Fig. 7
From: Multi-scale fusion transformer for EV charging station load prediction

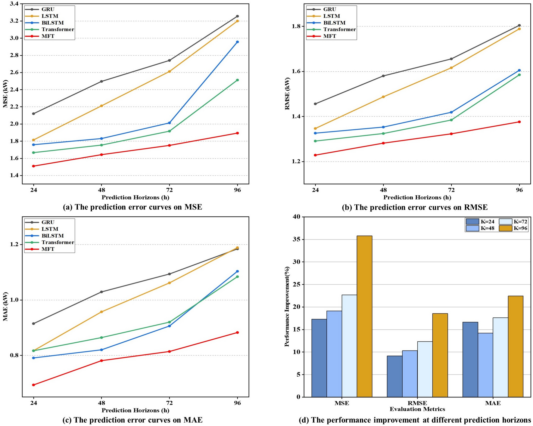
The prediction error curves and the performance improvement of MFT.
From: Multi-scale fusion transformer for EV charging station load prediction

The prediction error curves and the performance improvement of MFT.