Abstract
A novel class of N-substituted thiazolidine-2,4-dione/pyrrole-2,5-dione moiety derivatives 3(a–g) was synthesized via C–N bond formation through SN2-mediated reaction, utilizing microwave-assisted synthesis to enhance reaction efficiency and product yield. This approach enabled the rapid and selective formation of the target compounds, which were evaluated for their in vitro antimicrobial activity against a variety of bacterial and fungal strains. The compounds demonstrated promising antibacterial and antifungal properties, with compound 3g showing the highest activity, producing significant inhibition zones against Gram-negative strains (E. coli and P. aeruginosa) as well as Gram-positive strains (S. aureus and B. subtilis). To further validate and refine the docking outcomes, molecular dynamics (MD) simulations were performed, providing detailed insights into the dynamic stability, conformational adaptability, hydrogen-bond persistence, and overall binding energetics of the most promising ligand–protein complexes. Density functional theory (DFT) calculations provided valuable insights into the electronic properties, stability, and reactivity of the compounds. The study successfully identified targeted compounds exhibiting significant antiviral/anti–SARS-CoV-2 potential using the pharmacophore POM model, highlighting their predicted ability to inhibit crucial viral proteins. The structures of the synthesized compounds were confirmed using a range of spectroscopic techniques, including FT IR, 1H NMR, 13C NMR, and mass spectrometry, ensuring the successful synthesis of the bioactive derivatives.
Introduction
The design and synthesis of novel heterocyclic compounds with bioactive potential have become an essential area of research in medicinal chemistry. Among these, thiazolidine-2,4-dione derivatives have gained significant attention due to their diverse pharmacological properties, including anti-inflammatory, antidiabetic, antimicrobial, antioxidant agents, and anticancer activities1,2,3. Molecular hybridization, one of the most efficient strategies in the drug design medicinal chemistry, is based on the combination of pharmacophoric moieties of different bioactive substances to produce a new hybrid compound with improved affinity and efficacy when compared to the parent drugs. The incorporation of heterocyclic moiety into the TZD scaffold has been shown to enhance the pharmacological profile of these compounds4.
The incorporation of heterocyclic motifs, such as pyrrole-2,5-dione into the TZD scaffold has been shown to enhance the pharmacological profile of these compounds. The derivatives of Pyrrole-2,5-dione is a bioactive heterocyclic structure that exhibits notable biological activities5,6,7,8, making it an attractive target for hybridization with TZD derivatives. These findings suggest that pyrrole-2,5-dione functionalization can serve as an effective strategy for enhancing the pharmacological properties of TZD derivatives, offering new possibilities for drug discovery. Structurally, pyrrole-2,5-dione contains two carbonyl groups, which can readily interact with nucleophilic centers in biological molecules, such as proteins and enzymes. The idea of combining heterocyclic moieties like pyrrole-2,5-dione with active heterocyclic derivatives is not entirely new9, but recent advances in synthetic methods have made it more feasible to design and synthesize such hybrid compounds in a more controlled and efficient manner. The fusion of TZD with pyrrole-2,5-dione offers the potential for creating novel compounds with improved efficacy and selectivity in therapeutic applications. The design and synthesis of such hybrid molecules, offer a promising avenue for the development of bioactive compounds with reduced ecological impact10.
Microwave-assisted synthesis is a powerful, efficient, and eco-friendly technique that has gained popularity in recent years for the rapid and efficient preparation of a variety of organic compounds11,12. This method offers several advantages over traditional heating techniques, including shorter reaction times, higher yields, and better control over reaction conditions13,14,15. Infectious viral diseases present a major global health challenge, particularly due to the ability of viruses to rapidly mutate and develop resistance to antiviral treatments. The emergence of drug-resistant viral strains complicates the treatment process, as these strains can become less responsive or entirely resistant to conventional antiviral medications. This accelerates the need for the development16,17,18. Microbial infections are a frequent concern in hospitals and healthcare environments around the world and have become a growing issue in public. Indeed, the discovery and production of novel antimicrobial mediators and different actions is still a big task for the scientific area. The integration of microwave-assisted techniques into drug development workflows can significantly accelerate the discovery process, enabling the rapid production of candidate molecules that may lead to new treatments for infectious diseases. This approach highlights the growing importance of innovative synthetic methods in addressing global health challenges19,20.
This study aims to design and synthesize a novel series of N-substituted thiazolidine-2,4-dione derivatives featuring the pyrrole-2,5-dione moiety through an SN2-mediated C-N bond formation strategy. The resulting compounds will be evaluated for their antibacterial activity, and their interactions with potential biological targets will be explored through docking studies. In addition, computational studies like Density Functional Theory (DFT) and Molecular docking calculations were conducted to gain insights into the electronic structure and stability of the compounds, while Petra, Osiris and Molinspiration (POM) will be employed to evaluate their potential for bioactivation. Molecular dynamics simulations reveal structural stability and key ligand–protein interactions. Through this multidisciplinary approach, we aim to discover novel bioactive molecules with improved pharmacological properties. However, the integration of the pyrrole-2,5-dione unit via microwave-assisted techniques remains relatively underexplored. This study aims to address this gap by presenting a new, efficient approach to the synthesis of substituted thiazolidine-2,4-dione derivatives bearing pyrrole-2,5-dione moieties, offering potential for the development of novel therapeutics.
Experimental section
All chemicals were purchased from Sigma Aldrich and Merck, and used without further purification. Elemental analysis (CHN) of the synthesized complexes was carried out with a Carlo Erba model-1106 elemental analyzer. The 1H and 13C NMR spectra were recorded using a Bruker instrument (1H at 500 MHz and 13C at 125 MHz) in DMSO-d6 solvent and TMS as internal standard. Chemical shifts are reported in ppm.Mass spectra were recorded on the Shimadzu GC-MS-QP-2010 model using the Direct Injection Probe technique.
General synthesis procedures Microwave-assist synthesis of N-substituted thiazolidine-2,4-dione derivative bearing pyrrole-2,5-dione moiety 3(a–g)
A mixture of substituted thiazolidine-2,4-dione 1 (0.21 g, 1 mmol), 1-(2-bromoethyl)-1 H-pyrrole-2,5-dione 2 (0.21 g,1 mmol) and K2CO3base catalyst (0.11 g, 0.9 mmol) were dissolved in DMSO (5 ml) solvent. Ten minutes after the complete dissolution, the reaction mixture was placed into a Teflon vessel and subjected to microwave irradiation for a given time at a power of 250 W and 130 °C for 8–14 min, after completion of the reaction as followed by TLC examination at an interval of 25 s using eluent petroleum ether: ethyl acetate (7:3 ratio). The reaction mixture was cooled to room temperature and poured into cold water, causing the precipitation of the product. The solid product was filtered under vacuum, washed with water, and subsequently recrystallized from 95% ethanol to yield the pure product in excellent yield (76–83%). The synthesized compounds were characterized using various spectroscopic techniques, including FT-IR, ¹H NMR, ¹³C NMR, and mass spectrometry, as presented in Figs. S1–S18.
Spectral data
(E)-5-benzylidene-3-(2-(2,5-dioxo-2,5-dihydro-1 H-pyrrol-1-yl)ethyl)thiazolidine-2,4-dione (3a; Table 1; Entry 1).
FT IR (KBr, ν cm–1): 3125 (Aromatic C–H str.), 2823 (Aliphatic C–H str.), 1683, 1614, 1597 (Carbonyl groups), 1588 (Phenyl C = C str.), 1230 (C–N str.), 788 (C–S str.); 1H NMR (500 MHz, DMSO–d6) δ ppm: δ 7.34–7.30 (m, 5 H, Ar–protons), 7.01(s, 1H, CH group), 6.99 (s, 1H, CH proton of pyrrole ring), 6.60 (s, 1H, CH proton of pyrrole ring), 3.74 & 3.72 (d, 2 H, CH2 group), 3.33 & 3.31 (d, 2 H, CH2 group). 13C NMR (125 MHz, DMSO–d6) δ ppm: δ 175.49, 174.58, 164.20, 132.83, 130.64, 130.06, 129.37, 128.84, 114.58, 44.21, 38.42. ESI-MS (m/z): 328[M+].
(E)-3-(2-(2,5-dioxo-2,5-dihydro-1 H-pyrrol-1-yl)ethyl)-5-(4-methylbenzylidene)thiazolidine-2,4-dione (3b; Table 1; Entry 2).
FT IR (KBr, ν cm–1): 3139 (Aromatic C–H str.), 3049 (Aliphatic C–H str.), 1699, 1680, 1608 (Carbonyl groups), 1492 (Phenyl C = C str.),1206 (C–N str.), 758 (C–S str.); 1H NMR (500 MHz, DMSO–d6) δ ppm: δ 7.38, 7.28, 7.26 & 7.25 (m, 4 H, Ar–protons), 6.45 (s, 1H, CH proton of pyrrole ring), 4.03 (s, 1H, CH proton of pyrrole ring), 4.01 (s, 3 H, CH group), 4.00, 3.41, 3.40, 3.39 & 3.38 (m, 4 H, CH2 group), 2.45 (s, 3 H, CH3 group). 13C NMR (125 MHz, DMSO–d6) δ ppm: δ 175.49, 174.59, 164.21, 132.83, 132.74, 130.64, 130.05, 129.37, 128.84, 114.58, 44.21, 38.42, 15.06. ESI-MS(m/z): 342[M+].
(E)-3-(2-(2,5-dioxo-2,5-dihydro-1 H-pyrrol-1-yl)ethyl)-5-(4methoxybenzylidene) thiazolidine − 2,4-dione (3c; Table 1; Entry 3).
FT IR (KBr, ν cm–1): 3169 (Aromatic C–H str.), 3077 (Aliphatic C–H str.), 1716, 1618, 1594 (Carbonyl groups), 1477 (Phenyl C = C str.), 1138 (C–N str.), 844 (C–S str.); 1H NMR (500 MHz, DMSO–d6) δ ppm: δ 7.19–7.01(m, 4 H, Ar–protons), 7.00(s, 1H, CH proton of pyrrole ring), 6.61(s, 1H, CH proton of pyrrole ring), 3.82 (s, 1H, 3 H, OCH3 group) 3.70 (s, 1H, CH group), 3.49 (s, 2 H, CH2 group), 3.37 (s, 2 H, CH2 group). 13C NMR (125 MHz, DMSO–d6) δ ppm: δ 175.49, 174.99, 174.59, 164.21, 161.63, 132.75, 130.83, 130.64, 125.85, 114.99, 114.33, 56.04, 44.21, 38.43. ESI-MS(m/z): 355[M+].
(E)-5-(4-chlorobenzylidene)-3-(2-(2,5-dioxo-2,5-dihydro-1 H-pyrrol-1-yl)ethyl)thiazolidine-2,4-dione (3d; Table 1; Entry 4).
FT IR (KBr, ν cm–1): 3204 (Aromatic C–H str.), 2921 (Aliphatic C–H str.), 1809, 1701, 1523 (Carbonyl groups), 1412 (Phenyl C = C str.), 1208 (C–N str.), 911 (C–S str.); 1H NMR (500 MHz, DMSO–d6) δ ppm: δ 7.34–7.33, 6.93 & 6.92 (m, 4 H, Ar–protons), 6.99(s, 1H, CH proton of pyrrole ring), 6.60 (s, 1H, CH proton of pyrrole ring), 4.10 (s, 1H, CH group), 3.40 & 3.37 (d, 2 H, CH2 group), 3.11 & 3.08 (d, 2 H, CH2 group). 13C NMR (125 MHz, DMSO–d6) δ ppm: δ 175.59, 175.59, 164.21, 158.85, 132.75, 132.75, 130.64, 130.33, 129.35, 114.59, 44.21, 38.43. ESI-MS(m/z): 362[M+].
(E)-3-(2-(2,5-dioxo-2,5-dihydro-1 H-pyrrol-1-yl)ethyl)-5-(4hydroxybenzylidene)thiazolidine-2,4-dione (3e; Table 1; Entry 5).
FT IR (KBr, ν cm–1): 3350 (O–H str.), 3198 (Aromatic C–H str.), 311 (Aliphatic C–H str.), 1821, 1712, 1609 (Carbonyl groups), 1511 (Phenyl C = C str.),1108 (C–N str.), 874 (C–S str.); 1H NMR (500 MHz, DMSO–d6) δ ppm: δ 7.21, 7.18, 7.17 & 7.00 (m, 4 H, Ar–protons), 6.98(s, 1H, CH proton of pyrrole ring), 6.60 (s, 1H, CH proton of pyrrole ring), 4.87 (s, 1H, OH group), 4.00, 3.91 (s, 1H, CH group), 3.35 & 3.33 (s, 2 H, CH2 group), 3.28 & 3.27 (s, 2 H, CH2 group). 13C NMR (125 MHz, DMSO–d6) δ ppm: δ 175.49, 174.59, 164.21, 158.85, 132.75, 130.64, 130.33, 129.35, 114.59, 44.21, 38.43. ESI-MS(m/z): 344[M+].
(E)-3-(2-(2,5-dioxo-2,5-dihydro-1 H-pyrrol-1-yl)ethyl)-5-(4-nitrobenzylidene)thiazolidine 2,4-dione (3f; Table 1; Entry 6).
FT IR (KBr, ν cm–1): 3210 (Aromatic C–H str.), 2905 (Aliphatic C–H str.), 1725, 1702, 1610 (Carbonyl groups), 1545 (NO2 group), 1475 (Phenyl C = C str.), 1231 (C–N str.), 815 (C–S str.); 1H NMR (500 MHz, DMSO–d6) δ ppm: 8.16 & 8.15 (d, 2 H, Ar–protons), 7.55 & 7.54 (d, 2 H, Ar–protons), 7.39 (s, 1H, CH proton of pyrrole ring), 6.61 (s, 1H, CH proton of pyrrole ring), 3.97 & 3.94 (s, 2 H, CH2 group), 3.31 (s, 1H, CH group), 3.21 & 3.17 (s, 2 H, CH2 group). 13C NMR (125 MHz, DMSO–d6) δ ppm: δ 175.49, 174.59, 164.21, 147.87, 132.75, 130.27, 124.73, 114.39, 44.21, 38.43. ESI-MS(m/z): 373[M+].
(E)-3-(2-(2,5-dioxo-2,5-dihydro-1 H-pyrrol-1-yl)ethyl)-5-(3-nitrobenzylidene)thiazolidine-2,4-dione (3g; Table 1; Entry 7).
FT IR (KBr, ν cm–1): 3134 (Aromatic C–H str.), 3056 (Aliphatic C–H str.), 1711, 1687, 1601 (Carbonyl groups), 1310 (NO2 group), 1478 (Phenyl C = C str.), 1209 (C–N str.), 905 (C–S str.); 1H NMR (500 MHz, DMSO–d6) δ ppm: δ 7.76, 7.72, 7.64 & 7.63 (m, 4 H, Ar–protons), 7.38 (s, 1H, CH proton of pyrrole ring), 6.60 (s, 1H, CH proton of pyrrole ring), 4.05 (s, 1H, CH group), 3.29 & 3.27 (s, 2 H, CH2 group), 3.05 (s, 2 H, CH2 group). 13C NMR (125 MHz, DMSO–d6) δ ppm: δ 175.49, 174.59, 164.21, 158.86, 132.75, 130.64, 130.33, 129.35, 114.59,44.21, 38.43. ESI-MS(m/z): 373[M+].
Theoretical studies
Density functional theory (DFT) computations were conducted using the Gaussian 09 software suite. The geometric optimization of the structures was performed using DFT methods with B3LYP/6-31G(d) basis set. The depiction of the highest occupied molecular orbital (HOMO) and the lowest unoccupied molecular orbital (LUMO), together with density calculations, was conducted utilizing the Gauss View program21.
In vitro antimicrobial assay
The bacterial and fungal strains used in the present study, namely Staphylococcus aureus (ATCC 25923), Escherichia coli (ATCC 25922), Pseudomonas aeruginosa (ATCC 27853), Bacillus subtilis (ATCC 6633), Candida albicans (ATCC 10231), and Aspergillus niger (ATCC 16404), were obtained from the Department of Microbiology, Vikram University, Ujjain, M.P., India. All microbial strains were maintained on their respective agar media at 4 °C and sub-cultured prior to experimental use to ensure viability and purity. The well-diffusion assay was used to evaluate the antimicrobial activity of the synthesized compounds 3(a–g) against selected bacterial and fungal strains. The wells were loaded with the test compounds at predetermined concentrations, and zones of inhibition were measured after incubation to assess antimicrobial efficacy. The antimicrobial activity of synthesized compounds were assessed by using several known concentrations (0.0625, 0.125, 0.25, 0.5, 1, 2, 4 and 6 mg/mL) against E. coli, P. aeruginosa, Staphylococcus aureus and B. subtilis bacterial strains, and C. albicans and A. niger fungal strains whereas ciprofloxacin and fluconazole were used as standard drugs for bacterial and fungal strains, respectively22.
Molecular docking studies
The binding affinities of the synthesized compounds 3(a–g) and the S. aureus nucleoside diphosphate kinase receptor (PDB ID: 3Q89) were assessed using molecular docking studies utilizing AutoDock Tools version 1.5.7. This receptor was chosen due to its essential function in bacterial energy metabolism, nucleotide homeostasis, and cellular viability. NDK is a crucial enzyme in the formation of nucleoside triphosphates and has been identified as a potential antibacterial drug target. Furthermore, as the synthesised compounds were assessed for antimicrobial efficacy and S. aureus was among the pathogenic strains tested, the choice of the S. aureus NDK receptor offers significant biological relevance and facilitates a substantial correlation between the in silico docking outcomes and the experimental antimicrobial results.
Preparation of the protein
The crystal structure of S. aureus nucleoside diphosphate kinase receptor (https://www.rcsb.org/pdb). Previous to docking, receptor and ligand files were generated using AutoDock Tools. All the heteroatoms and crystallographic water molecules had been removed from the receptor, subsequently followed by the incorporation of polar hydrogen atoms and Kollman charges. Each ligand was assigned rotatable bonds, permitting complete structural flexibility.
Preparation of the ligand
The molecular structures of the complexes were sketched in ChemDraw and saved in .mol format and thereafter transformed into .pdb format via OpenBabel and after that with the help of Auto Dock tools, the ligands were saved into PDBQT format.
Grid generation
The receptor grid box was delineated with 60 points per dimension (60 × 60 × 60 in x, y, and z) with a grid spacing of 0.372 Å that encompassed the complete active site region.
Docking simulations
Docking simulations were conducted with the Lamarckian Genetic Algorithm (LGA) as implemented in AutoDock, with all other parameters kept at their default settings. The docked conformations were visualized using Discovery Studio Client, revealing substantial hydrogen bonding, π-bonding, and hydrophobic interactions using 2D and 3D structural analysis23,24.
To validate the docking protocol, three independent re-docking experiments were performed for each compound under identical parameters. The obtained binding energies were expressed as mean ± standard deviation, to evaluate the reproducibility and reliability of the docking results.
Molecular dynamics (MD)
Molecular Dynamics (MD) simulation is a computational technique that models the time-dependent behavior of atoms within proteins or other molecular systems using detailed, physics-based force fields25. In this study, MD simulations were employed to evaluate the stability of the protein-ligand complexes for compounds 3(a–g). Simulations were performed on a Tyrone workstation running Ubuntu 22.04 LTS, equipped with 160 GB of HDD storage and a 12 GB NVIDIA graphics card. Prior to simulation, protein complexes were pre-processed using the Prime module to resolve structural issues by adding hydrogen atoms and assigning the bond orders, which was done by using the Optimized Potentials for Liquid Simulations 2005 (OPLS 2005) force field. System setup was completed using the System Builder wizard, employing the Transferable Intermolecular Potential 3-Point (TIP3P) solvent model while maintaining a temperature of 310.15 K, with water molecules more than 5 Å from the protein excluded, and the OPLS2005 force field. The Epik module facilitated the generation of a heteroatomic state at pH 7.0 ± 2.026,27,28. A cubic simulation box of 10 × 10 × 10 Å dimensions was created, and the appropriate number of ions for system neutralization and a salt concentration of 0.15 M were added. The complex, including solvent and ions, underwent a 100 ps energy minimization step, followed by a 100 ns MD simulation in an isothermal-isobaric (NPT) ensemble at a pressure of 1.01 bar, maintaining a constant number of particles and the simulation interactions were then analysed.
Petra, Osiris, and molinspiration (POM)
To analyze the pharmacokinetic and druglikeness attributes of the synthesized compounds 3(a–g) the established in silico methods such as PETRA, Osiris, and Molinspiration were utilized29,30,31.
Results and discussion
Chemistry
A series of N-substituted thiazolidine-2,4-dione derivatives bearing a pyrrole-2,5-dione moiety were successfully synthesized via SN2-mediated C–N bond formation strategy using microwave-assisted pathways. The reaction involved the condensation of substituted thiazolidine-2,4-dione (1) with 1-(2-bromoethyl)-1 H-pyrrole-2,5-dione (2) in the presence of K2CO3 as a base catalyst in DMSO solvent. The use of microwave irradiation at a temperature of 130 °C and a power of 250 W allowed the reaction to proceed efficiently, yielding the desired compounds 3(a–g) in excellent yields (76–83%). The optimized reaction conditions, including the use of microwave irradiation, proved to be crucial for achieving high yields and reducing reaction times. The reaction was carried out under a controlled time range of 8 to 14 min, with complete dissolution of the reactants in DMSO prior to the introduction of microwave irradiation Scheme 1. Thin-layer chromatography (TLC) was employed to monitor the reaction progress, showing clear evidence of product formation within the given time frame, with full conversion observed after 14 min. After completion of the reaction, the mixture was cooled to room temperature and poured into cold water, leading to the precipitation of the crude product. The solid product was purified by vacuum filtration, followed by washing with water to remove any residual salts or impurities. Recrystallization from 95% ethanol further purified the products, ensuring high purity and providing the desired thiazolidine-2,4-dione derivatives in excellent yields Table 1.
The structures of the synthesized compounds 3(a–g) were confirmed by various spectroscopic techniques, including FT-IR, 1H NMR, 13C NMR, and ESI-MS spectroscopy, which confirmed the structures of the synthesized compounds. The key structural features, such as the thiazolidine-2,4-dione core, pyrrole-2,5-dione moiety, and the benzylidene substituents, were clearly identifiable in the spectroscopic data.
The FT-IR spectra revealed key functional groups: a broad O–H stretch at 3350 cm–1, carbonyl stretches between 1614 and 1821 cm–1, and NO2 stretch at 1310–1545 cm–1. The proton NMR spectra showed significant peaks at δ 7.19–7.64 for aromatic protons, while the carbon NMR spectra confirmed the positions of the carbonyl carbons and other substituents. The molecular ion peaks in the mass spectra corresponded to the expected molecular weights for each compound, confirming their identities and structural features. These results collectively demonstrate the successful synthesis and structural elucidation of N-substituted thiazolidine-2,4-dione derivatives with pyrrole-2,5-dione moieties. Spectroscopic data confirmed the presence of key functional groups and the expected structural features, providing a solid foundation for further investigation into their biological activity and pharmacological potential.
Microwave-assisted syntheses of novel N-substituted Thiazolidine-2,4-dione derivatives bearing pyrrole-2,5-dione moiety.
A comparative solvent screening was performed for the microwave-assisted synthesis of model compound 3a using K₂CO₃ as a base catalyst. Four polar aprotic solvents (DMSO, DMF, NMP, and acetonitrile) were evaluated under microwave irradiation at 130 °C. Among them, DMSO provided the highest efficiency, affording compound 4a in 82% yield within 10 min. In contrast, the other solvents required longer reaction times and exhibited lower conversions, with DMF delivering 75% in 15 min, NMP affording 70% in 30 min, and acetonitrile yielding 63% in 21 min. These findings confirm that DMSO is the most suitable solvent for this SN2-mediated C–N bond formation under microwave conditions due to its high polarity and excellent microwave absorption characteristics (Table 2; Scheme 2).
Model reaction 3a under microwave irradiation using different solvents.
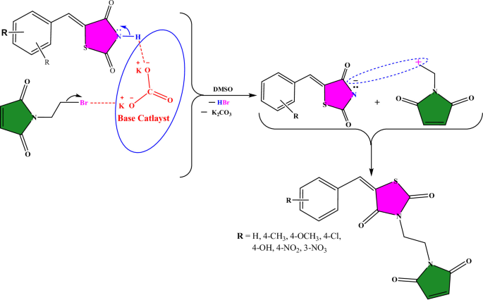
A reasonable proposed mechanism for the formation of targeted products is outlined in Scheme 3. One of the most effective and widely used methods for forming carbon-nitrogen (C–N) bonds is the SN2 mechanism, which enables the efficient substitution of a leaving group by a nucleophile. The SN2-mediated approach offers a versatile and straightforward strategy for introducing various substituents onto the thiazolidine-2,4-dione scaffold, facilitating the synthesis of a diverse range of novel derivatives 3(a–g). The reagent 1-(2-bromoethyl)-1 H-pyrrole-2,5-dione features a bromine atom attached to a terminal carbon in the 2-bromoethyl group. This carbon is electrophilic, owing to the electron-withdrawing effects of both the bromine and the imide group in the pyrrole-2,5-dione ring. In this reaction, a nucleophilic nitrogen atom from the thiazolidine ring attacks the electrophilic carbon in the 2-bromoethyl group of the pyrrole-2,5-dione. The nucleophilic attack displaces the bromine atom via the SN2 mechanism, resulting in the formation of a new C–N bond between the thiazolidine ring and the 2-(pyrrole-2,5-dione)ethyl group. The final product is an N-substituted thiazolidine-2,4-dione derivative incorporating the pyrrole-2,5-dione moiety.
To enhance the nucleophilicity of the thiazolidine ring, potassium carbonate (K2CO3) is used as a base to deprotonate the nitrogen. Additionally, polar aprotic solvents such as DMSO are employed to stabilize the transition state during the SN2 reaction, thereby promoting the overall reaction efficiency. The chemical structures of the N-substituted thiazolidine-2,4-dione derivatives incorporating the pyrrole-2,5-dione moiety 3(a–g) are depicted in Fig. 1.
Proposed mechanism of thiazolidine-2,4-dione derivative bearing pyrrole-2,5-dione moiety 3(a–g).
The chemical structures of thiazolidine-2,4-dione derivative bearing pyrrole-2,5-dione moiety 3(a–g).
Theoretical studies
Geometrical optimization
Density Functional Theory (DFT) has become a potent computational method in contemporary drug design for elucidating the electronic, structural, and reactive properties of bioactive compounds. Geometrical optimization by DFT enables precise identification of the most stable molecular conformations, which enables the predictions of reactivity, binding affinity, and structure–activity relationships. Recent studies indicate that DFT-derived metrics, including the HOMO–LUMO energy gap, electronegativity, chemical hardness, softness, and dipole moment, have a substantial correlation with biological activity and molecular interaction patterns in protein active sites32,33,34. Advanced hybrid functionals B3LYP together with extensive basis sets (6-311 + + G(d, p)), are commonly employed to acessing precise electronic and geometrical characterizations of drug-like compounds35,36. In drug discovery, DFT calculations aid in identifying potential pharmacophores, predicting reactive sites for electrophilic and nucleophilic attacks through Molecular Electrostatic Potential (MEP) mapping, and assessing intra- and intermolecular charge transfer mechanisms. Consequently, DFT-based geometric optimization is essential for merging quantum chemical insights with in silico modeling, aiding in the rational design and enhancement of new therapeutic medicines with increased efficacy and selectivity. All the thiazolidine-2,4-dione derivative bearing pyrrole-2,5-dione moiety 3(a–g) were optimized to access the HOMO–LUMO energy gap, electronegativity, chemical hardness, softness, and dipole moment, Mullikin Charge analysis, MEP and bond order. The optimized structure representing the atomic number of the individual atoms and the bond length are presented in Figs. 2 and S19, respectively.
Optimized structure of thiazolidine-2,4-dione derivative bearing pyrrole-2,5-dione moiety 3(a–g).
Mullikin charge analysis
Mulliken atomic charge distribution for the optimized geometries of compounds 3(a–g) was estimated to understand the electronic distribution throughout the molecule structure and to identify the probable reactive sites influencing biological activity. Fig. S20 illustrates notable fluctuations in Mullikin charge density among heteroatoms and conjugated systems, indicating the impact of various substituents on electron delocalization. The nitrogen and oxygen atoms demonstrated significant negative charge accumulation, suggesting their potential participation in hydrogen bonding and coordination interactions with biomolecular targets, whereas the sulfur atom possessed a distinct positive charge across all derivatives, affirming its electrophilic nature and likely involvement in enzyme active-site interactions. The substituents on the aromatic rings, methyl (electron-donating), methoxy (moderately donating), chloro (electron-withdrawing), carbonyl, and nitro groups, substantially altered the charge distribution patterns, thus affecting molecular reactivity and the electrical environment. In compounds 3(a–g), the presence of potent electron-withdrawing groups, specifically carbonyl and nitro functionalities, resulted in significant charge separation. The carbonyl and nitro oxygens, along with the ring nitrogen, acted as primary hydrogen-bond acceptors, whereas the carbonyl and activated aromatic carbons were recognized as critical electrophilic centers vulnerable to covalent modification or metabolic transformation. Among the studied compounds, the chloro-substituted molecule 3d had the most pronounced polarization effect, potentially augmenting its interaction capacity via dipole-induced stability at the receptor site. These results indicate that the electronic charge distribution predicted by Mulliken population analysis closely correlates with the electronic characteristics of the substituents and significantly influences the binding affinity, reactivity, and biological activity of the examined derivatives.
Molecular electrostatic potential
The molecular electrostatic potential (MEP) maps of compounds 3(a–g) depict the electron density distribution and emphasize the reactive areas of the molecules (Fig. 3). The regions of negative potential (red) are predominantly situated around the carbonyl and nitro oxygens, as well as the nitrogen atoms in the ring, signifying prospective sites for electrophilic assault and hydrogen-bond acceptance. In contrast, the regions of positive potential (blue) are localized around the carbonyl carbons and N–H hydrogens, indicating their vulnerability to nucleophilic attack. The compounds 3(d–g) containing electron-withdrawing substituents such Cl, NO2, or CO demonstrate more significant negative potential regions adjacent to the substituted aromatic rings, indicating increased molecular polarity and charge separation. Conversely, compounds 3a and 3b have rather homogeneous potential distributions with diminished polarity. The sulfur atom in the thioamide has a slight positive potential, but neighboring heteroatoms show negative potential, signifying partial electron delocalization throughout the heterocyclic structure. The MEP results align with Mulliken charge analysis, affirming that electron-rich sites (O and N atoms) and electron-deficient centers (C = O and N–H areas) govern the reactivity of these derivatives. This polarization is essential in determining their chemical reactivity, hydrogen-bonding capacity, and interactions with biological targets37.
MEP diagram of thiazolidine-2,4-dione derivative bearing pyrrole-2,5-dione moiety 3(a–g).
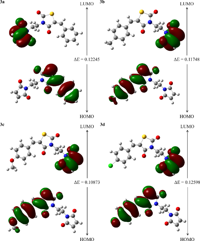
The frontier molecular orbitals (FMOs)
FMOs specifically the highest occupied molecular orbital (HOMO) and lowest unoccupied molecular orbital (LUMO), of compounds 3(a–g) were examined to elucidate their electronic characteristics and potential reactivity (Fig. 4). The spatial arrangement of HOMO and LUMO elucidates charge transfer within the molecule structure and also aids in underlining the areas of electrophilic and nucleophilic reactivity. The HOMO orbitals in all derivatives are predominantly localized on the aromatic and heterocyclic cores, signifying their function as electron-donating regions, whilst the LUMO orbitals are located on the carbonyl, nitro, and thioamide groups, designating them as electron-accepting sites. This distribution indicates intramolecular charge transfer from the heterocyclic ring to electron-withdrawing substituents.
The quantum chemical characteristics for compounds compounds 3(a–g), determined via DFT methods, are presented in Table 3. The HOMO–LUMO energy gap (ΔE) values varied from 0.1087 to 0.1266 eV, signifying that all compounds exhibit moderate chemical reactivity and kinetic stability, with compound 3c displaying the lowest ΔE (0.1087 eV), implying enhanced reactivity and possible biological activity. The EHOMO values, indicative of electron-donating capacity, were found highest for the compound 3c (− 0.228 eV), suggesting its pronounced nucleophilic nature and probable engagement with electrophilic sites at the receptor. In contrast, the ELUMO energy values were observed lowest for 3f and 3g (− 0.138 eV), indicating their highiest ability to receive electrons, potentially promoting π–π* or charge-transfer interactions during binding. The ionization potential (IP) and electron affinity (EA) values exhibited analogous trends, indicating that minor substituent effects influence frontier orbital energetics. The chemical hardness (η) and softness (S) characteristics indicate the stability-reactivity balance, with 3c demonstrating the lowest η (0.054 eV) and highest S (9.197), signifying optimal chemical softness and reactivity. The electronegativity (χ) values ranged from 0.151 to 0.201 eV, indicating similar electronic characteristics throughout the series, while the electrophilicity index (ω) varied from 0.270 to 0.320, with 3f and 3g exhibiting the highest ω values, implying a pronounced electrophilic nature and significant binding affinity. Furthermore, the nucleophilicity (ω−) and electrophilicity (ω+) indices demonstrated that compounds 3c and, 3f and 3g have a balanced donor–acceptor ability crucial for biological interactions. These findings indicate that electron-withdrawing substituents (chloro, nitro, carbonyl) augment electrophilic character and binding potential, while electron-donating groups (methyl, methoxy) enhance charge delocalization and softness, thus influencing reactivity and potential biological efficacy.
Frontier molecular orbitals of thiazolidine-2,4-dione derivative bearing pyrrole-2,5-dione moiety 3(a–g).
The FMO observations demonstrate that electronic transitions occur from aromatic donor motifs to carbonyl/nitro acceptor sites, aligning with the Mulliken charge and MEP analyses, which suggest that these electronic properties affect both reactivity and biological binding potential.
Biological studies
Antimicrobial and antifungal activity results
The synthesized compounds 3(a-g) were screened for their antimicrobial activities against two Gram-positive bacteria (Staphylococcus aureus and Bacillus subtilis), two Gram-negative bacteria (Escherichia coli and Pseudomonas aeruginosa), and two fungal strains (Candida albicans and Aspergillus niger). Ciprofloxacin and fluconazole were used as standard drugs for bacterial and fungal strains, respectively. The promising antimicrobial results of targeted derivatives highlight their potential as lead molecules for further development. The antimicrobial activities of the synthesized compounds were assessed using the disc diffusion method. Zones of inhibition (in mm) were measured for each compound, and the results are summarized in the Table 4. The zone of inhibition refers to the clear area surrounding an antimicrobial compound where microbial growth is inhibited, and it is used as an indicator of the effectiveness of the tested compound.
All compounds exhibited significant antibacterial activity, with increasing zones of inhibition as the compound number increased. Compounds 3g and 3f showed the largest zones of inhibition against both Gram-negative and Gram-positive bacteria, with compound 3g demonstrating the highest activity, producing inhibition zones of against Gram-negative strains of E. coli and P. aeruginosa, and Gram-positive strains of S. aureus and B. subtilis, respectively. These results suggest that compound 3g is particularly effective against both Gram-negative and Gram-positive bacteria, potentially due to its optimal molecular size, lipophilicity, and functional group interactions, which enhance its ability to penetrate bacterial cell membranes and interact with intracellular targets. The targeted compounds also demonstrated activity against the fungal species C. albicans and A. niger, with a general trend of increasing inhibition zones as the compound number increased. Compound 3g showed the most significant antifungal activity, against C. albicans and A. niger. This indicates that the compound 3g is also effective in inhibiting fungal growth, possibly due to its ability to interact with fungal cell wall components or disrupt fungal membrane integrity. The standard compounds, which are likely well-established antimicrobial and antifungal agents, showed larger inhibition zones overall, but the experimental compounds, 3f and 3g demonstrated similar levels of activity, suggesting that these compounds are promising candidates for further development as broad-spectrum antimicrobial and antifungal agents.
The gradual increase in antimicrobial activity observed with compounds 3(a–g) suggests that these compounds may have potential as broad-spectrum antimicrobial agents. The increasing activity against both bacterial and fungal pathogens warrant further investigation into their mechanism of action and optimization for clinical or agricultural use. The compounds may serve as candidates for the development of new antimicrobial treatments, particularly in the face of growing antibiotic resistance. Their dual activity against bacteria and fungi may be especially beneficial in treating mixed infections. The results highlight the potential of the synthesized derivatives 3(a–g) as antimicrobial agents. Future studies will focus on optimizing the molecular structure and exploring the mechanism of action to enhance their therapeutic applications.
Molecular docking studies
Molecular docking studies were performed to assess the binding affinity and interaction profile of the synthesized pyrimido[4,5-b]quinoline derivatives 3(a–g) with the target receptor (Fig. 5). The calculated binding free energies varied from − 7.34 to − 9.55 kcal/mol (Table 5 and S1), signifying favourable ligand–protein interactions across the series. Compound 3a demonstrated the highest binding affinity (–9.55 kcal/mol), followed by 3b (–9.34 kcal/mol) and then 3e (–9.25 kcal/mol), indicating that the substitution pattern in these compounds enhances interactions inside the active site.
Compounds 3c and, 3f and 3g exhibited comparatively less binding affinities (–7.91 and − 7.34 kcal/mol, respectively). The pattern in docking scores aligns with the electronic properties reported in the FMO and MEP investigations, indicating that derivatives with electron-withdrawing substituents exhibited increased charge separation and a greater affinity for polar contacts with essential amino acid residues. The docking results indicate that structural alterations to the pyrimido[4,5-b]quinoline framework markedly affect binding affinity and orientation within the active site, underscoring the impact of electronic distribution and substituent effects on biological activity.
The docking results were validated with three independent re-docking experiments and docking results showed high reproducibility, with low standard deviation values across independent runs. Compounds 3a and 3e displayed the most favorable and consistent binding energies, confirming the reliability of the docking protocol and the stability of their predicted binding conformations.
The docking scores of the ligands were expressed as mean ± standard deviation (kcal/mol) calculated from three independent docking runs.
Molecular docking poses of the thiazolidine-2,4-dione derivative bearing pyrrole-2,5-dione moiety 3(a–g) with S. aureus nucleoside diphosphate kinase receptor (PDB ID: 3Q89).
Molecular dynamic simulations
Root mean square deviation (RMSD)
In molecular dynamics, Root Mean Square Deviation is used to track how much a protein deviates from its reference structure during the simulation. Figure 6a and b show the Protein and Ligand RMSD profiles, respectively, for all seven protein-ligand complexes to check the time-dependent conformational stability and ligand binding throughout the simulation. During the initial 10 ns, compound 3a displayed a rapid increase for both protein and ligand RMSD (Fig. 6a and b). The protein RMSD was stabilized at 14–18 Å, and that of ligand RMSD remained comparatively in a lower range (7–10 Å). The graph shows frequent spikes that lead to higher values of RMSD, which indicates protein backbone flexibility and unfolding. Despite overall plateauing, the magnitude of deviations implies caution regarding conformational integrity and stable binding. After looking at the protein RMSD plot for 3b (Figs. 6a), we observed a sharp increment in RMSD to ~ 9 Å within the first 15 ns. Afterwards, it started stabilizing around 8–9 Å, indicating that the system is reaching equilibrium with less flexibility. The ligand RMSD of compound 3b (Fig. 6b) remained very low (2–3 Å) with negligible fluctuations, suggesting a high stability, and it ensures that the ligand pose was well anchored throughout the simulation. The protein complex with compound 3c exhibited RMSD above 35 Å in the first 10ns, after which the value plateaued at an abnormally high range (32–34 Å) (Figs. 6a). The ligand RMSD initially jumped to 13 Å and then remained in the range of 11–14 Å (Fig. 6b). This shows that the protein might be unfolding, poorly aligned, or extremely flexible. Even though there are no more big changes after the first jump. For compound 3d, the protein RMSD suddenly reached 7–9 Å and sustained the conformational flexibility (Figs. 6a). The ligand RMSD is within 3–4.5 Å, indicating consistent interaction with the binding pocket residues (Fig. 6b).
(a) Protein Root Mean Square Deviation (RMSD) plot; (b) Ligand Root Mean Square Deviation (RMSD) plot of the protein in complex with the thiazolidine-2,4-dione derivative bearing pyrrole-2,5-dione moiety 3(a–g).
There are negligible fluctuations, and the RMSD is relatively low, which tells that the complex is stable with strong ligand binding. The ligand RMSD for compound 4d was found to be 2–3 Å up to 70 ns; after 75 ns, it surged beyond 10 Å. This suggests that the ligand must have lost contact with the protein. The protein RMSD increased up to ~ 9 Å within 10 ns and then stabilized between 7 and 8 Å. For compound 3f, both the ligand and protein RMSDs rapidly increase and then display fluctuation; the protein RMSD was nearly 30 Å (Figs. 6a), and the ligand RMSD was found to correlate with these fluctuations (Fig. 6b). The complex reaches a plateau after 50 ns at high RMSD values, which indicates that the complex must have reached an equilibrium stage with considerable deviations from the starting conformation. The protein RMSD of compound 3g showed stability at 7–8 Å after initial adjustments, without any much fluctuations (Figs. 6a). The ligand RMSD started low at 1.5 Å and stayed in the range of 3–5 Å, showing that it stayed firmly in place (Fig. 6b). There were no unusual fluctuations or sudden changes later on for either the protein or the ligand, which means the structure was stable and the complex remained in good shape throughout the simulation.
Among all the compounds, 3b, 3d, and 3g demonstrate the most favourable and reliable RMSD profiles. They displayed moderate, plateaued protein RMSD (typically 7–9 Å) with consistent protein flexibility. These compounds have comparatively less ligand RMSD values of 2–5 Å and showed little to no evidence of dissociation or unbinding. Also, there were no significant fluctuations after initial equilibration.
Compounds 3a, 3c, 3e, and 3f showed critical problems during simulation. In some cases, the protein moved too much, ligand escaped from the binding pocket. This shows that the protein-ligand complex is unstable. Of all analyzed complexes, compound 3g stands out as the optimal candidate. It exhibited protein and ligand RMSD of 7–8 Å and 3–5 Å, respectively, with minimal deviations and negligible evidence of escaping out of the binding pocket, indicating strong binding affinity with the protein amino acids. Compounds 3b and 3d were also stable, but compound 3g had a better stability profile, and there were no fluctuations.
Root mean square fluctuation (RMSF)
RMSF is used to quantify the flexibility or mobility of each atom or residue present in a molecule (protein) over the course of the simulation. RMSF usually measures how much each residue or atom fluctuates from its reference position during dynamics. The RMSF plot of the protein in complex with compound 3a shows that residues between 200 and 850 remained rigid, and the fluctuation values are between 2 and 7 Å with only intermittent peaks (Fig. 7). The residues near 900–1020 have the RMSF value above 20 Å, which indicates the flexibility and unstructured segments. The protein-compound 3b complex shows a stable trajectory with RMSF values between 1 and 4.5 Å. A residue at 630 shows the highest fluctuation over 9 Å, which indicates improper orientation in the region. In the case of the compound 3c-protein complex, the RMSF plot indicates higher fluctuations, especially in the residue region from 4 to 12 Å. The pattern of alternating peaks and valleys highlights structured and unstructured zones with the most significant peak appearing after residue 900 (exceeding 32 Å). Protein in complex with compound 3d shows that most of the residues in this complex are fluctuating between 1 and 6 Å, indicating overall stability. It is noted that the peaks are scattering after 900 residues over 10 Å, which points out the flexible loops. For protein-compound 3e complex, the RMSF plot shows less change in the mobility, which is 1-4.5 Å with fluctuations spiking beyond 4.5 and up to 10 Å near residue 600 and after 900. These fluctuations denote unstructured terminal regions, but the overall residue flexibility is modest. The protein-compound 3f complex stands out due to the highest fluctuations > 48 Å around residues 850–950, exceeding the fluctuation range of other complexes. The rest of the protein is stable, i.e., the RMSF value is low, but this particular region showed dynamic spikes. After this, a secondary region showed fluctuations between 1000 and 1100 residues. Thus, this complex directly tells of the instability. The last complex (protein-3g) has the least fluctuations, ranging from 1 to 3 Å, with regular, narrow spikes ranging from 5 to 7 Å, which signal the stable protein backbone. This complex has the least fluctuations compared to compounds 3a, 3c and 3f.
Protein Root Mean Square Fluctuation (RMSF) plot of protein in complex with the thiazolidine-2,4-dione derivative bearing pyrrole-2,5-dione moiety 3(a–g).
Thus, we conclude that based on the protein RMSF plot, compounds 3b, 3d, 3e, and 3g have the lowest RMSF throughout the simulations. Among these, only the compound 3g showed the uniform RMSF profiles with minimal fluctuations, indicating the proper order of the protein when it is in complex with compound 3g.
Hydrogen bond contacts
From the hydrogen bond plot (Fig. S21), we observe that compounds 3a and 3c exhibit very less hydrogen bond counts throughout the trajectory, indicating weak and transient interactions. In the case of complex 3b, moderate hydrogen bonding is observed with fluctuations, indicating a less stable binding. While complexes 3d and 3e showed relatively higher H-bond contacts, especially at the end of the simulation, between 80 and 100 ns, with little fluctuation. In contrast, complexes 3f and 3g consistently maintain higher hydrogen bond contacts throughout the simulation. Complex 3f exhibited sustained and stable H-bond interactions with minimal fluctuations, indicating strong binding stability. Balanced and continuous hydrogen bond interactions are evident in complex 3f. Thus, out of the seven complexes studied, 3f and 3g exhibited persistent hydrogen bonding and negligible fluctuations, indicating better structural accommodation within the binding site. Thus, complexes 3f and 3g were found to be the most stable and favorable complexes based on the hydrogen bond plot obtained from the MD simulation.
Conformational analysis of complexes using time-frame analysis
To investigate the ligand conformational behavior during the molecular dynamics simulation, time-frame analysis was performed at 0, 20, 40, 60, 80, and 100 ns for the seven complexes (Fig. S22). In complex 3a, the ligand largely preserved its initial conformation throughout the simulation, with only minor deviations; however, a pronounced conformational change was observed at 40 ns, where the ligand temporarily lost contact with key amino acid residues before re-stabilizing and remaining stable until 100 ns. Complex 3b showed significant conformational fluctuations between 40 and 80 ns, although ligand–residue interactions were largely maintained, followed by improved stability towards the end of the simulation. In the case of complex 3d, the ligand adopted an unstable pose during the early phase (up to 20 ns) but subsequently achieved a stable conformation that persisted until 100 ns. Among all complexes, complexes 3c, 3e, and 3f displayed the highest degree of conformational instability, suggesting continuous ligand reorientation in search of a stable binding mode. Notably, complex 3g demonstrated consistent conformational stability throughout the simulation, showing minimal deviation from its initial pose. Overall, the comparative time-frame analysis highlights that complex 3g as the most stable complex, exhibiting superior conformational integrity relative to complexes 3(a–f).
Petra, Osiris and molinspiration (POM) studies
The POM analysis provides a holistic, multidimensional profile of a molecule, enabling researchers to make more informed decisions about which compounds have the greatest potential for success. By combining these different aspects, POM helps prioritize compounds that not only show promise in terms of biological activity but also possess favorable physicochemical properties that are crucial for oral bioavailability, metabolic stability, and minimal toxicity. A key advantage of the POM analysis is its ability to identify multiple pharmacophore sites Fig. S23, that contribute to a molecule’s biological activity38,39,40,41,42,43. This makes it a powerful tool in the early stages of drug discovery, where the identification of potential lead compounds is critical. Furthermore, by assessing drug-likeness, bioactivity, and pharmacokinetics together, POM offers a more comprehensive view of a compound’s overall drug potential.
This introduction sets the stage for understanding how the POM analysis framework is utilized in modern drug discovery, focusing on its ability to evaluate the structural, physicochemical, and biological characteristics of small molecules to guide the selection of promising drug candidates.
Petra calculations
PETRA calculations evaluated the electronic, steric, and physicochemical parameters of the synthesized targeted derivatives, highlighting key charge distributions, bond polarity, and substituent effects. These descriptors, supported predicted biological activity, and helped assess drug-likeness and potential toxicity of the designed compounds. It evaluates a molecule’s potential for chemical reactivity and its ability to interact with biological systems in ways that could lead to adverse effects or toxicity. These calculations are crucial for identifying compounds with undesirable properties early in the drug development process, helping to minimize the risk of late-stage failures due to toxicity. All approaches are scientific and have been established during the past two decades by Prof. J. Gasteiger’s research group44. It is used to compute electronic, steric, and hydrophobic parameters, typically to study and predict molecular interactions and reactivity. The synthesized derivatives 3(a–g) have been utilised as models to study their efficacy for antibacterial activities, as shown in (Fig. S24).
Osiris calculations
The OSIRIS Property Explorer is a powerful tool used in drug discovery to predict the toxicity, drug-likeness, and pharmacokinetics of chemical compounds based on their molecular properties45. It evaluates several critical factors, such as mutagenicity, tumorigenicity, irritancy, and reproductive effects, to assess potential safety risks. Additionally, the OSIRIS tool analyzes drug-likeness through parameters like logP (lipophilicity), solubility, molecular weight, and the ability of compounds to cross the blood-brain barrier, all of which influence a molecule’s pharmacokinetic properties. This tool is widely utilized in drug discovery to identify compounds with favorable safety and pharmacological profiles early in the drug development process. By predicting potential toxicity and evaluating drug-likeness, OSIRIS helps screen out compounds that may have poor pharmacokinetic properties or are likely to cause adverse effects, thus saving time and resources.
A hypothesis suggests that variations in charges between distal bands of a dipolar pharmacophore site (Xδ---Yδ+) could enhance the ability of compounds to inhibit bacteria, potentially more effectively than viruses. To test this hypothesis, the OSIRIS program was used to estimate the toxicity of synthesized derivatives 3(a–g). The results indicated that these novel hybrid derivatives exhibited a reduced occurrence of adverse effects, suggesting their potential as safer, more effective candidates in antibacterial drug development (Table 6).
Molinspiration calculations
The physico-chemical properties of compounds 3(a–g) suggest a set of molecules that are likely to possess favorable drug-like characteristics. The molecular weight, polar surface area, number of violations, and rotatable bonds all suggest that these compounds adhere to key guidelines for pharmacological efficacy46. The variation in these properties (e.g., TPSA, rotatable bonds) allows how these molecules may interact with biological systems, specifically compounds with higher TPSA may have increased hydrophilic interactions. The volume and molecular flexibility also suggest these compounds may balance between efficient membrane penetration and specific target interactions. Overall, these data provide valuable insights into the structural properties that influence the pharmacological potential of these compounds, supporting their further development in drug design or other applications Tables S2 and S3.
Identification of antiviral/anti–SARS-CoV-2 potential
Pharmacophore modeling conducted using the POM (Petra/Osiris/Molinspiration) framework revealed that the synthesized heterocyclic scaffold exhibits well-defined electronic, steric, and topological features associated with potent antimicrobial and antiviral activities. The pharmacophore mapping distinctly identifies electron-rich centers (δ⁻ oxygen atoms: O₁–O₄) and complementary electron-deficient (δ⁺) regions, which together facilitate essential molecular recognition events during ligand–target interactions47.
As illustrated in Fig. 8, the designed compounds exhibit excellent alignment with the established antiviral pharmacophoric requirements, particularly the optimal interatomic distance d(X…Y) = 3.2–4.4 Å, a key range associated with antiviral activity. Notably, the pharmacophore alignment strongly suggests that the compound fits the spatial and electronic criteria required for effective inhibition of SARS-CoV-2 replication machinery.
The electronic distribution pattern, coupled with appropriate hydrogen-bond donor/acceptor functionalities, supports efficient binding to viral enzymes. Such interactions are critical in disrupting viral replication cycles. Therefore, the POM-derived pharmacophore insights propose that the synthesized compound may act as a promising anti–SARS-CoV-2 therapeutic candidate, potentially contributing to COVID-19 management.
Pharmacophore Model Highlighting Antiviral Interaction Sites in N-Substituted Thiazolidine-2,4-dione/Pyrrole-2,5-dione Hybrids.
The 3D structures of compounds 3a–3g clearly illustrate the essential pharmacophoric features responsible for their predicted antiviral and anti–SARS-CoV-2 potential (Fig. S25). Each molecule displays well-defined electron-rich oxygen centers and hydrophobic interaction zones, highlighted in green, which contribute to effective molecular recognition at the viral target site. Structural variations among the derivatives influence the spatial orientation of these key sites, suggesting their role in modulating binding affinity and antiviral strength. Overall, the highlighted pharmacophore regions provide strong evidence that these synthesized compounds possess the necessary electronic and steric characteristics for promising anti–SARS-CoV-2 activity.
The antiviral/anti–SARS-CoV-2 potential of the target compounds can be identified based on the electronic and steric nature of the substituents (R) on the phenyl ring. Electron-withdrawing substituents such as NO₂ and Cl enhance the δ⁻ electron density on the pharmacophoric oxygen atoms and improve polar interactions with viral protein targets, thereby exhibiting higher predicted antiviral potential. Moderately electron-donating substituents such as OCH₃ and OH provide intermediate activity. In contrast, weakly donating or neutral substituents, such as CH₃ and H, exhibit comparatively lower antiviral potential due to their reduced contribution to pharmacophoric electrostatic interactions. Consequently, the expected order of antiviral efficiency based on substituent effects is: NO₂ > Cl > OCH₃ ≈ OH > CH₃ > H.
Conclusion
In conclusion, a series of N-substituted thiazolidine-2,4-dione derivatives with pyrrole-2,5-dione moieties were successfully synthesized using a microwave-assisted SN2-mediated C-N bond formation strategy, achieving high yields (76–83%) in a short reaction time. The optimized reaction conditions, including microwave irradiation and the use of K2CO3 as a base catalyst in DMSO solvent, proved effective in promoting the reaction. The synthesized compounds were screened for antimicrobial and antifungal activities, with compounds 3f and 3g showing promising results, which exhibited strong antibacterial and antifungal activity. These findings suggest these compounds may serve as a lead molecule for the development of broad-spectrum antimicrobial and antifungal agents. Additionally, the use of POM analysis demonstrated its value in evaluating the structural, physicochemical, and biological characteristics of these compounds. By combining drug-likeness, bioactivity, and pharmacokinetics, POM offers a comprehensive framework for prioritizing promising drug candidates, highlighting the potential of these thiazolidine-2,4-dione derivatives for future drug development. Overall, this study lays the groundwork for the development of novel, potent antimicrobial agents with favorable physicochemical properties, further enhancing their therapeutic potential.
Data availability
The data used to support the findings of this study are included within the article and supplementary materials.
References
Kumar, H. et al. Thiazolidin-2,4-dione scaffold: an insight into recent advances as antimicrobial, antioxidant, and hypoglycemic agents. Molecules 27, 6763. https://doi.org/10.3390/molecules27196763 (2022).
Kumar, H., Deep, A. & Marwaha, R. K. Chemical synthesis, mechanism of action and anticancer potential of medicinally important thiazolidin-2,4-dione derivatives: a review. Mini Rev. Med. Chem. 19 (18), 1474–1516. https://doi.org/10.2174/1389557519666190513093618 (2019).
Abdellatif, K. R. A., Fadaly, W. A. A., Kamel, G. M., Elshaier, Y. A. M. M. & El-Magd, M. A. Design, synthesis, modeling studies and biological evaluation of Thiazolidine derivatives containing pyrazole core as potential anti-diabetic PPAR-γ agonists and anti-inflammatory COX-2 selective inhibitors. Bioorg. Chem. 82, 86–99. https://doi.org/10.1016/j.bioorg.2018.09.034 (2019).
Viegas-Junior, C., Danuello, A., da Silva Bolzani, V., Barreiro, E. J. & Fraga, C. A. Molecular hybridization: a useful tool in the design of new drug prototypes. Curr. Med. Chem. 14 (17), 1829–1852. https://doi.org/10.2174/092986707781058805 (2007).
Mallikarjuna Reddy, G., Camilo, A. Jr & Raul Garcia, J. Pyrrole-2,5-dione analogs as promising antioxidant agents: microwave-assisted synthesis, bio-evaluation, SAR analysis and DFT studies/interpretation. Bioorg. Chem. 106, 104465. https://doi.org/10.1016/j.bioorg.2020.104465 (2021).
Papastavrou, N. et al. Enhancing activity and selectivity in a series of pyrrol-1-yl-1-hydroxypyrazole-based aldose reductase inhibitors: the case of trifluoroacetylation. Eur. J. Med. Chem. 130, 328–335. https://doi.org/10.1016/j.ejmech.2017.02.053 (2017).
McGeary, R. P. et al. Structure–activity relationship study and optimisation of 2-aminopyrrole-1-benzyl-4,5-diphenyl-1H-pyrrole-3-carbonitrile as a broad-spectrum metallo-β-lactamase inhibitor. Eur. J. Med. Chem. 137, 351–364. https://doi.org/10.1016/j.ejmech.2017.05.061 (2017).
Gholap, S. S. Pyrrole: an emerging scaffold for construction of valuable therapeutic agents. Eur. J. Med. Chem. 110, 13–31. https://doi.org/10.1016/j.ejmech.2015.12.017 (2016).
Li Petri, G. et al. Bioactive pyrrole-based compounds with target selectivity. Eur. J. Med. Chem. 208, 112783. https://doi.org/10.1016/j.ejmech.2020.112783 (2020).
de Dios, A., de la Puente, M. L., Rivera-Sagredo, A. & Espinosa, J. F. Structural and conformational studies of 5-(1H-pyrrol-2-ylmethylene)-substituted imidazolidine-2,4-diones and thiazolidine-2,4-diones. Can. J. Chem. 80, 1302–1307. https://doi.org/10.1139/v02-175 (2002).
Saini, N. et al. Microwave assisted green synthesis of thiazolidin-4-one derivatives: a perspective on potent antiviral and antimicrobial activities. Curr. Res. Green. Sustain. Chem. 3, 100021. https://doi.org/10.1016/j.crgsc.2020.100021 (2020).
Upadhyay, A., Srivastava, S. K. & Srivastava, S. D. Conventional and microwave assisted synthesis of some new N-[(4-oxo-2-substituted aryl-1,3-thiazolidine)-acetamidyl]-5-nitroindazoles and its antimicrobial activity. Eur. J. Med. Chem. 45 (9), 3541–3548. https://doi.org/10.1016/j.ejmech.2010.04.029 (2010).
Daştan, A., Kulkarni, A. & Török, B. Environmentally benign synthesis of heterocyclic compounds by combined microwave-assisted heterogeneous catalytic approaches. Green. Chem. 14, 17–37. https://doi.org/10.1039/C1GC15837F (2012).
Bhat, A. R., Shalla, A. H. & Dongre, R. S. Microwave assisted one-pot catalyst free green synthesis of new methyl-7-amino-4-oxo-5-phenyl-2-thioxo-2,3,4,5-tetrahydro-1H-pyrano[2,3-d]pyrimidine-6-carboxylates as potent in vitro antibacterial and antifungal activity. J. Adv. Res. 6 (6), 941–948. https://doi.org/10.1016/j.jare.2014.10.007 (2015).
Santagada, V. et al. Microwave assisted synthesis: a new technology in drug discovery. Mini Rev. Med. Chem. 9 (3), 340–358. https://doi.org/10.2174/1389557510909030340 (2009).
Marc, G. et al. New phenolic derivatives of thiazolidine-2,4-dione with antioxidant and antiradical properties: synthesis, characterization, in vitro evaluation, and quantum studies. Molecules 24 (11), 2060. https://doi.org/10.3390/molecules24112060 (2019).
Gaba, M. & Mohan, C. Development of drugs based on imidazole and benzimidazole bioactive heterocycles: recent advances and future directions. Med. Chem. Res. 25, 173–210. https://doi.org/10.1007/s00044-015-1495-5 (2016).
el-Sabbagh, O. I. et al. Synthesis and antiviral activity of new pyrazole and thiazole derivatives. Eur. J. Med. Chem. 44 (9), 3746–3753. https://doi.org/10.1016/j.ejmech.2009.03.038 (2009).
Marc, G. et al. 3,5-disubstituted thiazolidine-2,4-diones: design, microwave-assisted synthesis, antifungal activity, and ADMET screening. SLAS Discov. 23 (8), 807–814. https://doi.org/10.1177/2472555218759035 (2018).
Stana, A. et al. Synthesis and antimicrobial activity of some new N-substituted-5-arylidene-thiazolidine-2,4-diones. J. Heterocycl. Chem. 51, 411–417. https://doi.org/10.1002/jhet.1726 (2014).
Babu, V. et al. Computational chemistry: prediction of compound accessibility of targeted synthesized compounds. Med. Chem. 21 (5), 334–344. https://doi.org/10.2174/0115734064293464240405050455 (2025).
Karmakar, S. et al. In-silico approaches to unravel the efficacy of naturally occurring C–C and C–O–C type biflavonoids towards the Inhibition of MDM2–p53 interactions. Discov Chem. 2 (1), 1–27. https://doi.org/10.1007/s44371-025-00167-2 (2025).
Majumdar, S., Karmakar, S. & Pramanik, A. In-silico analysis via molecular Docking study to identify the better potent inhibitor for the main protease (Mpro) of SARS-COV-2. J. Sci. Enquir. 13 (1), 4. https://doi.org/10.54280/jse.222101 (2022).
Gour, P. B. et al. Design, synthesis, and biological evaluation of benzo[d]oxazole-2-thio and oxazolo[4,5-b]pyridine-2-thio derivatives: molecular docking, POM analysis, in Silico pharmacokinetics, and pharmacophore insights for antitumor, GPCR, and kinase targets. J. Mol. Struct. 1333, 141705. https://doi.org/10.1016/j.molstruc.2025.141705 (2025).
Ahmed, S. et al. Theoretical, antioxidant, antidiabetic and in Silico molecular Docking and pharmacokinetics studies of heteroleptic oxovanadium(IV) complexes of thiosemicarbazone-based ligands and diclofenac. J. Biomol. Struct. Dyn. 42 (16), 8407–8426. https://doi.org/10.1080/07391102.2023.2246565 (2024).
Majumdar, S. & Pramanik, A. Exploring the efficacy of some biologically active compounds as anti-hypertensive drugs: an insightful evaluation through DFT, molecular Docking and molecular dynamics simulations. Silico Pharmacol. 13 (1), 4. https://doi.org/10.1007/s40203-024-00291-4 (2024).
Martyna, G. J., Tuckerman, M. E., Tobias, D. J. & Klein, M. L. Explicit reversible integrators for extended systems dynamics. Mol. Phys. 87, 1117–1157. https://doi.org/10.1080/00268979600100761 (1996).
Mark, P. & Nilsson, L. Structure and dynamics of the TIP3P, SPC, and SPC/E water models at 298 K. J. Phys. Chem. A. 105, 9954–9960. https://doi.org/10.1021/jp003020w (2001).
Bhat, A. R. et al. Synthesis, biological activity and POM/DFT/docking analyses of annulated pyrano[2,3-d]pyrimidine derivatives: identification of antibacterial and antitumor pharmacophore sites. Bioorg. Chem. 106, 104480. https://doi.org/10.1016/j.bioorg.2020.104480 (2021).
Suleiman, M. et al. Recent progress in synthesis, POM analyses and SAR of coumarin-hybrids as potential anti-HIV agents—a mini review. Pharmaceuticals (Basel). 16 (11), 1538. https://doi.org/10.3390/ph16111538 (2023).
Hassan, S. A. et al. Design and synthesis of Oxazepine derivatives from sulfonamide schiff bases as antimicrobial and antioxidant agents with low cytotoxicity and hemolytic prospective. J. Mol. Struct. 1292, 136121. https://doi.org/10.1016/j.molstruc.2023.136121 (2023).
Bakheit, A. H., Abuelizz, H. A. & Al-Salahi, R. A DFT study and Hirshfeld surface analysis of the molecular structures, radical scavenging abilities and ADMET properties of 2-methylthio(methylsulfonyl)-[1,2,4]triazolo[1,5-a]quinazolines: guidance for antioxidant drug design. Crystals 13, 1086. https://doi.org/10.3390/cryst13071086 (2023).
Azam, F., Almahmoud, S. A., Ali, A. & Ali, A. Targeting mitochondrial Drp1 dynamics in neurodegenerative diseases: a comprehensive drug design approach using AutoDock Vina-GPU, DFT, and molecular dynamics simulations. ChemistrySelect 10, e202406041. https://doi.org/10.1002/slct.202406041 (2025).
Guan, H., Sun, H. & Zhao, X. Application of density functional theory to molecular engineering of pharmaceutical formulations. Int. J. Mol. Sci. 26 (7), 3262. https://doi.org/10.3390/ijms26073262 (2025).
Soares, I. N. & de Souza, G. L. Exploring the ground and low-lying excited States of Gatifloxacin. Comput. Theor. Chem. 1249, 115258. https://doi.org/10.1016/j.comptc.2025.115258 (2025).
Yan, Z., Jiang, C., Cheng, G. & Qin, L. P. Evaluation of different DFT functionals and basis sets for predicting proton affinity and gas-phase basicity of small organic molecule MALDI matrices. ChemistrySelect 10, e202404476. https://doi.org/10.1002/slct.202404476 (2025).
Faraj, I. et al. Crystal structure, Hirshfeld surface analysis and DFT calculations of (E)-3-[1-(2-hydroxy-phenylanilino)ethylidene]-6-methyl-pyran-2,4-dione. Acta Crystallogr. E Crystallogr. Commun. 78 (Pt 8), 864–870. https://doi.org/10.1107/S2056989022007514 (2022).
Tataringa, G. et al. Discovery of new molecular hybrid derivatives with coumarin scaffold bearing pyrazole/oxadiazole moieties: molecular docking, POM analyses, in Silico pharmacokinetics and in vitro antimicrobial evaluation with identification of potent antitumor pharmacophore sites. Bioorg. Chem. 153, 107761. https://doi.org/10.1016/j.bioorg.2024.107761 (2024).
Gasteiger, J. & Marsili, M. Iterative partial equalization of orbital electronegativity—a rapid access to atomic charges. Tetrahedron 36, 3219–3228 (1980).
Gasteiger, J. & Marsili, M. A new model for calculating atomic charges in molecules. Tetrahedron lett. 19, 3181–3184 (1978).
Meshram, P. et al. Design, synthesis and antibacterial activity of new isatin-based schiff base derivatives: molecular docking, POM analysis, in Silico pharmacokinetics and identification of antitumor pharmacophore sites. J. Mol. Struct. 1322, 140508. https://doi.org/10.1016/j.molstruc.2024.140508 (2025).
Ahmed, S. et al. Green synthesis, antibacterial and antifungal evaluation of new thiazolidine-2,4-dione derivatives: molecular dynamic simulation, POM study and identification of antitumor pharmacophore sites. J. Biomol. Struct. Dyn. 42 (20), 10635–10651. https://doi.org/10.1080/073 (2024).
Rbaa, M. et al. Synthesis of new heterocyclic systems Oxazino derivatives of 8-hydroxyquinoline: drug design and POM analyses of substituent effects on their potential antibacterial properties. Chem. Data Collect. 24, 100306. https://doi.org/10.1016/j.cdc.2019.100 (2019).
Messali, M. et al. New eco-friendly 1-alkyl-3-(4-phenoxybutyl) imidazolium-based ionic liquids derivatives: a green ultrasound-assisted synthesis, characterization, antibacterial activity and POM analyses. Molecules 19 (8), 11741–11759. https://doi.org/10.3390/molecules190811741 (2014).
Akter, N. et al. Molecular docking, ADME-Tox, DFT and molecular dynamics simulation of Butyroyl glucopyranoside derivatives against DNA gyrase inhibitors as antimicrobial agents. J. Mol. Struct. 1307, 137930. https://doi.org/10.1016/j.molstruc.2024.137 (2024).
Esharkawy, E. R., Almalki, F. & Hadda, T. B. In vitro potential antiviral SARS-CoV-19 activity of natural product thymohydroquinone and dithymoquinone from Nigella sativa. Bioorg. Chem. 120, 105587. https://doi.org/10.1016/j.bioorg.2021.105587 (2022).
Kawsar, M. A. et al. Potential SARS-CoV-2 RdRp inhibitors of cytidine derivatives: molecular docking, molecular dynamic simulations, ADMET, and POM analyses for the identification of pharmacophore sites. PLoS ONE. 17 (11), e0273256. https://doi.org/10.1371/journal.pone.0273256 (2022).
Acknowledgements
We express our sincere gratitude to Dr. Rajesh Dahegaonkar, Principal, and Dr. Parmanand Shende, Head of the Research Center, Dr. Babasaheb Ambedkar College, Chandrapur, Maharashtra, for their invaluable guidance, constant support, and encouragement throughout the course of this research study.
Funding
This work was supported and funded by the Deanship of Scientific Research at Imam Mohammad Ibn Saud Islamic University (IMSIU) (Grant Number IMSIU-DDRSP2601).
Author information
Authors and Affiliations
Contributions
Author Contributions Ragini C. Patil: Writing - Review & Editing; Mohamed Abdel-Megid: Data curation; Nita M. Khiratkar: Writing - Original Draft; Sumeer Ahmed: Software; Arif Hussain: Interpretation of results; Murugesan Sankaranarayanan: Interpretation of results; Pranali Vijaykumar Kuthe: Molecular dynamic simulation study; Senthil Kumar Raju: Formal analysis; Muatz salih: Data curation; Ajmal R. Bhat: Project administration, Software, Writing – review & editing; Mostafa E Salem: : Formal analysis.
Corresponding authors
Ethics declarations
Competing interests
The authors declare no competing interests.
Additional information
Publisher’s note
Springer Nature remains neutral with regard to jurisdictional claims in published maps and institutional affiliations.
Supplementary Information
Below is the link to the electronic supplementary material.
Rights and permissions
Open Access This article is licensed under a Creative Commons Attribution-NonCommercial-NoDerivatives 4.0 International License, which permits any non-commercial use, sharing, distribution and reproduction in any medium or format, as long as you give appropriate credit to the original author(s) and the source, provide a link to the Creative Commons licence, and indicate if you modified the licensed material. You do not have permission under this licence to share adapted material derived from this article or parts of it. The images or other third party material in this article are included in the article’s Creative Commons licence, unless indicated otherwise in a credit line to the material. If material is not included in the article’s Creative Commons licence and your intended use is not permitted by statutory regulation or exceeds the permitted use, you will need to obtain permission directly from the copyright holder. To view a copy of this licence, visit http://creativecommons.org/licenses/by-nc-nd/4.0/.
About this article
Cite this article
Patil, R.C., Abdel-Megid, M., Khiratkar, N.M. et al. Microwave assisted synthesis and antimicrobial evaluation of novel Thiazolidinedione pyrrole hybrids with antiviral potential and comprehensive computational modeling studies. Sci Rep 16, 11633 (2026). https://doi.org/10.1038/s41598-026-39103-4
Received:
Accepted:
Published:
Version of record:
DOI: https://doi.org/10.1038/s41598-026-39103-4










