Abstract
The objective of the current work is to investigate the tribological properties of nanodiamond (ND) reinforced polyurethane (PU) composite and examine the impact of UV irradiation on these properties. The experiments were optimized using the Taguchi design and ANOVA, while machine learning (ML) techniques were applied to predict the tribological performance. The study uses the Taguchi design of experiments (DOE) with an L27 orthogonal array to assess the effects of sliding distance (500–1500 m), sliding speed (100–300 rpm), load (10–30 N), composition (pure PU, 0.2 wt% ND, 0.5 wt% ND), and UV irradiation time (0, 200, 400 h) on wear rate and coefficient of friction (COF). The results show that incorporating 0.5 wt% ND significantly enhances PU performance, reducing the wear rate to 0.018 × 10⁻³ g/m and achieving a COF of 0.253 under optimal conditions of 30 N load, 0 h of UV irradiation, and 300 rpm. ANOVA reveals that composition and UV irradiation time are the most influential factors, contributing 52.52% and 35.46% to wear rate, and 22.18% and 50.57% to COF, respectively. Machine learning models, including Support Vector Regression (SVR), linear regression, and XGBoost, were used for performance prediction, with XGBoost providing the highest accuracy (R²/MSE = 0.99/0.000003 for wear rate, 0.98/0.00023 for COF). The findings highlight the potential for developing enhanced polyurethane nanocomposites with improved wear resistance for applications in industries such as automotive and aerospace, under varying tribological and environmental conditions.
Introduction
Thermoplastic polymers have a wide range of uses in engineering application due to their low cost, lightweight, ability to resist corrosion, and ease of fabrication1,2. Among the diverse range of thermoplastic polymers, polyurethane (PU) has gained significant attention due to its outstanding mechanical strength, durability, and excellent abrasion resistance, particularly in demanding tribological applications3,4. However, PU is susceptible to environmental factors such as ultraviolet (UV) radiation, temperature, pH, and moisture, which can negatively affect its tribological properties5. Among all the environmental factor, UV radiation is a major contributor to polymer degradation, with prolonged or intense exposure accelerating the degradation process6. To address these limitations and further enhance PU’s performance, researchers have explored incorporating nanoparticles into its polymer matrix7. Several key studies have highlighted the tribological improvements achieved by reinforcing PU with various nanoparticles. For example, Feng et al.8 found that PU reinforced with 0.25–1 wt% MXene exhibited improved tribological performance, with the 0.5 wt% composite (PUC0.5) showing a 45.1% reduction in friction and a 206% decrease in wear rate compared to pure PU. PU reinforced with 0.5–3.5 wt% functionalized graphene demonstrated enhanced tribological properties, with the 3 wt% composite achieving the lowest friction (0.42) and wear rate (19%) compared to neat PU9. PU composites containing 25%, 33%, and 50% glass fibers showed a 19.87% reduction in wear rate, with the 50% glass-fiber composite achieving a high hardness of 93.3 Shore D10. Further studies have demonstrated the effectiveness of other reinforcements, such as multi-walled carbon nanotubes (MWCNT) and molybdenum disulphide (MoS₂), which resulted in a 25.6% reduction in the coefficient of friction (COF) and a 65.5% decrease in wear rate, while also increasing hardness by 133.5 MPa11. Graphene-reinforced PU composites (0.25–5.25 wt%) exhibited improved tribological behavior, with 0.5 wt% graphene providing the most significant reduction in friction and wear resistance12. Additionally, graphene and aligned graphene oxide@Fe₃O₄-reinforced waterborne polyurethane (0.5 wt%) significantly reduced the COF to 0.25 and the wear rate to 3.60 × 10⁻⁴ mm³/(N·m) compared with pure waterborne polyurethane coatings13. Carbon-fiber-reinforced polyamide-polyurethane (CF/PA-PU) composites with 5 wt% carbon fiber showed a 16.06% reduction in COF and a 32.22% decrease in wear rate compared to the base CF/PA-PU material14. In another study, PU reinforced with 3 wt% graphene exhibited a reduction in COF from 0.51 to 0.42, and the abrasion rate decreased from 35% to 19% compared to pure PU15. Bovine hoof powder (BHP)-reinforced polyurethane composites exhibit improved coefficient of friction and hydrophilicity with increasing BHP loading, but also show a decrease in wear rate, hardness, and impact strength, with the optimal BHP loading found to be 7.5%16. PU composites reinforced with an epoxy interpenetrating polymer network (PU/EP IPN) demonstrated a 21% reduction in COF and a 78% drop in wear rate17. Furthermore, TPU reinforced with 5 wt% short fibers (such as UHMWPE, basalt, and bamboo) exhibited superior tribological properties, with the basalt fiber composite having the lowest COF (0.088), a 70.57% decrease compared to pure PU19. One finding suggested that PU composites with MXene and carbon black, in which a 1:2 CB: MXene composition reduced wear by 85% compared to pure PU20. The other finding suggested that PU reinforced with carbon fiber, graphene platelets, and UHMWPE exhibited reduced friction and wear21. The addition of 30% modified PAN fiber to PU resulted in a COF of 0.08, representing an 81.8% decrease compared to pure PU22. Moreover, epoxy/PU composites reinforced with 0.75 wt% MWCNTs and 2.5 wt% SiO₂ showed a remarkable 600% increase in wear resistance23. PU films containing plasma-treated CNTs exhibited enhanced wear resistance, underscoring the importance of incorporating CNTs prior to urethane formation for optimal performance24. PLA/PU blends (30–70%) demonstrated decreased friction, with the 30:70 blend showing COF values of 0.292, 0.186, and 0.136 at varying speeds25.
The literature review highlights that the wear performance of polyurethane (PU) filled with various fillers, such as graphene, MXene, and carbon nanotubes, has been extensively studied. However, a significant research gap remains in understanding the tribological behavior of PU filled with nano-diamond (ND) nanoparticles. The novelty of this work lies in the use of ND, which, due to its extremely high hardness and excellent durability, provides a unique reinforcing mechanism compared to the more commonly studied carbon-based fillers. While a few studies have explored the tribological properties of ND-reinforced PU, particularly under Ultraviolet (UV) aging conditions, there is a lack of comprehensive analysis regarding environmental degradation effects on wear processes and friction behavior. This study aims to fill this gap by systematically examining the wear rate, coefficient of friction, and wear mechanisms of ND-filled PU before and after UV exposure. Additionally, the integration of Taguchi optimization with machine learning models represents a significant advancement, enabling the identification of dominant factors and accurate prediction of tribological performance. The novelty of this research lies in its combination of innovative material selection (ND), the environmental aging effect (UV), and data-driven optimization and predictive modeling, which extends the current understanding and contributes to the development of high-performance PU-based composites.
Materials and methods
Materials
SMP Technologies Inc., based in Tokyo, Japan, provided the Polyurethane (PU) granules, and the Nanodiamond (ND) fillers were supplied by Nano Research Element Inc. from Delhi, India. The PU pellets had a diameter of 7–8 mm, a density of 0.834 g/cm³, and a glass transition temperature (Tg) of 65 °C. The ND fillers were provided as a fine powder with particle sizes below 10 nm, a density of 3.18 g/cm³, a purity exceeding 99%, and a specific surface area of 350 m²/g. The morphology of the nanodiamonds (NDs) was analysed using Transmission Electron Microscopy (TEM). Figure 1(a) confirms that the NDs are spherical morphology. The particle size distribution shown in Fig. 1(b) reveals that the average particle size is below 10 nm.
a) TEM morphology of ND, b) particle size distribution of ND.
Fabrication of composite samples
Composite samples were prepared using the PU matrix, reinforced with ND particles (0.2 & 0.5 wt%). The overall fabrication process is represented in Fig. 2. First, the required amount of ND nanoparticles was treated chemically following the procedure described in the literature26. In this process, the virgin NDs were treated with a mixed acid solution consisting of concentrated sulfuric acid (98%) and nitric acid (70%) in a 3:1 volume ratio to facilitate oxidation. The mixed acid solution was initially placed in an ultrasonic bath for sonication, followed by oxidation in water at 90 °C with continuous stirring for 10 h. The resulting reaction mixture was then diluted with distilled water, filtered, and washed several times to remove any excess acid from the suspension. The final ND powder was dried in an oven at 80 °C for 4 h. The oxidative treatment introduced oxygen-containing functional groups onto the nanodiamond surface, resulting in carboxyl-functionalized nanodiamonds (ND-(COOH)ₙ). The chemically modified ND particles were then weighed with an electronic balance and dissolved in ethanol at approximately a 1:0.5 ratio. This mixture was continuously stirred and sonicated until a uniform solution was achieved. Simultaneously, the required number of PU granules was added to the prepared nanofluid in a breaker, which is kept on a hot plate and stirred with a glass rod. To prevent moisture absorption, the mixture was placed in an oven for 24 h. Thus, the PU coated with ND parties was placed in an injection-molding machine fitted with ASTM-standard dies to produce rectangular samples. The composite test specimens were successfully prepared using 0.2 and 0.5 wt% PU/ND composites as well as pure PU.
Fabrication of composite samples.
Samples exposed to UV irradiation
The fabricated composite specimens, including both unreinforced and reinforced polymers, were exposed to ultraviolet (UV) radiation using a tabletop Accelerated Weathering Tester (AWT) from APPLE Electronics. The test conditions were set with a UV irradiance of 1.20 W/m² at a wavelength of 340 nm, with exposure periods of 0, 200, and 400 h in an air atmosphere.
Tribological test
The tribological tests were carried out using the pin-on-disc equipment (Model TR-20LE-PHM400-CHM400) as shown in Fig. 3. The tests evaluated the wear rate and coefficient of friction (COF) for the polyurethane-nanodiamond (PU-ND) composites under different testing conditions include sliding distance (500 m, 1000 m, and 1500 m), sliding speed (100 rpm,200 rpm,300 rpm), Load (10 N, 20 N and 30 N) composition (Pure, 0.2PU/ND and 0.5 PU/ND) and UV exposure (0 h, 200 h and 400 h)27. There were four repetitions of each test condition performed to ensure statistical reliability and accurate results. An optical microscope (Primotech, ZEISS, Oberkochen, Germany) was used to identify the wear mechanisms in the tested samples.
Pin-on-disc setup.
Taguchi design of experiment(DOE)
The Taguchi method is a statistical approach to experimental design, primarily used in engineering and industrial research. It allows for the efficient and cost-effective generation of reliable, high-quality results in less time. This method uses orthogonal arrays to assess the impact of process factors at different levels, thereby reducing the number of experimental runs required for statistically valid results28. In this investigation, five process parameters were chosen to evaluate the tribological performance of composites using Minitab v21 software (https://www.minitab.com). The process parameters are (i) applied load, (ii) sliding speed, (iii) sliding distance, (iv) composition weight%, and (v) UV irradiation time. Each parameter was assessed at three distinct levels (L1, L2, and L3), as detailed in Table 1. A factorial design with three levels and five factors would typically necessitate 243 experimental runs (35 = 243). To reduce the number of trials while maintaining statistical accuracy, the Taguchi L27 orthogonal array was selected. The design of the 27 experimental runs was based on the defined levels for each parameter, as presented in Table 2. To enhance the repeatability and reliability of the experiment, a statistically valid and well-controlled approach was used for the analysis of the five parameters, which were tested at three levels using a Taguchi L27 orthogonal array. In order to minimize the variability of the results, each condition was tested four times and the average results were noted to reduce the random error and enhance the reliability of the data, at each different experimental condition. Overall the use of repeated tests, controls, samples and validating all statistical designs ensures that consistent and repeatable results are obtained27. –29.
Signal-to-noise ratio (S/N)
The experimental outcomes obtained from Taguchi’s methodology are converted into Signal-to-Noise (S/N) Ratios, which serve as the objective functions during optimization. The S/N ratio describes how much desired signal is present relative to the unwanted noise, thereby enhancing data quality and aiding in identifying the best processing parameters. The analysis of S/N ratios generally classifies the performance characteristics into three categories: “smaller-the-better,” “larger-the-better,” and “nominal-the-best.” In the current investigation, the “smaller-the-better” criterion was adopted to improve the measurement of tribological properties. The S/N ratio is calculated using Eq. (2)30.
Where, n= observation count; R= data for every response.
Analysis of variance (ANOVA)
ANOVA (Analysis of Variance) is a statistical method that uses multiple-factor analysis to identify the relative contributions of independent variables to a dependent variable31. Minitab v21 software (https://www.minitab.com) was used to run all ANOVA calculations at a 95% confidence level. ANOVA was used in the present study to evaluate the effects of the five factors: sliding distance, speed, load, composition, and UV irradiation time, on the tribological properties such as wear rate and COF of PU/ND composites. An L27 orthogonal array was used to reduce the number of experimental runs while facilitating easier statistical evaluation.
Machine learning
Machine Learning (ML) is part of Artificial Intelligence, which uses test data from experiments that have been divided into training, validation, and testing sets, to determine the best-performing predictive algorithms and optimize predictions (by selecting) based on their accuracy. In this study, we determined the wear rate and coefficient of friction of PU/ND nanocomposite samples using ML. Three ML models were chosen for their ability to model continuous numerical outputs: Support Vector Regression, Linear Regression, and Extreme Gradient Boosting. Using a design of experiments (DOE) approach based on the L27 orthogonal array, the preparation and evaluation of samples for testing purposes in terms of tribological properties. The data obtained from the experimental results served as input to the machine learning algorithms in Python (3.9) using Google Colab (https://colab.research.google.com/). The results of the machine learning models were validated using 5-fold cross-validation (K = 5) to obtain accurate error estimates while minimizing computational time and reducing the risk of overfitting. Several performance metrics were used to confirm the accuracy of each of the machine learning models through calculation of the mean square error (MSE), root mean square error (RMSE), coefficient of determination (R²), and additional metrics such as the mean absolute error (MAE) and the mean absolute percentage error (MAPE); these equations can be found in Eqs. (3)-(7)32,33.
Where, n= Number of data points in the dataset; \(\:{d}_{i}\)=Actual value; \(\:{\stackrel{-}{d}}_{i}\)=Predicted value; \(\:\stackrel{-}{D}\)= Mean of the actual values.
Support vector regression
Support Vector Regression (SVR) is an ML algorithm that was developed from Support Vector Machines (SVMs). SVR adopts an ε-insensitive loss function, which restricts the prediction errors, thus producing a flexible tube around the estimated function. This approach only penalizes significant errors, thereby enhancing the model’s ability to generalize from the training data. The SVR regression function is represented in Eq. 934.
where, w is the vector of weights, i the vector of inputs, and b the bias parameter.
Linear regression
Linear regression is an ML algorithm that uses statistical methods for determining the relationship between a dependent variable and one or more independent variables by fitting a straight line to the data. There may be single- or multiple-regression depending on whether there is one predictor or several predictors. This method is often used for predicting numeric results and forms part of the foundation of statistical learning theory, as indicated in Eqs. (10–11)35.
\(\:\text{w}\text{h}\text{e}\text{r}\text{e},\:\:\stackrel{-}{\text{Y}\:}=\text{p}\text{r}\text{e}\text{d}\text{i}\text{c}\text{t}\text{e}\text{d}\:\text{r}\text{e}\text{s}\text{p}\text{o}\text{n}\text{s}\text{e}\) \(\:{\text{X}}_{1},{\text{X}}_{2}{,\text{X}}_{3},{\text{X}}_{4},{\text{X}}_{5\:}\)are the sliding distance, sliding speed, load, composition, and UV Irradiation time. The symbols \(\:{\propto\:}_{0\:\:\:}{,\propto\:}_{1}{,\propto\:}_{2},{\propto\:}_{3},{\propto\:}_{4},{\propto\:}_{5}\) are model coefficients. The model coefficients are determined using the least-squares estimation method, given by:
---.
Where B is the input variable matrix, and Y is the output responses, such as wear rate, and coefficient of friction.
Extreme gradient boosting
Extreme Gradient Boosting (XGBoost) is an ML algorithm, which is an advanced version of Gradient Boosting that utilizes computationally efficient techniques and algorithms to improve prediction accuracy. This method incorporates regularization, enables parallel processing, and effectively handles missing data. These factors made XGBoost the most favored method for structured data modeling. The general formulation of the XGBoost model is given in Eq. (12)36.
Where, \(\:{P}_{i}\)= predicted value for sample i, m = number of boosting rounds, \(\:{\text{f}}_{\text{n}}=\:{\text{n}}_{\text{t}\text{h}\:\:}\text{r}\text{e}\text{g}\text{r}\text{e}\text{s}\text{s}\text{i}\text{o}\text{n}\:\text{t}\text{r}\text{e}\text{e}\), \(\:{\text{x}}_{\text{i}}=\text{i}\text{n}\text{p}\text{u}\text{t}\:\text{v}\text{a}\text{r}\text{i}\text{a}\text{b}\text{l}\text{e}\text{s}\)
Interpretation of machine learning through SHAP
SHapley Additive exPlanations (SHAP) analysis was employed to better understand machine learning models by evaluating how input factors influenced the predicted tribological characteristics. SHAP is an interpretive system based on game theory that assigns a relevance score to each factor based on the characteristics’ impact on the individual prediction. SHAP allows for both global and local interpretation of the data model. The SHAP analysis summarizes the most critical processing parameters across the entire dataset, providing a general indication of the most essential processing variables for all model outputs37.
Result and discussion
Tribological properties experimental results
The wear rate, which is measured in grams per meter (× 10⁻³ g/m) and plotted against the experiment number, and shown in Fig. 4a. It shows the variations in wear rate across different experiments. The results from experiments 7, 10, and 22 demonstrate the lowest wear rates, ranging from 0.018 to 0.023 × 10⁻³ g/m, which indicate optimal conditions for wear resistance. The highest wear rate is observed in experiment 25, which is approximately 0.087 × 10⁻³ g/m. A general trend of lower wear rates in experiments 7, 10, and 22, is observed, confirming the enhanced wear resistance of the composites at optimal parameters condition. The low wear rates indicate that the inclusion of nanodiamond (ND) significantly improves the wear resistance of the composites. The uniform dispersion of NDs within the PU matrix is essential for this improvement, as the high hardness and large surface area of ND enhance the composite’s resistance to sliding wear38. The coefficient of friction against experiment number is shown in Fig. 4b. The results range from 0.23 to 0.74 across different experimental conditions. The lowest coefficient of friction occurs between experiments 7, 10, and 22, with values ranging from 0.253 to 0.324, demonstrating the reduced friction of the composites under optimal conditions. Experiment 25 shows the highest friction coefficient, around 0.75, indicating that the composite’s performance deteriorates under certain conditions. The reduced coefficient of friction in the optimal experiments (7, 10, and 22) is attributed to the uniform dispersion of nanodiamonds, which facilitate smoother sliding by acting as rolling elements and forming a protective tribofilm39.
a) Wear rate vs. Exp. No., b) coefficient of friction vs. Exp. No.
Figure 5 illustrates the wear mechanisms observed under 30 N load conditions for Pure PU and 0.5 PU/ND composite samples, both with and without UV treatment, while focusing on the predominant tribological effects and ignoring minimal factors. Figure 5a illustrates for Pure PU at 30 N load at 0 h UV treatment (i.e., Exp. No. 13), displaying deep grooves and ploughing. Mechanism. Figure 5b for the 0.2 PU/ND composite sample at 30 N load at 0 h UV treatment (Exp. No. 19), where wear is more severe, with craters forming along the wear track40. In Fig. 5c, the 0.5 PU/ND composite at similar conditions (i.e., Exp. No. 7), exhibits scratches and shallow grooves. Figure 5d for Pure PU at 30 N load and with 400 h of UV treatment (i.e., Exp. No. 15) shows plastic flow along the wear track, with deep grooves evident. Figure 5e for 0.2 PU/ND composite at 30 N load and with 400 h of UV treatment (i.e., Exp. No. 21) also shows plastic flow, with additional crazing. In contrast, Fig. 5f for 0.5 PU/ND composite at similar conditions (Exp. No. 9) shows both plastic flow and crazing along the shallow grooves, indicating the compounded effect of UV exposure on the wear mechanism41. These images collectively demonstrate how the wear behavior evolves with the addition of ND filler and UV exposure, from deep grooves, craters, and scratches to more plastic deformation and surface damage, such as crazing.
Optical images at 30 N load a) Pure PU, b) 0.2 PU/ND, and c) 0.5 PU/ND at 0 h UV treatment, d) Pure PU, e) 0.2 PU/ND, f) 0.5 PU/ND with 400 h UV treatment.
Statistical evaluation
Taguchi analysis
To determine the significance of every process parameter and its corresponding influence on the tribological properties, an analysis of variance (ANOVA) was employed. Minitab 21 software was used to calculate Signal-to-Noise (S/N) ratios for the process parameters to assess process resilience and pinpoint the ideal conditions for a low wear rate. The “smaller-the-better” quality criteria was applied to the response variables, wear rate and coefficient of friction, as lower values are preferred for better tribological performance. To ensure the maximum statistical validity and reliability of the results, all analyses were performed at the 95% confidence level. Table 3 explains the data obtained from three repetitions, including the Signal-to-Noise (S/N) ratio measures.
Taguchi analysis for wear rate
Tables 4 and 5 present the means and signal-to-noise ratio effects, illustrating how the wear rate changes across the different levels of each factor and highlighting the influence of parameter variations on the response. The delta values, which represent the relative strength of each factor, show that the composite material has the most significant effect (delta = 0.03500) for mean and (delta = 6.39) for signal-to-noise ratio and followed by UV irradiation time (delta = 0.02833) for mean and (delta = 5.47) for S/N ratio. In comparison, load, sliding distance, and sliding speed exhibit relatively minor influences on the wear rate.
In Fig. 6a, the main effects plot for wear rate shows that composite material and UV period are the primary contributors to wear performance. While applied load, sliding distance, and sliding speed had minimal effect. The wear rate decreases substantially with the incorporation of 0.5 PU/ND composite material. Figure 6b presents the main effects plot for COF, confirming that UV irradiation time is the most significant factor. And with a continuous and pronounced increase in COF as the duration of exposure increases, reflecting that the surface has been exposed to UV degradation. Overall, UV exposure is the most dominant factor, followed by composite content, with distance, speed, and load having comparatively minor effects.
Main effect plots for (a) wear rate, (b) COF.
Mean and S/N ratios
The changes of the response with each factor level are illustrated by Tables 6 and 7, which show the mean and signal-to-noise (S/N) ratio effects respectively. The delta values, which indicate the relative influence of each parameter, among all the factors UV irradiation time is the most significant influence in both the mean (0.2117) and S/N ratio (4.134). The composition identified as the second influenced factor had delta values of 0.1373 for the mean and 2.591 for the S/N ratio. Conversely, the sliding distance, sliding speed, and load are less impact on the coefficient of friction. The Taguchi design of the experiment was used to determine the optimal control factors, as measured by the S/N ratios, which assess the robustness of parameter performance against noise interference, as shown in Fig. 7a. The S/N ratio investigation identifies UV irradiation time and composite as the most influential factors, while sliding distance, sliding speed, and load are the least influential. Figure 7b confirms that both UV irradiation time and composite material contribute significantly to the S/N ratios. In contrast, sliding speed and load have only moderate effects due to their lower fractional influence on the resulting response.
Main effect plots of signal-to-noise ratio for (a) wear rate, (b) COF.
Analysis of variance (ANOVA)
Analysis of variance for wear rate
Wear test data obtained using the Taguchi L27 orthogonal array were analyzed through ANOVA to evaluate the effects of composite, UV irradiation time, load, sliding speed and sliding distance. Using the “smaller-the-better” criterion at a 95% confidence level. The results shown in Table 8 explain that composite material (52.52%) and UV Irradiation Time (35.46%) were the most dominant contributions, followed by the load (3.40), interaction of Sliding Distance(m)*Load(N) (1.88%), while the remaining factors contributed less than 10%. These findings confirm that composite material play the most dominate roles in reducing wear rate of PU–ND nanocomposites. The regression model used to estimate the prediction of the wear rate of PU-ND composites are highly accurate with an R-squared value of 95.97% and an adjusted R-squared value of 93.01%. These values confirm the models’ strength and reliability in explaining wear behavior. A linear regression model was developed to evaluate the relationship between the process variables of composition(C), UV irradiation time(U), Load(L), sliding speed(S) and sliding distance(D) and the wear rate. The predictive regression for all the samples is shown in Eq. (13).
Regression equation for wear rate:
The wear rate interaction plot of the polyurethane/nanodiamond nanocomposite shows how each processing parameter affects the nanocomposite’s tribological behavior. This interaction plot clearly shows that increasing the nanodiamond content from 0.2 to 0.5 wt% significantly improves wear resistance across all UV irradiation times, loads, sliding speeds, and sliding distances. The enhancement is attributed to the reinforcing effect of nanodiamonds, which improves load transfer and interfacial bonding within the polymer matrix. Conversely, UV irradiation time consistently reduces the wear rate. As UV irradiation time increases from 200 to 400 h, the wear rate increases due to progressive degradation; the surface becomes increasingly brittle and prone to cracking, making it easier to remove material during sliding. Therefore, the interaction plot provides evidence of the critical role of nanodiamonds in reducing wear rate and underscores the need to optimize multiple processing parameters to achieve optimal tribological performance, as illustrated in Fig. 8.
Interaction plots for wear.
Figure 9(a) shows the contour map, which provides the combined effect of composition and UV irradiation time on the wear rate of PU-ND composites. The wear rate increases steadily with UV exposure from 0 to 400 h, indicating degradation and weakening of the polymer matrix due to prolonged exposure. However, an increase in nanodiamond content significantly reduces wear, and the lowest wear rates are obtained at 0.5 wt% ND. This is owing to ND’s nanoparticles, which increase durability by strengthening the polymer matrix and enhancing the composite’s load-bearing capacity. Figure 9(b) displays the combined influence of composition and applied load on the wear rate, with pure PU and 0.5 wt%. PU/ND composite. The wear rates of pure PU at different loads increased dramatically with increasing applied load, indicating that pure PU exhibited poor, feeble wear resistance at higher interface pressures. In contrast, the wear rates of 0.5 wt% ND PU/ND composites had a considerably lower wear rate than that of Pure PU at different loads, which indicates significantly better load-bearing capacity and wear resistance. Figure 9(c) contour plots display the effect of sliding speed and composite. The wear rate of pure PU is considerably high throughout the sliding speed of 100–300 rpm. As the ND concentration increases, the wear rate drops substantially, indicating that ND significantly enhances the wear resistance of PU. The 0.5 wt% PU/ND Composite displays minimal Wear Rates at all sliding speeds. Composite composition is more influential than sliding speed in reducing wear rates. Figure 9(d) shows the contour plot, which illustrates how the wear rate varies with sliding distance and composition. The sliding distance plays a minor role in the wear rate, whereas composition is the dominant factor influencing it. The wear rate of pure PU increases with sliding distance due to prolonged contact and cumulative material removal. Therefore, the composites contained lower wear rates at longer sliding distances than pure polyurethane; therefore, the composite is a more dominant factor than sliding distance in influencing the wear behavior.
Wear rate for a) composition vs. UV Irradiation time, b) composition vs. load, c) composition vs. sliding speed, and d) composition vs. sliding distance.
Analysis of variance for COF
The analysis of variance for COF was performed using the Taguchi method, with experimental factors including sliding distance, sliding speed, load, composition, and UV irradiation time. Based on the “Smaller is better” principle, the result of the analysis, as observed from Table 9, shows that UV irradiation time is the most significant factor in COF (50.57%), followed by composite (22.18%), Sliding Speed(rpm)*Load(N) (10.26%), and Sliding Distance(m)*Load(N) (6.72%). at the same time, the remaining factors contributed less than 10%. these findings confirm that UV irradiation time plays the most dominant role in reducing the COF of PU–ND nanocomposites. The p-values shown in Table 11 represent the degree of statistical significance of each control factor and their interactions on the wear rate. p-value below 0.05 confirms that the corresponding parameter has a very strong influence at the 95% confidence level. The sliding distance, sliding speed, applied load, composition (wt%), and UV irradiation period have extremely low p-values which confirms that they are the main factors affecting the wear behaviour of PU-ND nanocomposites. The interaction terms such as sliding distance-load and sliding-speed-load having a p-value of less than 0.05 indicate a strong influenced effect. Conversely, interaction terms with high p-values (> 0.05) are not statistically significant, indicating that they have only a minor impact on the wear rate. The regression model used to estimate the prediction of the wear rate of PU-ND composites are highly accurate with an R-squared value of 97.76% and an adjusted R-squared value of 96.12%. These values confirm the models’ strength and reliability in explaining COF behavior. A linear regression model was developed to evaluate the relationship between the process variables of composition (C), UV irradiation time (U), Load (L), sliding speed (S), and sliding distance (D). The predictive regression equation for the samples is explained in Eq. (14).
Regression equation for COF:
The interaction plot in Fig. 10 illustrates how COF is influenced by five factors: sliding distance, sliding speed, load, composition, and UV irradiation time. Each line in this interaction diagram represents a level of the second factor. All factor combinations consistently show a gradual increase in COF with UV exposure time, which confirms that UV Irradiation time is the most dominant factor. There is an interaction between composition and the UV exposure time and load, and also an overall reduction in the COF with increasing amounts of ND content most notably in comparison to pure PU. The combination of the three parameters is moderately related to the COF, and, in general, increasing the load increases the COF.
Interaction plots for COF.
Figure 11(a) Contour plots demonstrate the effect of UV irradiation time and composition on the coefficient of friction (COF). The increase in UV irradiation time from 0 to 400 h causes the coefficient of friction (COF) to increase gradually due to the photochemical breakdown of the polymers’ surfaces. The increase in ND content decreases COF due to the surface stability lubrication; the long UV exposure leads to a general rise in friction. The plots show that, among all factors the UV Irradiation is the most influential factor on COF. Figure 11(b) contour plot shows that there is a moderate effect of sliding distance on the coefficient of friction (COF). More specifically, as the sliding distance was increased from 500 m to intermediate levels (1000–1200 m), COF increased because of the greater amount of surface contact during more extended periods of sliding. At a sliding distance 1500 m, there was a slight decrease in COF, due to the formation of stable, steady-state behavior for sliding-related interactions. Figure 11(c) shows the minimum UV irradiation, the time the COF were very low for all the different sliding speeds ranging from 100 to 300 rpm. The effect of sliding speed was minimal, with a trend of slightly higher COF at intermediate speeds compared to the lower speed and higher speeds with a low coefficient of friction was observed. The overall, the graph indicates that UV irradiation period is the main factor that affects COF, compared to sliding speed. Figure 11(d) contour plot illustrates that the COF is low at low loads and at shorter UV Irradiation times, which means the sliding was smooth and stable. When the load is raised to 20–30 N, the COF increases gradually with the contact pressure. Longer UV light treatment (200–400 h.) makes the surface to degrade and to become rougher, which leads to an increase in COF at all loads. The highest COF value occur under high loads and the longer UV Irradiation time.
COF for a) UV Irradiation time vs. composition, b) UV Irradiation time vs. sliding distance, c) UV Irradiation time vs. sliding speed, d) UV Irradiation time vs. load.
Machine learning
Wear rate
The Fig. 12a–c, shows the comparison of actual versus predicted values of wear rate for the SVR, Linear Regression, XGBoost, and reveal clear differences in each model performance. In each plot, the actual values are placed on the x-axis, while the predictions are placed on the y-axis. Individual data points are shown as red dots, while the black diagonal line represents an ideal case where predicted values are the actual ones (y = x). Figure 12(a) shows the results of SVR achieving an R2 value of 0.97, a lowest MSE value of 0.00001, RMSE value of 0.0032, MAE value of 0.0029 and MAPE value of 0.070. Figure 12(b) shows the linear regression parity plots for wear rate achieving an R2 value of 0.92, MSE of 0.00028, RMSE of 0.0053, MAE of 0.004 and MAPE of 0.103. Figure 12(c) XG BOOST parity plot for wear rate the model achieved an R2 value of 0.99, MSE of 0.000003, RMSE of 0.0017, MAE of 0.0014 and MAPE of 0.034. overall above results, conform that XG boosting demonstrated higher accuracy compared to SVR and linear regression.
Actual vs. predicted values for wear rate of a) SVR, b) linear regression, c) XGBoost.
The confusion matrices of the SVR, Linear Regression, and XGBoost classification model as shown in Fig. 13(a-c). The wear rate Classified into four class: high, Medium, low, and Very low. The confusion matrices show the positions of the classes in the overall distribution. The scales for classification include the 0th, 25th, 50th, 75th, & 100th percentiles. The range of values from 0% to 25% percentile was labeled as low, from 25% to 50% percentile as medium, from 50% to 75% percentile as high, and beyond 75% percentile as very low. This quantile-based binning, apart from being statistically justifiable, simplified the interpretation of classification results through confusion matrices. The true labels are represented by the rows while the predicted labels are indicated by the columns. Figure 13(a) The confusion matrix shows that the SVR model predicting wear rate categories. in High, category 6/7 are correctly classified while 1 misclassified as moderate. In the Moderate wear rate category, 3/7 are correctly predicted, with 1and 3 are misclassified as High and Low. The low category 5/6 are classified as correctly with 1 misclassied as very low. In very low category 7/7 accurately predicted. These results show the SVR model’s reliable and robust predictive capability Fig. 13(b) illustrates the Linear Regression model’s confusion matrix for identifying wear rates. The High wear rate category had 6/7 samples correctly identified while 1 misclassified as moderate. The Moderate category 3/7 being classified correctly other 2 are misclassified as high and low. The Low wear rate category had 4/6 samples correctly identified while 2 are misclassified as very low. The Very Low category performed, with 6 out of 7 samples being classified correctly and 1 are misclassified as low. Overall the linear regression model is best suited for prediction of high wear rates but has difficulty predicting mid-range wear rates as a result of non-linear wear behavior. Figure 13(c), depicts the confusion matrix of the XGBoost model reveals the classification of wear rate with actual classes on the Y-axis and predicted classes on the X-axis. The wear rate classes of High, Low, and Very Low are accurately predicted with 7/7, 6/6, and 7/7. The Moderate category 5/7 properly classified and 2 are misclassified as Low. These findings confirm the model’s accurate and robust predictive capability.
Confusion matrix for wear rate using a) SVR, b) linear regression, c) XGBoost.
The SHAP analysis for the prediction of wear rate using SVR, Linear Regression, and XGBoost models as shown in Fig. 14 (a-f), these models highlight the features importance and distributions of SHAP values. In the SVR model (Fig. 14a-b), composition (wt%) and the UV irradiation, time as the most influenced parameters with SHAP values of −0.75 to + 0.75 and their corresponding feature importance values of 0.45 and 0.45, respectively. Increasing the composition results in less wear, while UV exposure at a higher level causes more wear. Load plays a moderate role (mean SHAP = 0.15), while sliding speed and sliding distance have lower impact on the prediction of wear rate. In this Linear Regression Model (Fig. 14c-d) identifies composition (wt%) as the most dominant feature with SHAP Value from − 0.75 to + 0.75 and a mean of SHAP Values of 0.62, followed by UV irradiation duration of 0.45, Load of 0.18, while sliding speed and distance minimal contributions. In the Figure (14 e-f) XGBoost model, composition (wt%) has a very wide range of SHAP values (−1.0 to + 1.0) and the highest mean SHAP value of (0.60), indicating significant nonlinear effect, while UV irradiation 0.48, load 1.0 and sliding distance, sliding speed less contributions. Overall, results suggest that composition and UV irradiation time have the greatest influence on the wear rate followed by load, while sliding speed and sliding distance. In the SHAP analysis XGBoost model has the best potential to capture non-linear wear behaviours compared to SVR and linear regression.
SHAP Analysis and feature importance for wear rate of a), b) SVR, c), d) linear regression, e), f) XGBoost.
Coefficient of friction
The Fig. 15a–c, shows the comparison of actual vs. predicted values of Coefficient of Friction (COF) for the SVR, Linear Regression, and XGBoost, and exhibiting significant differences in each model performance. In each plot, shows the actual values are placed on the x-axis, while the predictions values placed on the y-axis. Figure 15(a) shows the results of SVR achieving an R2 value of 0.97, a lowest MSE value of 0.00038, RMSE value of 0.019, MAE value of 0.017 and MAPE value of 0.041. Figure 15(b) shows the linear regression parity plots for COF achieving an R2 value of 0.80, MSE of 0.002, RMSE of 0.053, MAE of 0.047 and MAPE of 0.105. Figure 15(c) XG BOOST parity plot for COF the model achieved an R2 value of 0.98, MSE of 0.00023, RMSE of 0.015, MAE of 0.011and MAPE of 0. 026.overall above results, conform that XG boosting is more accurate than SVR and linear regression. In Fig. 16(a), shows the performance of the SVR model in categorizing the coefficient of friction (COF) into four classes, high, moderate, low, and very low. In the high, Moderate and very low COF categories as it identifies 6 out of 7 samples (6/7) correctly classified 1 were misclassified as moderate and low. In the Low category, (6/6) are correctly identified, Overall, the model indicates an accurate categorization. Figure 16(b) confusion matrix shows the performance of the Linear Regression model in classifying COF. In the High category, 5/7 are correctly predicted, and 2 was misclassified as moderate, at the Moderate category 1/7 are correctly identified with 2 and 4 are misclassified as High, and Low. In Low category 3/6 are identified correctly, while 2 and 1 misclassified as Moderate and Very Low. In Very Low category 6/7 were predicted correctly and 1 were misclassified. overall the model more reliably predicted severe COF levels. Figure 16(c) confusion matrix for XGBoost model performed in classifying COF. In the high, Moderate and very low COF categories (6/7) correctly classified 1 were misclassified as moderate and low. In the Low category, (6/6) are accurately predicted, overall the confusion matrix highlights the classification accuracy of the XG Boosting model.
Actual vs. predicted values for COF of a) SVR, b) linear regression, c) XGBoost.
Confusion matrix for COF using a) SVR, b) linear regression, c) XGBoost.
The SHAP analysis for the prediction of the coefficient of friction (COF) with the SVR, Linear Regression, and XGBoost models is presented in Fig. 17 (a-f), along with the SHAP value distributions and feature importance. in the SVR model Fig. 17(a-b), UV irradiation time is an important influential feature, with SHAP values ranging between − 0.7 and + 0.7, and it is confirmed by the feature importance plots with mean shape value of 0.50. followed by composition an SHAP value of 0.30, sliding speed of 0.15, load of 0.1whereas, sliding distance has a negligible effect on COF. In the linear regression model in Fig. 17(c-d) UV irradiation time is dominant with SHAP values of −0.75 to + 0.75, and the highest mean SHAP value of 0.58, followed by composition 0.40, indicating its importance in the variability of COF. The sliding speed, sliding distance, and load produced lower and more closely spaced SHAP values, indicating that these variables have a weaker and mostly linear effect on COF. In the XG Boost model Fig. 17(e-f) The UV irradiation duration exhibited the widest SHAP range (−0.75 to + 0.75) and the highest mean SHAP value of 0.60, confirming that it has the most significant nonlinear effect on COF, and composition 0.35, while sliding speed and sliding distance, moderate feature and load had minor impact, Overall UV irradiation time is the main dominant parameter for COF, followed by composition (wt%), sliding speed, sliding distance, and load considered as minor contributing factors. The SHAP patterns of the XGBoost model signify its superior ability to capture the nonlinear friction behavior.
SHAP Analysis and feature importance for COF of a), b): SVR, c), d) linear regression, e), f) XG Boost.
Pearson correlation matrix
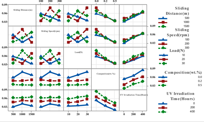
Figure 18 shows the Pearson correlation matrix, which illustrates the key process parameters and tribological properties. It is observed that composition (wt%) has a significant negative correlation with both wear (−0.72) and COF (−0.47), indicating that as nanodiamond concentration increases, wear and COF decrease. UV irradiation time has a strong positive correlation with both wear (0.60) and COF (0.71). This indicates that prolonged UV exposure adversely affects the material’s surface characteristics. The coefficient of friction (COF) and wear rate are strongly positively correlated (r = 0.87), indicating that increasing wear leads to higher COF. In contrast, load, sliding speed, and sliding distance show only moderate correlations, indicating a minor influence on tribological behavior.
Pearson correlation heat map.
Cross validation of machine learning models
The results of the 5-fold cross-validation shown in Table 10. It is observed that XGBoost outperformed both SVR and Linear Regression in predicting the Wear Rate. XGBoost achieved the highest coefficient of determination (R² = 0.99), along with the lowest mean squared error (MSE = 0.000003), root mean squared error (RMSE = 0.0017), mean absolute error (MAE = 0.0014), and mean absolute percentage error (MAPE = 0.034), demonstrating near-perfect prediction accuracy. In comparison, SVR and Linear Regression had higher errors and lower R² scores. The results confirmed that XGBoost is the most accurate model for predicting Wear Rate among the three. In Table 11, the comparison for Coefficient of Friction (COF) prediction follows a similar trend and confirmed XGBoost superior performance, with an R² of 0.98, and significantly lower error values: MSE = 0.00023, RMSE = 0.015, MAE = 0.011, and MAPE = 0.026. In contrast, SVR and Linear Regression performed inferior, with SVR having an R² of 0.97 and Linear Regression showing a much lower R² of 0.80. These results further confirm that XGBoost achieves the best predictive accuracy for wear rate and COF, outperforming SVR and Linear Regression on both R² and error metrics.
Experimental and model comparison
Figures 19(a) and 19(b) illustrate the wear rate and COF values comparison of experimental data with predictions from ANOVA and various machine learning models, including SVR, Linear Regression, and XGBoost, for tribological properties. As shown in Fig. 19(a), the wear rate predicted by ANOVA closely aligns with experimental data across all 27 trials, indicating that the model captures the overall trend. XGBoost and SVR predictions closely follow the experimental results, particularly in experiments 1–5, 10–15, and 22–27, highlighting their superior predictive performance. However, Linear Regression shows more significant deviation from the experimental data. Figure 19(b) compares the coefficient of friction (COF) between the experimental and predicted values across the 27 trials. Here, ANOVA results align closely with the experimental COF results across all 27 trials. ML models such as XGBoost and SVR performed better and accurately predicted COF, especially in experiments 3–6, 12–16, and 20–25. In contrast, Linear Regression exhibits considerable variation in its predictions. Overall, XGBoost and SVR outperform Linear Regression in predicting both wear rate and COF. The deviation between the experimental data and the forecasts from ANOVA and machine learning models is generally below 10%, indicating that these models, particularly XGBoost and SVR, provide more accurate predictions than Linear Regression.
Experimental vs. ANOVA vs. machine learning models for a) Wear rate, b) COF.
Conclusion
This study demonstrated significant improvements in the tribological properties of polyurethane (PU) reinforced with nanodiamonds (NDs) and effect on UV irradiation, focusing on wear rate and coefficient of friction (COF). These enhancements were achieved through Taguchi design, ANOVA analysis, and machine learning models, including SVR, Linear Regression, and XGBoost. The key findings are summarized as follows:
-
The incorporation of ND reduced the wear rate and COF.
-
The UV irradiation time of 0 h, and at higher load values, and for composites (0.2 and 0.5 wt% of PU/ND), the wear rate and COF were reduced significantly.
-
Taguchi and ANOVA results identified composite wt% and UV irradiation time were the most dominant factors affecting wear rate, and COF.
-
Machine learning models (SVR, Linear Regression, and XGBoost) effectively predicted wear rate and COF, with XGBoost showing the highest accuracy among the models.
-
SHAP analysis identified that composition and UV irradiation time were the most dominant factors affecting wear rate and COF.
The current work adopted limited dataset and a narrow range of filler concentrations explored. These constraints may limit the generalizability of the results to broader systems and applications. Future studies will expand the dataset and investigate a wider range of filler concentrations to further enhance the understanding of the material’s behavior under various conditions.
Data availability
The datasets used and/or analysed during the current study available from the corresponding author on reasonable request.
References
Qiao, Y., Fring, L. D., Pallaka, M. R. & Simmons, K. L. A review of the fabrication methods and mechanical behavior of continuous thermoplastic polymer fiber–thermoplastic polymer matrix composites. Polym. Compos. 44 (2), 694–733 (2023).
Prasad, M. B. & Santosh Kumar, S. Tensile and flexural properties of thermoplastic polyurethane reinforced with nanodiamond using experimental and FEM method. J. Mech. Sci. Technol. 39 (11), 6431–6438 (2025).
Sahu, S. K. et al. Effect of graphene reinforcement on the tensile and flexural properties of thermoplastic polyurethane nanocomposite using experimental and simulation approach. Adv. Mater. Process. Technol. 1–17. https://doi.org/10.1080/2374068X.2024.2341986 (2024).
Prasad, M. B. et al. Experimental Investigation of Nanodiamond Reinforcement in PU for Enhancing Mechanical, Scratch, Rheological, Thermal, and Shape-Memory Properties. Polymers 17, 2947. (2025).
Krasowska, K., Heimowska, A. & Rutkowska, M. Environmental degradability of polyurethanes. In Thermoplastic Elastomers—Synthesis and Applications; IntechOpen: London, UK, ; pp. 75–94. (2015).
Lu, T., Solis-Ramos, E., Yi, Y. & Kumosa, M. UV degradation model for polymers and polymer matrix composites. Polym. Degrad. Stab. 154, 203–210 (2018).
Sahu, S. K. & Sreekanth, P. R. Artificial neural network for prediction of mechanical properties of HDPE based nano diamond nanocomposite. Polym. (Korea). 46, 614–620 (2022).
Feng, Z. et al. Study on the tribological properties of MXene reinforced polyurethane composites under dry conditions. Tribol Int. 202, 110348 (2025).
Talapatra, A. & Datta, D. A molecular dynamics-based investigation on tribological properties of functionalized graphene reinforced thermoplastic polyurethane nanocomposites. Proc. Inst. Mech. Eng. Part. J. J. Eng. Tribol. 235, 61–78 (2021).
Zaghloul, M. M. Y., Steel, K., Veidt, M. & Heitzmann, M. T. Mechanical and tribological performances of thermoplastic polymers reinforced with glass fibers at variable fiber volume fractions. Polymers 15, 694 (2023).
Zhang, Z., Yang, M., Yuan, J., Guo, F. & Men, X. Friction and wear behaviors of MoS2-multi-walled-carbonnanotube hybrid reinforced polyurethane composite coating. Friction 7, 316–326 (2019).
Jiang, S. et al. Tribological properties of graphene-reinforced polyurethane bearing material. Tribol Int. 193, 109481 (2024).
Bai, T., Liu, Z., Pei, Z., Fang, W. & Ma, Y. Tribological performance studies of waterborne polyurethane coatings with aligned modified graphene oxide@Fe3O4. ACS Omega. 6, 9243–9253 (2021).
Zhou, Z. et al. Tribological and Mechanical Applications of Liquid-Crystal-Polymer-Modified Carbon-Fiber-Reinforced Polyamide–Polyurethane Composites. Polymers 15, 2033. (2023).
Talapatra, A. & Datta, D. Experimental and molecular dynamics simulation based investigation to understand tribological performance of graphene reinforced thermoplastic polyurethane (Gr/TPU) nanocomposites. Tribol. Int 196, 109703 (2024).
Duraisamy, K., Ahmed, S. A., Chinnasamy, K. & Javid, A. H. Mechanical and tribological properties of bovine hoof powder reinforced polyurethane composites. J. Ecol. Eng. 26, 7 (2025).
He, Y. et al. Enhancement on the thermal and tribological behaviors of polyurethane/epoxy-based interpenetrating network composites by orientationally aligned CNF/MXene/WPU aerogels. Compos. Part. Appl. Sci. Manuf. 187, 108477 (2024).
Huang, Q., Guo, Z., Wu, Z. & Yuan, C. Insight into the tribological performance of polyurethane composites under high temperature water lubrication. Tribol Int. 155, 106784 (2021).
Yu, Y., Jiang, P., Yu, W. & Guo, Z. Tribological performance of short fibers reinforced thermoplastic polyurethane composite materials under Water-Lubricated condition. Polymers 17, 30 (2024).
Zhang, L., Dong, C., Yuan, C., Bai, X. & Jiang, S. Production and tribological behaviors of self-lubricating polyurethane-based damping composites with enhanced wear resistance and vibration Attenuation. Wear 571, 205827 (2025).
Jiang, S., Wong, J. S. S. & Puhan, D. Tribological evaluation of thermoplastic polyurethane-based bearing materials under water lubrication: effect of load, sliding speed, and temperature. Friction 12, 1801–1815 (2024).
Liang, X., Guo, Z., Tian, J. & Yuan, C. Development of modified polyacrylonitrile fibers for improving tribological performance characteristics of thermoplastic polyurethane material in water-lubricated sliding bearings. Polym. Adv. Technol. 31, 3258–3271 (2020).
Bahramnia, H., Semnani, H. M., Habibolahzadeh, A. & Abdoos, H. Epoxy/polyurethane hybrid nanocomposite coatings reinforced with MWCNTs and SiO2 nanoparticles: Processing, mechanical properties and wear behavior. Surf. Coat. Technol. 415, 127121 (2021).
Ogawa, D., Morimune-Moriya, S. & Nakamura, K. Effective polymerization technique for plasma-treated multiwalled carbon nanotubes to maximize wear resistance of composite polyurethane. J. Vac Sci. Technol. B. 40, 022802 (2022).
Krishnasamy, S. et al. Examining tribological and mechanical properties of PLA/TPU blends for footwear applications. Mater. Circ. Econ. 6, 25 (2024).
Jee, A. Y. & Lee, M. Surface functionalization and physicochemical characterization of diamond nanoparticles. Curr. Appl. Phys. 9, e144–e147 (2009).
Kumaraswamy, J. & Ashok, A. S. Machine learning and Taguchi techniques for predicting wear mechanisms of Ni–Cu alloy composites. Results Surf. Interfaces. 17, 100307 (2024).
Prasad, M. B., Louhichi, B. & Sahu, S. K. Hybrid Taguchi and machine learning framework for optimizing and predicting mechanical properties of Polyurethane/Nanodiamond nanocomposites. Comput. Model. Eng. Sci. 145, 483 (2025).
Prasad, M. B. & Sahu, S. K. Taguchi and machine learning integration for tribological analysis of polyurethane/nanodiamond nanocomposites. Proc. Inst. Mech. Eng. Part J. Eng. Tribol. 13506501251362067. (2025).
Gajević, S. et al. Multi-objective optimization of tribological characteristics for aluminum composite using Taguchi grey and TOPSIS approaches. Lubricants 12, 171 (2024).
Backhaus, K., Erichson, B., Gensler, S., Weiber, R. & Weiber, T. Analysis of variance. In Multivariate analysis: an Application-Oriented Introduction 149–205 (Springer, 2025).
Zheng, M., Wen, Q., Xu, F. & Wu, D. Regional Forest Carbon Stock Estimation Based on Multi-Source Data and Machine Learning Algorithms Vol. 16, 420 (Forests, 2025).
Khalfa, A., Manai, L. & Mchara, W. Advanced artificial intelligence model for solar irradiance forecasting for solar electric vehicles. Int. J. Dyn. Control. 13, 1–21 (2025).
Awad, M. & Khanna, R. Support vector regression. In Efficient Learning Machines: Theories, Concepts, and Applications for Engineers and System Designers; Apress: Berkeley, CA, USA, ; pp. 67–80. (2015).
Liu, T. et al. Identification of the primary pollution sources and dominant influencing factors of soil heavy metals using a random forest model optimized by genetic algorithm coupled with geodetector. Ecotoxicol. Environ. Saf. 290, 117731 (2025).
EscabiasC.B. Tree boosting data competitions with Xgboost. Statistics 29, 1189–1232 (2017).
Ponce-Bobadilla, A. V., Schmitt, V., Maier, C. S., Mensing, S. & Stodtmann, S. Practical guide to SHAP analysis: explaining supervised machine learning model predictions in drug development. Clin. Transl Sci. 17, e70056 (2024).
Neitzel, I., Mochalin, V. N. & Gogotsi, Y. Nanodiamonds in Composites: Polymer Chemistry and Tribology pp. 365–390 (In Nanodiamonds; Elsevier, 2017).
Piya, A. K., Yang, L., Emami, N. & Morina, A. Effect of Nanodiamonds on Friction Reduction Performance in Presence of Organic and Inorganic Friction Modifiers. Lubricants 13, 1. (2024).
Biswas, S., Satapathy, A. & Patnaik, A. Erosion wear behavior of polymer composites: a review. J. Reinf Plast. Compos. 29, 2898–2924 (2010).
Liu, L. et al. Effects of UV irradiation time on the molecular structure of typical engineering plastics and tribological properties under heavy load. High. Perform. Polym. 34, 352–362 (2022).
Funding
This work was supported and funded by the Deanship of Scientific Research at Imam Mohammad Ibn Saud Islamic University(IMSIU)(grant number IMSIU-DDRSP2603).
Author information
Authors and Affiliations
Contributions
Conceptualization, M.B.P., and S.K.S.; Formal analysis, J.D., P.S.R.S., A.P.K., B.L., S.K.S., I.E.L., and Q.W.; Investigation, M.B.P., J.D., P.S.R.S., A.P.K., B.L., S.K.S., I.E.L., and Q.W.; Methodology, M.B.P., J.D., P.S.R.S., B.L., S.K.S., and I.E.L.; Software, M.B.P., S.K.S., and I.E.L.; Validation, P.S.R.S., A.P.K., S.K.S., I.E.L., and Q.W.; Writing – original draft, M.B.P.,;Writing – review & editing, J.D., A.P.K., B.L., S.K.S., I.E.L., and Q.W. All authors have read and agreed to the published version of the manuscript.
Corresponding authors
Ethics declarations
Competing interests
The authors declare no competing interests.
Additional information
Publisher’s note
Springer Nature remains neutral with regard to jurisdictional claims in published maps and institutional affiliations.
Rights and permissions
Open Access This article is licensed under a Creative Commons Attribution 4.0 International License, which permits use, sharing, adaptation, distribution and reproduction in any medium or format, as long as you give appropriate credit to the original author(s) and the source, provide a link to the Creative Commons licence, and indicate if changes were made. The images or other third party material in this article are included in the article’s Creative Commons licence, unless indicated otherwise in a credit line to the material. If material is not included in the article’s Creative Commons licence and your intended use is not permitted by statutory regulation or exceeds the permitted use, you will need to obtain permission directly from the copyright holder. To view a copy of this licence, visit http://creativecommons.org/licenses/by/4.0/.
About this article
Cite this article
Prasad, M.B., Louhichi, B., Rama Sreekanth, P.S. et al. Tribological performance of UV treated nanodiamond reinforced polyurethane nanocomposites through Taguchi and machine learning technique. Sci Rep 16, 7368 (2026). https://doi.org/10.1038/s41598-026-38403-z
Received:
Accepted:
Published:
Version of record:
DOI: https://doi.org/10.1038/s41598-026-38403-z


















