Abstract
The interaction between turbulent flow and bedload transport generates diverse bedform morphologies, yet the structural characteristics of these bedforms and their relationship with turbulence remain insufficiently characterized. Understanding these dynamics carries significant theoretical and engineering implications for riverbed evolution and sediment deposition. Through a series of open-channel experiments under equilibrium sediment transport conditions, this study investigates the three-dimensional structural features of bedforms and their correlation with flow intensity. Utilizing Structure from Motion (SfM) photogrammetry, we achieved high-precision reconstruction of post-scour bedform topography. Bed elevation signals were processed using wavelet transform techniques to remove slope trends and noise, enabling accurate extraction of topographic data. Subsequent application of peak detection algorithms yielded key dune morphological parameters, including wavelength (L), height (H), steepness (δ), and lee-side angle (φ). The results demonstrate that within the investigated flow intensity range (Θ = 0.089–0.370), both L and H exhibit a non-monotonic trend characterized by initial decrease followed by increase. Probability density function analysis reveals that wavelength follows a gamma distribution, while height and steepness conform to Weibull distributions. A significant positive linear correlation exists between δ and φ, with 60% of the dunes classified as low-angle dunes (φ < 10°). This study establishes with enhanced precision the quantitative relationships between scaled dune parameters (L/h, H/h, δ) and relative flow intensity (Θ’), demonstrating that H/h exhibits greater sensitivity to Θ’ variations than L/h. Furthermore, our analysis enriches the characterization of three-dimensional bedform structural features and their interaction with turbulence under low Shields conditions, thereby providing valuable references for investigating sediment transport dynamics under sand wave condition.
Introduction
The transport of sediment in an open-channel flow leads to the development of bedforms exhibiting diverse characteristics, encompassing a range of bedform types. The structure of these sand waves is complex, and even under stable experimental conditions, their morphologies display irregularities1. The movement of sand waves can cause riverbed deformation, evolution, and sedimentation2,3,4. Therefore, studying bedform structures is of significant engineering and theoretical importance5,6,7. Numerous researchers have investigated the processes of bedform formation and evolution. Kennedy8 suggested that as the flow velocity and Froude number exceed certain thresholds, surface fluctuation waves emerge, leading to the appearance of sand waves on the riverbed. Yalin9 observed that the evolution of the bed morphology resulted in sand ripples under laminar flow conditions and dunes under turbulent flow conditions. Schindler and Robert10 found that increasing flow intensity enhanced the interaction between bedforms and water flow, driving the continuous evolution and development of riverbed morphology. Venditti and Bauer11 pointed out that the shear layer and vortex structures on the lee side of dunes are manifestations of secondary flow, dominating sediment transport and dune morphology evolution. These interactions result in various forms of sand waves on the bed surface, such as ripples, dunes, and anti-dunes12,13. Elucidating the fundamental mechanisms governing the interactions between bedform morphology and flow dynamics is critical for deciphering the integrated feedback processes of water-sediment transport and bedform evolution.
The bedform structure is an important aspect of sand waves research, and many scholars have conducted extensive research on it14,15. Turner et al.16 combined ultrasonic instruments to enhance measurement accuracy and obtain detailed riverbed bedform structures. Lane et al.17,18 used close-range digital photogrammetry to analyze river channel images and explore the interactions between the riverbed topography and water flow structures. Although sonar and multibeam bathymetry systems perform well in field surveys, their operational complexity and relatively high costs may not fully align with the requirements for efficiency, flexibility, and repeatability in laboratory experiments. To improve the efficiency of riverbed structure recognition, Van Santen et al.19 combined data from echo sounder measurements with modeling methods to construct a process-based model for analyzing the relationship between wavelength and environmental factors. After the scour experiment, structure-from-motion (SfM) photogrammetry20 was used to reconstruct the 3D bed surface from photographs. Based on video data obtained by an underwater remotely operated vehicle, Robert et al.21 also used the SfM method to survey the cliffs of a submarine canyon and reconstruct detailed seabed topography, demonstrating that visual or optical methods offer great advantages in obtaining detailed topographic data for indoor experiments. Furthermore, numerical modelling methods have provided finer-grained data in studies of sand waves motion and morphological evolution22,23,24, and Liu et al.25 simulated micro sand waves development by combining the LES and immersed-boundary methods, highlighting the important role of near-bed flow velocities and turbulence structure in dune formation. Given the current limitations of laser measurement techniques, accurately reconstructing three-dimensional topography of large-scale riverbeds remains a challenging task that requires further refinement.
After obtaining the bedform topographical structure, many scholars have conducted quantitative analyses of bedform characteristic parameters. Van der Mark et al.26 employed a spatial scaling technique based on original bed elevation profiles to analyze the characteristic parameters of sand waves. To further study these parameters, Cataño-Lopera et al.12 demonstrated that wavelet transformation (WT) is a useful tool for detecting the complex variability of generated bedform structures and employed WT to examine the morphological characteristics of bedforms. Singh et al.27 proposed a filtering approach that combined Fourier and wavelet spectra to extract riverbed elevations. They considered that the probability distribution of the bed heights had a positive tail slightly thicker than the Gaussian distribution. Although skewed probability distributions have been extensively studied and applied to characterize bedform parameters28, controversies persist regarding their distribution types. Gutierrez et al.29 proposed a method that combines continuous wavelet transforms with robust spline filters to discriminate morphology features. Wren et al.30 combined wavelet filtering and peak-finding algorithms to identify individual bedforms on topographic transects of the Mississippi River flow direction. Scheiber et al.31 compared the strengths and weaknesses of five recently published dune identification algorithms in a comprehensive meta-analysis. Due to inconsistent definitions of dune geometric scales, significant discrepancies inevitably exist among various methodologies. The analysis of three-dimensional riverbed topographic characteristic parameters involves inherent complexity, and the corresponding extraction methods require further refinement through additional data validation.
In addition, many researchers have also studied the dynamics of water and sediment movement by establishing relationships between bedform characteristic scales and hydraulic parameters. Kennedy32 studied the wavelengths and amplitudes of sand waves, finding that changes in flow vortices led to increased sediment disturbance amplitudes, thereby accelerating sand waves growth, wavelength increase, and deformation. Rijn33 used dimensionless analysis to establish relationships among sediment particle size, scale parameters, and hydraulic parameters. Hulscher and Brink34 established a parametric large-scale bed-type prediction model that can predict the contour of the area where sand waves may occur, but it cannot explain the small-scale changes in the measurement area. Van Gerwen et al.35 studied the development of sand waves in the equilibrium direction using Delft3D, analyzing changes in sand waves height and showing that sand waves growth rates increase positively with flow intensity. Similarly, Wang et al.36 used Delft3D to simulate the factors influencing bedform morphological changes and found that the wavelength increased with increasing bed slope and tidal currents. Existing scaling relationships for bedform morphology are primarily derived from moderate flow intensity conditions37,38, while comprehensive experimental datasets characterizing dune morphological features at low Shields numbers (Θ < 0.4) remain notably deficient. This substantial data gap has hindered the development of a robust theoretical framework for bedform dynamics in low-intensity flow regimes. By conducting flume experiments and using scale-based bedform mass flux models, Lee et al.39 explored the relationship between dune scale and migration velocity with bedload transport, and how these relationships constrain dune growth. To develop an accurate model of the relationship between water flow and bedforms, it is necessary to undertake further systematic investigation of the link between bedform morphology and hydraulic parameters.
Currently, high-resolution experimental data on three-dimensional bedform structures is lacking, and further improvements are required to extract. To develop an accurate model of the relationship between water flow and bedforms characteristic parameters and establish quantitative relationships with flow intensity. To address the objectives of this study, we conducted a total of 22 flume experiments across six different flow rates on a mobile sand bed. The intricate topography of the bed was accurately captured using the SFM technique. Extensive wavelet analysis of the topographic data provided insights into the distribution of dune morphological parameters and their correlation with variations in the lee side angle. Additionally, we investigated the relationship between dune wavelength, height, and flow intensity, further solidifying the connection between dune dimensions and effective flow intensity.
Results
The prediction of bedform configurations has been the subject of numerous laboratory and field investigations. Although there is no definitive classification, many bedform predictor methods are highly instructive38,40. This study employed the bedform prediction methods of Bechteler et al.41 and Chabert and Chauvin42 to ascertain bedform types. Both methods used the roughness Reynolds number, Re*, with the relevant parameters were defined as follows:
Where D* is the dimensionless particle diameter. Figure 1a, b demonstrate the results of using the two bedform prediction methods, and it can be seen that the condition with slope J = 0.001 is judged as ripples, whereas the conditions with slope J = 0.003 and J = 0.005 are judged as dunes or ripples on dunes, and ‘Ripples on dunes’ data were classified as ‘dunes’ by Guyet al.43.
It is observed that the most substantial dunes occur in deeper waters and under conditions of higher shear stress, contrasting with the smaller dunes typically found in shallower waters with lower velocities44,45,46. The development of the sand waves in this study was constrained by the boundaries of the experimental flume. In order to minimize the influence of the flume’s sidewalls and to establish a consistent and uniform flow, it is imperative to ensure that the width-to-depth ratio exceeds 5:147. This results in a limited water depth, which consequently resulted in the heights of the dunes in this experiment being smaller compared to the heights of other large-scale laboratory dunes, but they can still be considered as dunes of smaller dimensions based on a strict judgment of the water flow conditions. The bedform observed in this experiment for the case of J = 0.001 can be classified as sand ripples, while the cases of J = 0.003 and J = 0.005 can be classified as sand dunes.
Three-dimensional morphology and parameters of bedfo
The qsuantitative analysis of bedform morphological characteristics is an essential focus of bedform evolution research. In this study, the regular bedform region was selected for analysis, with the flow direction in the range of 1–7 m in the flume and the spanwise direction ranging from 0.01 to 0.37 m, analyzing the regular riverbed morphology. The bedform range must be gridded to quantitatively calculate the bedform morphological characteristics. In this study, we selected square grids with a side length of 1 mm, resulting in approximately 360 × 6000 grids (2,160,000 individual grids). Using the three-dimensional point cloud to interpolate the grid, we obtained a three-dimensional bedform morphology map, as shown in Fig. 2. The differences in bedform morphology under different flow intensities can be observed in Fig. 2. When the flow intensity Θ is low, there are fewer ripples in the experimental area with a greater distance between adjacent dunes and a larger wavelength. As the flow intensity increases, the number of dunes increases, and the wavelength decreases.
3D Bedform morphology under different conditions: (a) Θ = 0.091; (b) Θ = 0.103; (c) Θ = 0.185; (d) Θ = 0.225; (e) Θ = 0.261; (f) Θ = 0.273; (g) Θ = 0.309; (h) Θ = 0.370.
Figure 3 shows a comparison between the original bedform elevation profile and the results after wavelet transform processing. The black line indicates the original bed elevation profile, and the red line indicates the bed elevation profile after eliminating the trend and after wavelet 5th-order decomposition and noise reduction. The processed bedform elevation map matched the actual morphology, enabling a better analysis of the bedform structural parameters. Following wavelet processing to mitigate experimental noise and trend interference stemming from the decreased bed slope, the bed elevation curves were rendered more coherent, facilitating a precise analysis of the structural parameters of the bedform. Under low-flow-intensity conditions, the bedforms were sparse, as shown in Fig. 3a, b. As the flow intensity increased from 0.185 to 0.261, the bedforms gradually became denser, as shown in Fig. 3c–e. Subsequently, as the flow intensity continued to increase to 0.37, as shown in Fig. 3f–h, the bedforms became sparse again. The oscillation amplitude of the curve represents the bedform height, which first decreased and then increased. Figure 4 shows a 2D bed elevation morphology map for each case, with identified crest points (white) and trough points (blue) whose locations match well with the actual 3D terrain.
Wavelet transforms extraction of bedform structure. (a) Θ = 0.091; (b) Θ = 0.103; (c) Θ = 0.185; (d) Θ = 0.225; (e) Θ = 0.261; (f) Θ = 0.273; (g) Θ = 0.309; (h) Θ = 0.370.
Two-dimensional bedform morphology map: (a) Θ = 0.091; (b) Θ = 0.103; (c) Θ = 0.185; (d) Θ = 0.225; (e) Θ = 0.261; (f) Θ = 0.273; (g) Θ = 0.309; (h) Θ = 0.370.
Statistical analysis of bedform parameters
An accurate definition of bedform dimensions is a prerequisite for the measurement of parameters characterizing the bedform morphology. As shown in Fig. 5, the flow moves from left to right. The wavelength (L) is the distance between two neighboring troughs. It is equal to the sum of the stoss side wavelength (L1) and the lee side wavelength (L2). Wave height (H) is the distance measured perpendicular to the line connecting two neighboring troughs from the crest. The steepness (δ) is the ratio of the height of the sand wave to its wavelength: δ = H/L. α is the stoss side angle: α = arctan(H/L1), and φ is the lee side angle: φ = arctan(H/L2). Based on the above definitions, we can quantitatively calculate the aforementioned parameters.
Schematic of bedform morphology and scale parameters.
For further analysis, we present the statistical frequency distributions of key bed morphology parameters for both sand ripples and dunes in Fig. 6. The parameters plotted are (a) wavelength, (b) wave height, (c) stoss-side angle, (d) lee-side angle, and (e) steepness. Light blue and dark blue bars represent sand ripples and dunes, respectively. We can clearly see that all the parameter probability density distributions show a right-skewed distribution pattern, with a ‘long tail’ on the right side. Van der Mark et al.26 suggested that the skewed probability density functions, including Beta, Gamma, Lognormal, and Weibull, are most suitable for modeling the height and length of dunes due to their ability to represent the data’s asymmetry and heavy tails. The gamma, Weibull, and lognormal distributions are employed to fit the frequency distributions of the bed morphology characteristic parameters in Fig. 6. The coefficients of determination (R2) for the three distribution functions fitted to each parameter are shown in Table 1. A comparison of the magnitude of the R2 of the three distribution functions reveals that all three display relatively high R2, thus indicating their capacity to reflect the distribution of each parameter more accurately. Overall, the gamma distribution fits the wavelength better, while the Weibull distribution fits more accurately for the distribution of wave heights, slope angles and steepness.
Probability density distributions of (a) wavelength L, (b) sand waves height H, (c) stoss side angle α, (d) lee side angle φ, and (e) steepness δ.
It is evident that there are more significant discrepancies in the distribution patterns between the values of the various morphological parameters of dunes and sand ripples. The wavelengths of sand ripples exhibit a broad distribution(200–700 mm), devoid of any discernible peaks, while the wavelengths of dunes are predominantly distributed below 500 mm, with a higher prevalence near 200 mm. Nevertheless, the distribution of wave heights is more similar for the dunes and sand ripples, a probable consequence of the limitations of water depth in this experiment, resulting in reduced wave heights in the dunes. As demonstrated in Fig. 6c, d, and e, the range of distribution and peak values of sand ripples are significantly smaller than those of dunes, particularly with regard to stoss side angle, lee side angle and steepness.
Water flows through the crest of the bedform and separates from the sediment, forming a reverse vortex in the backflow region of the bedform. This results in the transportation of sediment on the lee side angle, leading to a lee side angle that is steeper than the downstream slope48. Figure 7 shows the scatter of the lee side angle φ concerning δ and α. In this study, 60% of dunes had a lee side angle of less than 10°, and these dunes were referred to as ‘low-angle dunes’28. Cisneros and Best49 suggest that bedform superimposition can result in lowering the dune lee side angle. Numerous studies have shown that flow separation and resistance changes in natural rivers are closely related to the slope of the backwater surface, and that low-angle dunes, with a lee side angle of less than 10°, do not have a zone of permanent flow separation50.
As shown in Fig. 7(a), a positive linear correlation (red line) exists between the bedform steepness and lee side angle, indicating that a large steepness corresponds to large lee side angles, with a fit result R2 close to 0.92. The lower edge line (black dotted line) represents the relationship between tan (φ) and 2δ, where all bedforms on this line are perfectly symmetric. The greater the distance from this line, the more asymmetric the bedform. As steepness increased, the symmetry index also increased, indicating worsening bedform symmetry. As can be seen from the angular relationship of the dune slopes in Fig. 7(b), 91% of the total number of dunes are asymmetric dunes, with the lee side angle much greater than the stoss side angle, and only about 1% of the dunes are ideally symmetrical. The red fitted line in Fig. 7(b) also indicates that the lee side angle of the experimental sand waves in this paper is about 1.4 times the stoss side angle.
Relationships between lee side angle φ and (a) steepness δ, (b) stoss side angle α.
Relationship between bedform parameters and flow conditions
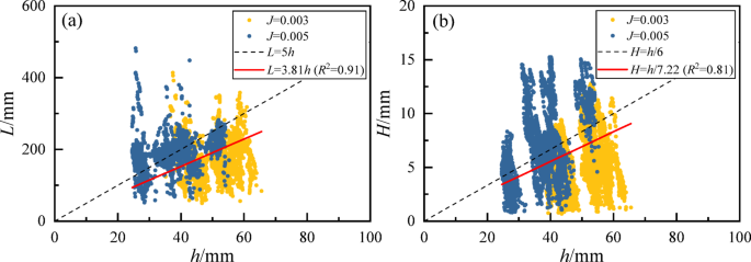
Yalin51 first related dune dimensions to water depth and proposed a scale of h/6 for H and 5h for L. Dune dimensions increase with water depth, although this scaling relationship is well accepted by many, Bradley and Venditti45,52 point out that the effect of water depth on dune dimensions is complex and variable, and cannot simply be described by a single scaling factor. The dimensions of dunes are closely associated with the water depth and exhibit variation in height and length attainable in rivers of varying sizes, but the dimensions of sand ripples are relatively modest and are not significantly influenced by the mean water depth. Therefore, we only investigated the relationship between dune geometry and water depth under the J = 0.003 and J = 0.005 conditions.
The dune geometries observed in this experiment as shown in Fig. 8a, b demonstrate a similar tendency with the depth scaling relations that has been widely acknowledged by Yalin53. The fitted curve for dune wavelength (L) is represented by the equation L = 3.81h (R2 = 0.91), with a coefficient close to but less than 5. Similarly, the fitted curve for dune height (H) is lower than that of Yalin, with a relationship of H = h/7.22 (R2 = 0.81). In general, the relationship between dune wavelength, wave height and water depth obtained from the experiment in this paper is consistent with the previous law. Due to the small size of the experimental channel in this paper, the development of sand waves is affected by the boundary, and at the same time, the water depth is less than 10 cm, so the development of wave height and wavelength of the dune in this paper are both limited to a certain extent.
Relationships between water depth h and (a) dune length L, (b) dune height H.
As flow depth increases, the scale of the dunes correspondingly expands. However, the dunes never extend beyond the surface of the water, this may be due to limitations in flow intensity46. The following section will further investigate the link between flow intensity and dune parameters. Figure 9a, b, c d shows box plots of the wavelength, wave height, steepness and lee side angle as a function of flow intensity Θ, where the red dots are the mean values of each case and the black dashed line is the connecting line of the mean data. As flow intensity increases, there is a tendency for both wavelength and wave height to decrease, followed by an increase. Concurrently, both steepness and dune lee side angle increase with the depth of the flow.
The morphological characteristics of bedforms are closely related to flow intensity13. The relationship between relative flow intensity Θ′ and steepness δ serves as an important reference for judging the morphological changes of the bedform bed surface. Θ′ represents the ratio of Θ to Θc, expressed as effective flow intensity. Here, Θc is the critical flow intensity at which sediment starts to move. The bedload transport intensity parameter mainly depends on the flow parameter Θ′. To analyze the evolution of the dune morphology, the mean experimental data from this study were plotted in a plot of dune steepness versus relative flow intensity reorganized by Da Silva & Yalin54, as shown in Fig. 10, where the red, blue, yellow and green lines represent the relationship curves for relative water depths Z (h/D) of 40, 70, 125 and 500, respectively. Figure 10 reflects the entire process of bedform generation, development, decay, and disappearance55. As Θ′ continues to increase, δd starts to decrease after the inflection point. The reason for this increasing and then decreasing phenomenon is that as the flow intensity increases, the shear stress of the flow also increases, which can suppress or even7 reduce the height growth of the sand waves until it begins to decline, whereas the wavelength of the sand waves increases. The distribution of experimental data points around the Yalin fitting curve shows a similar trend. Within the parameter range of this experiment, there is a general trend of increasing δd as Θ′ increases. Given the limited range of flow intensities chosen for analysis in this study, and the fact that the data points are predominantly distributed in the ascending and inflection regions of the Yalin fitting curve, the trend that δd will decrease with increasing Θ′ is not obvious. However, this result can be predicted based on the available evidence.
Relationships between the flow intensity Θ and (a) wavelength L, (b) height H, (c) steepness δ, and (d) lee side angle φ.
Relationship between dune mean steepness δd and relative flow intensity Θ′.
Yalin53 indicated that the majority of ripples observed in the experiments exhibited values of Lr/D around 1000. Figure 11a illustrates the unified plot of relative ripple length proposed by Yalin with the following curve equations:
Where (Lr)min represents the minimum sand ripple length as a function of material number ξ, and ξ is related to the particle Reynolds number and the mobility number, ξ ≈ 6.34. The ripple steepness, δr, can be treated as a function of Θ′ alone, as demonstrated by the following equation:
When Θ′=Θ′r ≈ 11, the ripple steepness is maximized at (δr)max ≈ 0.14. The red points in Fig. 11a, b represent the average values of the experimental data presented in this paper.
It can be observed that the experimental sand ripple wavelength is in excellent accordance with the classical curve; however, the sand ripple steepness is notably smaller than that of the classical experimental and field data. This may be due to the overall low flow intensity of the conditions in this paper, insufficient flow shear leading to insufficient sediment transport in the ripple condition, or the sidewall effect caused by the narrower channel width limiting the development of ripple wave heights. The experimental equipment used in this paper imposes certain limitations on the evolution and development of sand patterns.
Relationship between (a) ripple mean relative length Lr/(Lr)min and relative flow intensity Θ′, (b) ripple mean steepness δr and relative flow intensity Θ′.
Meanwhile, during the formation of dunes under different conditions, an increase in the dune height implies a decrease in the relative water depth at the bedform crest, leading to an increase in the flow velocity above the crest. The size of dunes is influenced by the scale of the flow, resulting in a depth effect. The use of the relative parameters H/h and L/h eliminates the effect of water depth, and again for small-scale flume experiments more relationships can be obtained outside the range of observation. Therefore, the relationship between the bedform dune height, water depth ratio (H/h), and flow intensity is another important aspect of bedform motion analysis. The scatter relations of the relative parameters L/h, H/h, and δd with relative flow intensity Θ′ are plotted as shown in Fig. 12(a), (b), and(c), respectively. As illustrated in Fig. 12, both L/h and H/h tend to decrease and then increase as the flow intensity increases. The morphological parameters of the dunes are not synchronous with the change in flow intensity. As Θ′ increases, the growth rate of H/h is significantly greater than that of L/h. This result is consistent with Wren et al.56 who suggested that bedform heights responded more quickly to both increasing and decreasing flows than lengths. The asynchrony between the changes in H and L can lead to a continuous increase in δd.
Bradley and Venditti52 highlighted the existence of a parabolic relationship between relative parameters and transport stages. Based on this observation, we developed a regression equation to investigate the quantitative relationship between these variables.
Where the coefficient a represents the shape of the parabolic function, while b and c denote the horizontal and vertical positions of the curve inflection point, respectively.
Relationships between mean dune dimensions and relative flow intensity Θ′: (a) L/h (b) H/h, and (c) H/L.
The black dashed line in Fig. 12 represents the fitted curve for the data points from Bradley and Venditti52, based on which the joint of the relative morphological parameters of the experimental dunes in this paper was fitted to obtain a new fitted curve. The regression fitting results are shown in Table 2. Regression analyses using mean values demonstrate the fundamental relationship between flow intensity and the dune scale. It is also clear from the figure that almost all of the experimental data in this paper are lower than the fitted curves, reflecting the effect of the limitations of the experimental equipment on the data in this paper from the side.
Overall, this experimental study focuses on medium-to-low flow intensity conditions and employs a small-scale setup. Although the data coverage and sample size are relatively limited compared to comprehensive field observations and large-scale laboratory studies, significant findings were still obtained. As shown in, the comparative analysis between the data from this study and classical scaling relationships (such as the Yalin53 model and the Bradley-Venditti52 relationships) reveals a dual significance: First, within the low-Shields-number range where previous data have been sparse, our experimental results align with the overall trends of these classical models, thereby providing critical experimental validation of their applicability under low-flow-intensity conditions. Second, and more importantly, the systematic offsets between the experimental data and the classical curves (e.g., the generally lower wave-height parameters) visually uncover and quantitatively reproduce the influence of the “laboratory-scale effect”—that is, the constraining mechanism imposed by the limited flume width and water depth on bedform development, particularly on dune height. This comparison essentially accomplishes a “reverse calibration,” clarifying both the direction and magnitude of adjustment required when applying macro-scale relationships to similar small-scale experimental systems, thereby offering valuable guidance for related experimental design and theoretical extrapolation.
It is acknowledged that this study did not include synchronous flow field measurements. Future research should therefore aim to investigate the coupling mechanisms between bed morphology and turbulence structures.
Conclusion
In this study, the following important conclusions and contributions were obtained through high-precision flume experiments combined with innovative measurement and analysis methods:
-
1)
By integrating SfM-based high-precision 3D reconstruction with fifth-order wavelet transform signal optimization and peak detection algorithms, we established a comprehensive workflow for bedform morphological analysis and parameter extraction. This integrated approach significantly improves the accuracy and reliability of extracting key morphological parameters including dune wavelength (L), height (H), steepness (δ), and lee-side angle (φ).
-
2)
In the range of flow intensity in this experiment, the length and height of the sand dunes decreased first and then increased with the increase of water flow intensity. Experimental observations identified that 60% of dunes were low-angle forms (lee-side angle < 10°). A strong positive linear correlation (R²= 0.92) exists between dune steepness (δ) and lee-side angle (φ).
-
3)
Statistical analysis revealed distinct probability distributions for bedform parameters under experimental conditions: wavelength follows a Gamma distribution while height and steepness conform to Weibull distributions. We established quantitative regression relationships between dimensionless morphological parameters (L/h, H/h, δ = H/L) and relative flow intensity (Θ′). Notably, normalized height (H/h) demonstrated greater sensitivity to Θ′ variations than wavelength (L/h), while steepness (δ) showed continuous increase with Θ′ in low flow intensity regimes.
-
4)
The experimental data effectively fills the knowledge gap in bedform morphology for low Shields numbers (Θ = 0.089 ~ 0.370), validating the applicability of classical scaling models in this range. Particularly, the constraining effect of water depth (h) on dune development was quantified, offering important guidelines for laboratory study.
Methods
Experimental flume and setup
The experiment was conducted in a high-precision open-channel flume, as illustrated in Fig. 13. The flume was 15 m long, 0.4 m wide, and 0.4 m high, with a variable slope in the range of 0–1%. The sidewalls and bottom were made of transparent glass, and the overall installation error of the flume is approximately ± 0.2 mm. During the experiment, the speed of the water pump was adjusted using a frequency converter to control the flow rate with an error of less than 0.4%. Three rectangular honeycomb-shaped rectifiers were installed at the flume inlet to eliminate large-scale flow structures and create a uniform flow by adjusting the opening and closing of the tailgate at the outlet. Six ultrasonic water-level gauges were installed along the flow direction to measure the instantaneous water depth. The measuring section was positioned 2 m from the inlet to ensure that the incoming flow reached a uniform state, and the same distance was used from the outlet to eliminate the disturbance of the tailgate on the flow in the measuring section. Through meticulous adjustment of the tailgate opening, we ensured uniformity in the water depth at each measurement point, resulting in a water surface slope that was consistent with the slope of the bed. The x-axis was along the flow direction, the z-axis was perpendicular to the flow direction, and the y-axis was along the lateral direction of the flume.
Natural sand with a median particle size d50 of 0.5 mm was selected for the experiment. A variable-frequency sand feeder was placed 1.5 m from the inlet to achieve balanced sand transport on the bed surface. As the water scoured the sediment, the bedform gradually changed. After approximately 45 min, the morphology remained largely unchanged, and the final measurement of bedform morphology was obtained after approximately 60 min of continuous scouring as shown in Fig. 13b. After shutting down the flume and waiting for the water flow to completely recede, a high-definition camera (Nikon W300s, resolution 1920 × 1080 pixels2 was used to photograph the morphology of bedform in the measuring section, as shown in Fig. 13c. The camera filming around target area, ensuring that the overlap rate between adjacent images exceeded 80%. Fixed checkerboard calibration points on both sidewalls of the flume are shown in Fig. 13d, and three-dimensional morphology calibration is achieved by capturing the calibration points in the images. Approximately 200 images of the bedform morphology of the test section were obtained from different overhead views.
Schematic illustration of the experiment setup. (a) Flume system; (b) Cameras shoot morphology; (c) Bedform topography; (d) Control point.
A bed of sand, measuring 9 m in length and 4 cm in thickness, was evenly deposited within the experimental flume. This study conducted 22 sets of equilibrium sediment transport sand wave experiments under uniform flow conditions with different flow intensities (see Table 3). A greater variety of flow intensities can be attained by setting the flume slopes at 0.001, 0.003 and 0.005. The Shields number is a crucial factor in evaluating the influence of flow intensity on sediment transport. The Shields number Θ is defined as:
Where u* is the friction velocity. The critical Shields number for sand is not a fixed value; Θc is generally in the range of 0.03–0.06. In this study, we choose Θc = 0.03 based on the research results of Parker57. In addition, the width of the flume is 0.4 m, with a width-to-depth ratio ranging from 5.0 to 10.3, ensuring that the formation of bedform structures is minimally affected by excessive sidewalls. Definitions and formulas for other flow parameters are shown in Table 3.
Reconstruction and optimization of bedforms
In this study, the bed surface morphology was reconstructed in three dimensions using the SfM method21,58,59,60. First, the bed-surface morphology feature points were matched, and a robust scale-invariant feature transform was used for descriptor calculation. The input unordered images are matched pairwise, as shown in Fig. 14a, b. The matching distance threshold was set using the K-Nearest Neighbor algorithm to eliminate feature point matches below this threshold, thereby improving the matching accuracy, as shown in Fig. 14c. The point cloud data of the matched points were identified using a patch-based multi view stereopsis algorithm, and the actual physical scale coordinates of eight Ground control points (GCPs) were inserted. Finally, a three-dimensional point cloud of the actual riverbed bedform morphology was obtained, as shown in Fig. 14d. The SfM approach enables 3D reconstruction of riverbed structures with higher spatial resolution, capturing sand wave details that acoustic sensors might miss. Additionally, SfM is cost-effective and portable, making it easier to deploy in various environments.
SIFT feature matching. (a) First image, (b) Second image, (c) Feature point matching.
It should be noted that the terrain reconstruction data are subject to some bias due to experimental errors and limitations in accuracy. The peak-finding algorithm is vulnerable to the influence of noise, fluctuations, and trends when extracting peaks and troughs, and thus requires optimization. To achieve this, the bedform elevation in the z direction was obtained, followed by calculating the average bedform elevation curve along the x direction. Wavelet analysis discloses the characteristics of the signal at various scales by decomposing the signal into a series of basic wavelets in the form of translation and scaling. As Catano-Lopera et al.61 pointed out, Fast Fourier transform (FFT) does not provide localized frequency information for the signal. By contrast, the wavelet transform can adapt to the local characteristics of the signal and handle non-stationary signals more effectively, thereby capturing multiple spatial-scale characteristics of the dune structure. Therefore, in this study, the wavelet transform is used to decompose and smooth the bed elevation curves, upon which a peak-finding algorithm is used to extract the appropriate dimension of the bedform characteristic structure.
The Daubechies 4 (db4) wavelet62, which exhibits optimal localization and orthogonality, is selected for the processing of the bed elevation signal. The wavelet transform equation is as follows:
where \(\psi(2^{-j}n-k)\) denotes the Wavelet basis function, k is the translation parameter, and \(\omega^{f}(j,k)\) is the transformed wavelet basis, and the high-frequency signals are included in the detail coefficients, while the low-frequency signals are included in the approximation coefficients.
Figure 15a, b illustrates the noise reduction using wavelet transform for the bedform mid-profile signal for the case Θ = 0.370 as well as before and after trend removal. In order to eliminate the overall trend of the bedform in Fig. 15a, a polynomial fit to the terrain trend was applied, with the resulting trend subtracted from the original terrain. A threshold was then established in order to eliminate the noise by estimating the noise level using the median absolute deviation. As illustrated in Fig. 15b, the signal obtained following the 5-order wavelet decomposition of the original bedform signal, in conjunction with detrending and de-noising, is presented. The employment of the peak-finding method allows for the determination of the maximum elevation and location of the dune crests, as well as the minimum elevation and location of the dune troughs, as illustrated by the red symbols in Fig. 15b.
Wavelet transform and peak finding algorithm to identify peaks and troughs. (a) Original mid-profile signal of Θ = 0.370; (b) Processed signal and peak identification.; (c) Original 3D dune terrain; (d) Processed 3D terrain and peak recognition.
As illustrated in Fig. 15c, d, the 3D terrain after wavelet transform processing shows a significant improvement in the quality of the terrain trend. The original terrain, which had a high front section and a low back end, has been effectively removed, allowing the processed terrain to accurately identify the peaks and troughs of the sand waves. The 3D elevation data are divided into 360 profiles along the Y-axis of the terrain, and the peak-finding algorithm is applied to these profiles in turn. Finally, the crest and trough positions of the entire bed surface were obtained, as shown in Fig. 15d, where the white area represents the crest position, and the blue area represents the trough position, corresponding to the actual three-dimensional terrain of the dunes. The entire process is illustrated in the flowchart in Fig. 16.
Bedform characteristic parameters extraction process.
Extraction of bedform characteristic parameters
To quantitatively study the variation patterns of bedform characteristic parameters, accurately measuring the crest and trough positions of the bedform morphology is necessary. First, four different grid points were selected at intervals in the spanwise direction as starting points, and the bedform elevation curves were plotted in the flow direction, as shown in Fig. 17. The elevation curves in the side regions exhibits small fluctuations, whereas the fluctuations in the middle region are large, consistent with the bedform morphological patterns.
Extracting of bedform elevation curves in the X direction.
An accurate definition of bedform dimensions is a prerequisite for the measurement of parameters characterizing the bedform morphology. As shown in Fig. 5, the flow moves from left to right. The wavelength (L) is the distance between two neighboring troughs. It is equal to the sum of the stoss side wavelength (L1) and the lee side wavelength (L2). Wave height (H) is the distance measured perpendicular to the line connecting two neighboring troughs from the crest. The steepness (δ) is the ratio of the height of the sand wave to its wavelength: δ = H/L. α is the stoss side angle: α = arctan(H/L1), and φ is the lee side angle: φ = arctan(H/L2).
Based on this observation, and according to the characteristics of the bedform elevation curves, the Peak-finding method was used to identify the height values and positions of the curve crests and troughs. The principle of peak value searching is as follows: (1) identify the highest peak size and position of the elevation curve signal and archive it, (2) eliminate peak points with a distance smaller than a certain threshold, (3) repeat the process for the remaining highest peak values until no further peak points are found, and (4) sort all the archived peak points according to their positions. The threshold setting varies according to the specific conditions of each set. The initial threshold is determined by a visual assessment of the distance between the crests and troughs of the sand waves. Once the programmer has been activated, the detection results are observed and the threshold is adjusted manually. This process is repeated several times until the recognition result is good enough.
The individual geometric parameters such as dune length, height, lee side angle, and so on, were calculated. The range and mean values of the extracted dune parameters are shown in Table 4. Idier et al.63 pointed out that an increase in surface wave fluctuations leads to an increase in bed shear stress, and the amplitude of bedforms is related to the energy provided by the flow to the riverbed. As the flow intensity increases, the bed surface obtains more energy, causing the amplitude of surface wave fluctuations to increase, and the sediment particles move more violently. These disturbances affect the development of the bed layer morphology and reduce the growth rate of bedforms64.
Data availability
The datasets used and/or analyzed during the current study available from the corresponding author on reasonable request.
References
Paola, C. & Borgman, L. Reconstructing random topography from preserved stratification. Sedimentology 38, 553–565 (1991).
Hulscher, S. J. M. H. Tidal-induced large-scale regular bed form patterns in a three-dimensional shallow water model. J. Geophys. Res-Oceans. 101, 20727–20744 (1996).
Zhou, D. & Mendoza, C. Growth model for sand wavelets. J. Hydraul Eng-Asce. 131, 866–876 (2005).
Zhou, J. Q. et al. Effect of topographic background on sand wave migration on the Eastern Taiwan banks. Geomorphology 398 (2022).
Kocurek, G., Ewing, R. C. & Mohrig, D. How do bedform patterns arise? New views on the role of bedform interactions within a set of boundary conditions. Earth. Surf. Proc. Land. 35, 51–63 (2010).
Rubin, D. M. A unifying model for planform straightness of ripples and dunes in air and water. Earth Sci. Rev. 113, 176–185 (2012).
Chen, X., Cardenas, M. B. & Chen, L. Hyporheic exchange driven by Three-Dimensional sandy bed forms: sensitivity to and prediction from bed form geometry. Water Resour. Res. 4131–4149 (2018).
John, F. The mechanics of dunes and Antidunes in erodible-bed channels. J. Fluid Mech. 16 (04), 521 (1963).
Yalin, M. S. Mechanics of Sediment Transport 1st edn (Pergamon, 1972).
Schindler, R. J. & Robert, A. Flow and turbulence structure across the ripple-dune transition: an experiment under mobile bed conditions. Sedimentology 52, 627–649 (2005).
Venditti, J. G. & Bauer, B. O. Turbulent flow over a dune: green River, Colorado. Earth. Surf. Proc. Land. 30, 289–304 (2005).
Catano-Lopera, Y. A. & Garcia, M. H. Geometry and migration characteristics of bedforms under waves and currents. Part 1: Sandwave morphodynamics. Coast Eng. 53, 767–780 (2006).
Zhu, X. H. et al. Experiment research on geometry and evolution characteristics of sand wave bedforms generated by waves and currents. Iop C Ser. Earth Env 171 (2018).
Li, Y., Lin, M. A., Jiang, W. B. & Fan, F. X. Process control of the sand wave migration in Beibu Gulf of the South China sea. J. Hydrodyn. 23, 439–446 (2011).
Zhou, J. Q. et al. Giant sand waves on the Taiwan Banks, Southern Taiwan strait: Distribution, morphometric relationships, and hydrologic influence factors in a tide-dominated environment. Marine Geol. 427 (2020).
Turner, I. L., Russell, P. E. & Butt, T. Measurement of wave-by-wave bed-levels in the swash zone. Coast Eng. 55, 1237–1242 (2008).
Lane, S. N. The measurement of river channel morphology using digital photogrammetry. Photogramm Rec. 16, 937–957 (2000).
Lane, S. N., Chandler, J. H. & Porfiri, K. Monitoring river channel and flume surfaces with digital photogrammetry. J. Hydraul Eng-Asce. 127, 871–877 (2001).
van Santen, R. B., de Swart, H. E. & van Dijk, T. A. G. P. Sensitivity of tidal sand wavelength to environmental parameters: A combined data analysis and modelling approach. Cont. Shelf Res. 31, 966–978 (2011).
Zhang, C. D., Sun, A. R., Hassan, M. A. & Qin, C. Assessing Through-Water Structure-from-Motion photogrammetry in Gravel-Bed rivers under controlled conditions. Remote Sens-Basel 14 (2022).
Robert, K. et al. New approaches to high-resolution mapping of marine vertical structures. Sci. Rep. U.K. 7 (2017).
Khosronejad, A. & Sotiropoulos, F. Numerical simulation of sand waves in a turbulent open channel flow. J. Fluid Mech. 753, 150–216 (2014).
Jarvis, P. A., Bacik, K. A., Narteau, C. & Vriend, N. M. Coarsening dynamics of 2D subaqueous dunes. J Geophys. Res-Earth 127 (2022).
Kidanemariam, A. G., Scherer, M. & Uhlmann, M. Open-channel flow over evolving subaqueous ripples. J. Fluid Mech. 937 (2022).
Liu, Y., Fang, H., Huang, L. & He, G. Numerical simulation of the production of three-dimensional sediment dunes. Phys. Fluids 31 (2019).
van der Mark, C. F., Blom, A. & Hulscher, S. J. M. H. Variability in bedform characteristics using flume and river data. Proc Monogr. Eng. Wate 923–930 (2008).
Singh, A., Lanzoni, S., Wilcock, P. R. & Foufoula-Georgiou, E. Multiscale statistical characterization of migrating bed forms in gravel and sand bed rivers. Water Resour. Res. 47 (2011).
Cisneros, J., Best, J., Dijk, T. V., Almeida, R. P. D. & Zhang, Y. Dunes in the world’s big rivers are characterized by low-angle lee-side slopes and a complex shape. Nat. Geosci. 13 (2020).
Gutierrez, R. R., Abad, J. D., Parsons, D. R. & Best, J. L. Discrimination of bed form scales using robust spline filters and wavelet transforms: methods and application to synthetic signals and bed forms of the Rio Parana, Argentina. J. Geophys. Res-Earth. 118, 1400–1418 (2013).
Wren, D., Kuhnle, R., McAlpin, T., Abraham, D. & Jones, K. Detailed bed topography and sediment load measurements for two stepdown flows in a laboratory flume. Int. J. Sediment. Res. 37, 287–298 (2022).
Scheiber, L. et al. Automated bedform Identification-A Meta-Analysis of current methods and the heterogeneity of their outputs. J Geophys. Res-Earth 129 (2024).
John, F. The formation of sediment ripples, dunes, and antidunes. Annu. Rev. Fluid Mech. 1, 147–168 (1969).
33 Rijn. v. Sediment transport: part I. Bed load transport. J. Hydraul Eng-Asce. 110, 1733–1754 (1985).
Hulscher, S. J. M. H. & van den Brink, G. M. Comparison between predicted and observed sand waves and sand banks in the North sea. J. Geophys. Res-Oceans. 106, 9327–9338 (2001).
van Gerwen, W., Borsje, B. W., Damveld, J. H. & Hulscher, S. J. M. H. Modelling the effect of suspended load transport and tidal asymmetry on the equilibrium tidal sand wave height. Coast Eng. 136, 56–64 (2018).
Wang, Z. L., Liang, B. C., Wu, G. X. & Borsje, B. W. Modeling the formation and migration of sand waves: the role of tidal forcing, sediment size and bed slope effects. Cont. Shelf Res. 190 (2019).
Yalin, M. S. Geometrical properties of sand wave. J. Hydraulics Div. 90, 105–119 (1964).
Julien, P. Y. & Raslan, Y. Upper-regime plane bed. J. Hydraul. Eng-Asce. 124, 1086–1096 (1998).
39 Lee, J. Y., Singh, A. & Guala, M. On the scaling and growth limit of fluvial dunes. J. Geophys. Res-Earth 128 (2023).
Rijn, L. C. & 40 v. Sediment transport, part I: bed load transport. J. Hydraul Eng. 110, 1431–1456 (1984).
Bechteler, W., Vogel, G. & Vollmers, H. J. Model investigations on the sediment transport of a lower alpine river. Springer Berlin Heidelberg (1991).
Chabert, J. Formation des dunes et de rides Dans les modeles fluviaux. Bull. Du Centre De Recherches Et d’Essais De Chatou. 4, 31–52 (1963).
Guy, H. P., Simons, D. B. & Richardson, E. V. Summary of alluvial channel data from flume experiments. US Government Print. Office 1956–61 (1966).
Rijn, L. C. v. Sediment transport, part II: suspended load transport. J. Hydraul Eng. 110, 1613–1641 (1984).
Bradley, R. W. & Venditti, J. G. Reevaluating Dune scaling relations. Earth Sci. Rev. 165, 356–376 (2017).
Naqshband, S., Ribberink, J. S. & Hulscher, S. J. M. H. Using both free surface effect and sediment transport mode parameters in defining the morphology of river dunes and their evolution to upper stage plane beds. J. Hydraul. Eng. 140 (2014).
Nezu, I., Nakagawa, H. & Jirka, G. H. Turbulence in open channel flows. J. Hydraul Eng. 120, 1235–1237 (1994).
Raudkivi, A. J. Transition from ripples to dunes. J. Hydraul Eng-Asce. 132, 1316–1320 (2006).
Cisneros, J. & Best, J. Controls on the Leeside angle of dunes in shallow unidirectional flows. J Geophys. Res-Earth 129 (2024).
Kwoll, E., Venditti, J. G., Bradley, R. W. & Winter, C. Flow structure and resistance over subaquaeous high- and low-angle dunes. J. Geophys. Res-Earth. 121, 545–564 (2016).
Mehmet, S. & Yalin Geometrical properties of sand wave. J Hydraul. Eng. 90 (1964).
Bradley, R. W. & Venditti, J. G. Transport scaling of Dune dimensions in shallow flows. J. Geophys. Res-Earth. 124, 526–547 (2019).
Yalin, M. S. On the determination of ripple length. J. Hydraulics Div. 103 (4), 439–442 (1977).
Da Silva, A. M. F. & Yalin, M. S. Fluvial Processes (CRC, 2017).
Yalin, M. S. & Karahan, E. Steepness of sedimentary dunes. J. Hydraulics Div. 105 (4), 381–392 (1979).
Wren, D. G., Kuhnle, R. A., Langendoen, E. J. & Mcalpin, T. O. Sediment transport and bed topography for realistic unsteady flow hydrographs of varying length in a laboratory flume. J. Hydraul. Eng. 150 (2024).
Parker, G. Self-formed straight rivers with equilibrium banks and mobile bed. Part 1. The sand-silt river. J. Fluid Mech. 89, 127–146 (1978).
Gonçalves, J. A. & Henriques, R. UAV photogrammetry for topographic monitoring of coastal areas. Isprs J. Photogramm. 104, 101–111 (2015).
Anderson, K., Westoby, M. J. & James, M. R. Low-budget topographic surveying comes of age: structure from motion photogrammetry in geography and the geosciences. Prog Phys. Geog. 43, 163–173 (2019).
Brunier, G. et al. Assessing the relationship between macro-faunal burrowing activity and mudflat geomorphology from UAV-based Structure-from-Motion photogrammetry. Remote Sens. Environ 241 (2020).
Catano-Lopera, Y. A., Abad, J. D. & Garcia, M. H. Characterization of bedform morphology generated under combined flows and currents using wavelet analysis. Ocean. Eng. 36, 617–632 (2009).
Daubechies, I. The wavelet Transform, Time-Frequency localization and signal analysis. Ieee T Inf. Theory. 36, 961–1005 (1990).
Idier, D., Ehrhold, A. & Garlan, T. Morphodynamics of an undersea Sandwave of the Dover Straits. C.R. Geosci. 334, 1079–1085 (2002).
Zuo, L. Q., Roelvink, D., Lu, Y. J. & Dong, G. H. Process-based suspended sediment carrying capacity of silt-sand sediment in wave conditions. Int. J. Sediment. Res. 37, 229–237 (2022).
Funding
This work was funded by the Open Research Fund of the Key Laboratory of Sediment Science and Northern River Training, Ministry of Water Resources, China Institute of Water Resources, and Hydropower Research (Grant No. IWHR-SEDI-2022-09), and the Natural Science Foundation of Fujian Province (Grant No. 2023J01406), and the National Natural Science Foundation of China (Grant Nos. 52009145, U2443224).
Author information
Authors and Affiliations
Contributions
Hao Wang: methodology. Lin Zhao: Writing-review & editing, Investigation. Dabao FU: Formal analysis, Investigation, Data curation. Xiaoxiao Liu: Visualization. Fang Li: Supervision, Resources. Yumin Gong: Supervision, Resources. All authors reviewed and approved the final manuscript.
Corresponding author
Ethics declarations
Competing interests
The authors declare no competing interests.
Additional information
Publisher’s note
Springer Nature remains neutral with regard to jurisdictional claims in published maps and institutional affiliations.
Rights and permissions
Open Access This article is licensed under a Creative Commons Attribution-NonCommercial-NoDerivatives 4.0 International License, which permits any non-commercial use, sharing, distribution and reproduction in any medium or format, as long as you give appropriate credit to the original author(s) and the source, provide a link to the Creative Commons licence, and indicate if you modified the licensed material. You do not have permission under this licence to share adapted material derived from this article or parts of it. The images or other third party material in this article are included in the article’s Creative Commons licence, unless indicated otherwise in a credit line to the material. If material is not included in the article’s Creative Commons licence and your intended use is not permitted by statutory regulation or exceeds the permitted use, you will need to obtain permission directly from the copyright holder. To view a copy of this licence, visit http://creativecommons.org/licenses/by-nc-nd/4.0/.
About this article
Cite this article
Wang, H., Zhao, L., Fu, D. et al. Experimental study on the three-dimensional structural characteristics of bedforms and their relationship with flow intensity. Sci Rep 16, 7762 (2026). https://doi.org/10.1038/s41598-026-39275-z
Received:
Accepted:
Published:
Version of record:
DOI: https://doi.org/10.1038/s41598-026-39275-z
















