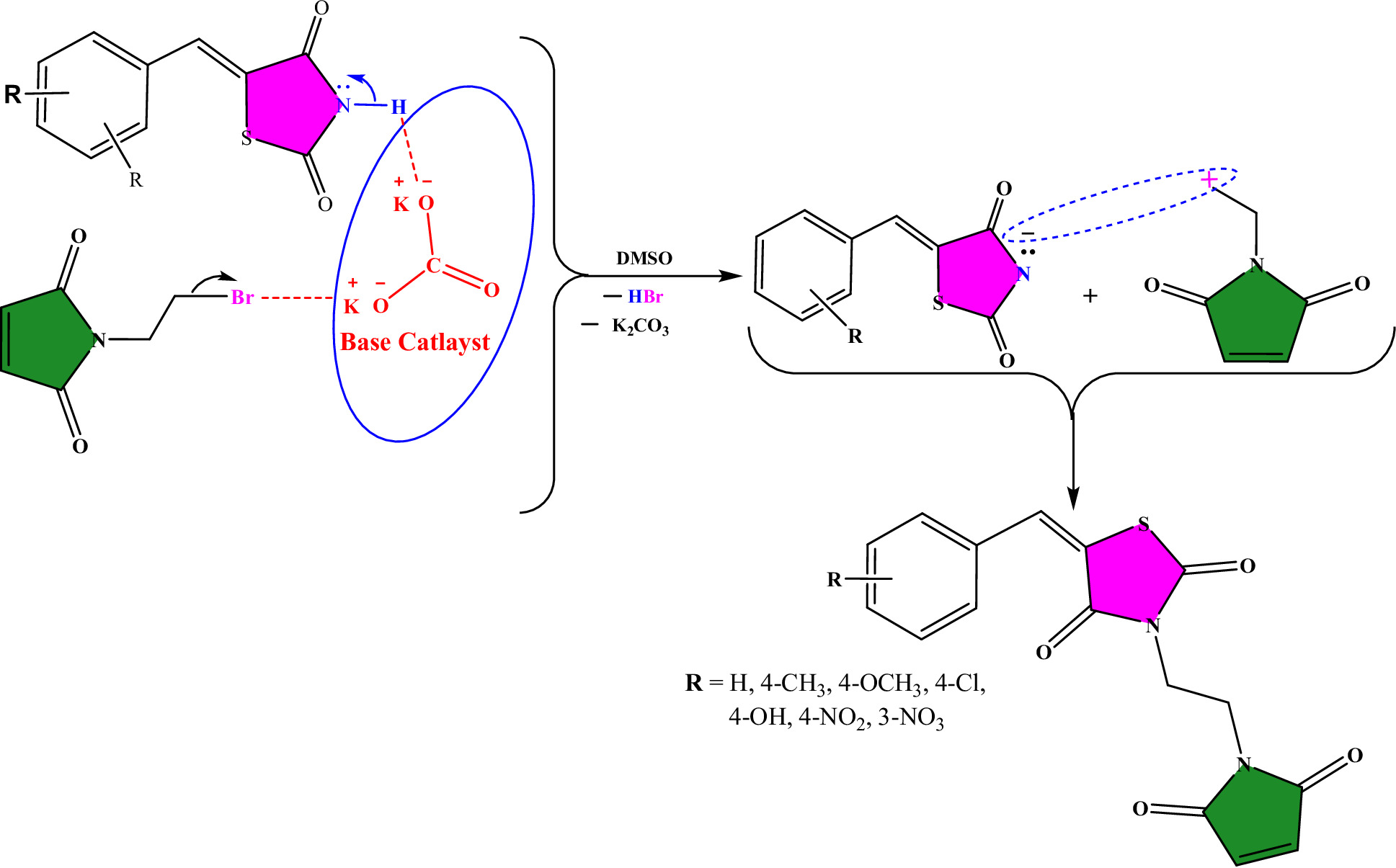
Scheme 3 | Scientific Reports