (1), 1502. https://doi.org/10.1038/s41598-022-05464-9 (2022).
Zhang, L. et al. Microstructure damage characteristics and its mechanism of undis-turbed loess suffering to weak acid leaching. Bull. Eng. Geol. Environ. 82 (3), 71. https://doi.org/10.1007/s10064-023-03098-3 (2023).
Feng, P. et al. The mechanical and hydrochemical properties of cemented calcareous soil under long-term soaking. Sci. Rep. 14 (1), 24532. https://doi.org/10.1038/s41598-024-75540-9 (2024).
Xu, Z., Wu, Y., Ma, Q., Wang, J. & Li, L. Study of the law of strength Attenuation and microstructure damage to cement improved loess under acid rain erosion. Environ. Earth Sci. 83 (19), 555. https://doi.org/10.1007/s12665-024-11855-0 (2024).
Lv, Q. et al. The trend of permeability of loess in Yili, China, under Freeze–Thaw cycles and its microscopic mechanism. Water 13 (22), 3257. https://doi.org/10.3390/w13223257 (2021).
Wang, J. et al. Study on the micro mechanism of damage caused by unloading confining pressure of silty mudstone. Case Stud. Constr. Mater. 19, e02580. https://doi.org/10.1016/j.cscm.2023.e02580 (2023).
Wu, P. et al. Cementation failure behavior of consolidated gas Hydrate-Bearing sand. J. Geophys. Res. Solid Earth. 125 (1). https://doi.org/10.1029/2019jb018623 (2020). e2019JB018623.
Vo, T. & Nguyen, T. The roles of the reversibility and irreversibility of capilary bonds on the impact dynamics of aglomerates. Acta Geotech. 18 (1), 217–233. https://doi.org/10.1007/s11440-022-01577-7 (2022).
Yu, B., Fan, W., Dijkstra, T., Wei, Y. & Deng, L. Pore structure evolution due to loess colapse: a comparative study using MIP and X-ray micro-CT. Geoderma 424, 115955. https://doi.org/10.1016/j.geoderma.2022 (2022).
Wu, H., Shao, S., Shao, S., Zhang, S. & Wang, Z. Variations in dynamic shear modulus of loess exposed to dry-wet cycles from xi’an area, China. Soil Dyn. Earthq. Eng. 173, 108126. https://doi.org/10.1016/j.soildyn.2023.108126 (2023).
Hao, Z. et al. Study on shear behavior and mechanism based on shear functional unit of loess microstructure. Sustainability 15, 11402. https://doi.org/10.3390/su151411402 (2023).
Zhang, Y., Shao, M., Li, G. & Chen, C. Macro–Micro correlation mechanism between structural potential and mechanical strength in collapsible loess. Buildings 15(11), (1940) https://doi.org/10.3390/buildings15111940 (2025).
Hu, W., Cheng, W., Wang, L. & Xue, Z. Micro-structural characteristics deterioration of intact loess under acid and saline solutions and resultant macro-mechanical properties. Soil Tillage. Res. 220, 105382. https://doi.org/10.1016/j.still.2022.105382 (2022).
Li, Y., Wang, Y. & Aydin, A. Loess structure: evolution and a scale-based classification. Earth Sci. Rev. 249, 104665. https://doi.org/10.1016/j.earscirev.2023.104665 (2023).
Wu, J., Yang, N., Li, P. & Yang, C. Influence of moisture content and dry density on the compressibility of disturbed loess: a case study in yan’an City. China Sustainability. 15 (7), 6212. https://doi.org/10.3390/su15076212 (2023).
Ying, Z., Cui, Y., Benahmed, N. & Duc, M. Salinity effect on the compaction behaviour, matric suction, stiffness and microstructure of a silty soil. J. Rock Mech. Geotech. Eng. 13 (4), 855–863. https://doi.org/10.1016/j.jrmge.2021.01.002 (2021).
Wei, T., Zhou, Y., Fang, J. & Fan, W. Loess shear failure micro-mechanisms: insights from pre- and post-shear micro-structural changes and sensitivity analysis. Eng. Geol. 357, 108345. https://doi.org/10.1016/j.enggeo.2025.108345 (2025).
Acknowledgements
The authors would like to thank the anonymous reviewers for constructive comments.
Funding
This study was supported by Shaanxi Provincial Department of Education Service Local Special Research Program Project (22JE018, 23JE018, 23JE019). The Open Research Fund of the Yangtze River Academy of Sciences (CKWV20231170/KY). Xi’an University Science and Technology Personnel Service Enterprise Project (2025JH-GXKJRC-0091).
Author information
Authors and Affiliations
Contributions
Conceptualization, Y.Z. and Z. L.; methodology, X. F. and Y.Z.; Data curation, M. B. and Z. L.; writing—original draft preparation, C. Z. and M. B.; writing—review and editing, X. F. and C. Z.; funding acquisition, Y.Z. All authors have read and agreed to the published version of the manuscript.
Corresponding author
Ethics declarations
Competing interests
The authors declare no competing interests.
Additional information
Publisher’s note
Springer Nature remains neutral with regard to jurisdictional claims in published maps and institutional affiliations.
Appendix
Appendix
The shear strength characteristics of loess are profoundly governed by its distinctive metastable pore structure and associated hydro-mechanical processes, including salt dissolution and collapsibility51,52. The fundamental rationale for selecting moisture content (w) and the percentage of large and medium pore volume (PLM) as the governing predictors lies in their direct and synergistic control over the core mechanisms leading to strength degradation. Moisture content dictates the kinetics of cementing salt (e.g., carbonates, sulfates) dissolution, which weakens interparticle bonds. Concurrently, the PLM serves as a direct quantitative measure of the structural pores most susceptible to water-induced collapse. These large and medium pores act as primary conduits for rapid water infiltration, accelerating both the dissolution of cementation and the softening of pore walls. Under applied shear stress, they constitute the weakest links within the soil skeleton, serving as preferential sites for stress concentration and the initiation of pore collapse—a dominant failure mechanism in metastable loess that leads to significant volumetric compression and a drastic loss in shear strength2,53,54.
In contrast, alternative pore classification schemes lack this direct mechanistic link to collapse-driven strength loss. The total porosity (n) is a holistic measure that fails to distinguish the differential mechanical roles of pore sizes; a soil with high total porosity but a low PLM (i.e., dominated by stable, small pores) may retain considerable strength55,56,57. A single parameter like dominant pore size cannot comprehensively capture the synergistic behavior of the multi-modal loess pore system under coupled hydro-mechanical loading, nor does it specifically quantify the volume fraction of collapse-prone pores. Pore connectivity, while influential, is more complex to quantify routinely, and its effect is inherently reflected in the PLM to a significant degree—a well-connected network of large pores will exhibit a high PLM and facilitate rapid weakening.
Therefore, PLM is posited as the optimal microstructural indicator because it directly quantifies the volume fraction of the pore space that dictates both the sensitivity to water infiltration and the propensity for collapse, bridging the gap between microstructure and macro-mechanical response efficiently. Thus, establishing a predictive model based on the readily obtainable parameters w and PLM possesses both theoretical rigor, as it targets the fundamental hydro-mechanical failure mechanisms, and operational simplicity. This approach not only deepens the mechanistic understanding of unsaturated loess behavior but also provides a practical tool for engineering assessments in loess regions.
Rights and permissions
Open Access This article is licensed under a Creative Commons Attribution-NonCommercial-NoDerivatives 4.0 International License, which permits any non-commercial use, sharing, distribution and reproduction in any medium or format, as long as you give appropriate credit to the original author(s) and the source, provide a link to the Creative Commons licence, and indicate if you modified the licensed material. You do not have permission under this licence to share adapted material derived from this article or parts of it. The images or other third party material in this article are included in the article’s Creative Commons licence, unless indicated otherwise in a credit line to the material. If material is not included in the article’s Creative Commons licence and your intended use is not permitted by statutory regulation or exceeds the permitted use, you will need to obtain permission directly from the copyright holder. To view a copy of this licence, visit http://creativecommons.org/licenses/by-nc-nd/4.0/.
About this article
Cite this article
Zhang, Y., Zhou, C., Bian, M. et al. A new method for predicting the shear strength of loess based on moisture content and large and medium pore volume. Sci Rep 16, 6602 (2026). https://doi.org/10.1038/s41598-026-37476-0
Received:
Accepted:
Published:
Version of record:
DOI: https://doi.org/10.1038/s41598-026-37476-0

















