Abstract
Determining the ecological water requirements is essential for the health of river ecosystems, with the concept of ecological flow being commonly used to characterize the status of rivers and lakes. However, the low hydraulic dynamics of channels in the river systems of the southern plain region makes ecological flow monitoring challenging. Consequently, the ecological water level is often used as a substitute for ecological flow to represent ecological water requirements. Nevertheless, the conceptual and intrinsic differences between these two parameters call into question the validity of this substitution, for which there is a lack of thorough verification. Bearing this in mind, this study aims to evaluate the effectiveness of ecological water level as an optimal representative of ecological water requirements in rivers in the southern plain region, China. The present study selected three representative hydrological stations-Jinsuozhen Station, Sihong Station, and Shuanggou Station-in the Jiangsu plain as control sections for investigation. A comprehensive analysis of the correlation and periodicity characteristics between meteorological-hydrological factors is conducted, with multiple methods employed to calculate the alteration degree of IHA. The appropriate ecological water level is determined by the RVA threshold for the monthly average water level during the undisturbed period before the abrupt change point occurred. The Tennant method is further applied to evaluate whether the proposed ecological water level meets the multi-year average water level requirements. The results demonstrate that: (1) Significant positive correlations and periodicity characteristics exist between meteorological and hydrological factors in the study area. (2) The calculation of the overall alteration degrees was performed using three distinct methodologies: IHA-RVA, EWM, and HMA. The results are outlined below: Jinsuozhen Station (41.57%, 34.95%, 18.31%), Sihong Station (20.36%, 14.05%, 13.13%), and Shuanggou Station (26.24%, 16.98%, 12.54%). The results obtained from this study suggest that the overall hydrological alteration level across all stations is relatively low. (3) The evaluation results of the selected appropriate ecological water level at the three hydrological stations’ control reaches demonstrated good performance, meeting the multi-year average water level requirements. This finding suggests that the current hydrological regime remains stable and intact, thereby providing a healthy environment conducive to the development of in-stream flora and fauna. Consequently, within river systems of the southern plain, ecological water level can function as a reliable surrogate for ecological water requirements, effectively supplanting ecological flow as a means to evaluate the ecological status of rivers and lakes.
Similar content being viewed by others
Rivers and lakes have been shown to play a vital role in maintaining water resource balance1,2, improving ecological environments3,4, and regulating climate5,6. The health of rivers and lakes refers to a state in which their ecological functions and biodiversity remain undamaged, enabling them to meet the needs of human societal life and support sustainable development7,8,9,10. However, as the level of water resource development and utilization has increased, the phenomenon of overexploitation of river and lake water resources has gradually intensified. This has resulted in the degradation of aquatic ecosystems, causing varying degrees of damage to the health of many rivers11,12,13,14. There has been a steady increase in the level of international attention being paid to this phenomenon. On 25 September 2015, the United Nations adopted a set of 17 Sustainable Development Goals (SDGs)15,16, with the unanimous agreement of all 193 member states. As delineated in Target 6 and Target 14, the requirements for the sustainable development of aquatic ecosystems are specified. The People’s Republic of China is not an exception to this phenomenon. In 2020, the China’s Ministry of Water Resources issued the Guidelines on Determining and Ensuring Ecological Flow in Rivers and Lake (Water Resources Management, (2020), No.67)17, which explicitly defines ecological flow as “the flow (requirement/water level) and its temporal variation that must be maintained within water bodies to preserve the structure and function of aquatic ecosystems while meeting water quality standards.” The guidelines further specify that “for plain river networks and lakes, ecological water level (requirement) targets should be determined based on maintaining basic ecological functions,” while also outlining implementation objectives for the management of ecological flow. Consequently, there is an urgent necessity to implement ecological protection measures for river and lake ecosystems. Among these, the quantitative determination of ecological flow, as one of the key indicators for assessing water ecological health16,18,19,20, has become a critical step in safeguarding the health of rivers and lakes.
Geomorphological variations not only shape distinctive topographical features but also exert a profound influence on the ecological environment of rivers and lakes. Jiangsu Province is located within Yangtze River Delta region of China, which is typical by a plentiful network of rivers21. The water bodies within its river channels exhibit poor flow dynamics and minimal fluctuations, often remaining in a state of stagnation or enclosed slow-moving conditions22. This complicates direct observation of ecological flow in this region. However, water level data is well-documented in these areas. Consequently, many researchers23,24,25,26,27 prefer to use the term “ecological water level” rather than “ecological flow” when describing ecological water requirements. Nevertheless, the two concepts are not synonymous in terms of their intrinsic meaning. The term ‘’ecological water level’’28 refers to the minimum water level required to maintain the structural and functional integrity of ecosystems, as well as biodiversity. The term ‘’ecological flow’’29,30,31is employed to denote the quantity, timing, and quality of water flows that are necessary to sustain freshwater and estuarine ecosystems, as well as to support human livelihoods that are contingent upon these ecosystems. While there are similarities between the two, a fundamental difference in essence exists. At present, there is an absence of concrete evidence to support the claim that using ecological water level to represent ecological flow is reasonable. The primary objective of this paper is, therefore, to determine the optimal method of representing ecological water requirement in rivers in the southern plains region and to demonstrate the rationality of using ecological water level to represent ecological flow in this area.
Dong Zheren32 identified five critical ecological elements of aquatic ecosystems. These are outlined below: the spatiotemporal variability of the hydrological regime, the spatial heterogeneity of river-lake geomorphology, the three-dimensional connectivity of river and lake systems, the suitable physicochemical parameter ranges for aquatic biota, and the food web structure and biodiversity. Collectively, these elements fulfil a pivotal role in maintaining the health and stability of aquatic ecosystems. Considering data accessibility and practicality, the present study determines the characterization method for ecological flow in southern plain rivers through the lens of spatiotemporal variability in the hydrological regime. This approach ultimately validates the use of ecological water level as a scientifically sound proxy for ecological flow in assessing the health of river-lake ecosystems in these regions.
The term “hydrological regime” is employed to denote the spatiotemporal variations of hydrological elements (e.g., flow, level) in natural water bodies, including rivers, lakes, and reservoirs. These regimes function as critical indicators of water security and ecosystem stability. Climate change has been demonstrated to exert an effect on terrestrial water cycles and the distribution of water resources by modifying hydrometeorological elements33. This, in turn, has been shown to impact ecological systems. Consequently, it is imperative to investigate the interrelationships between meteorological and hydrological factors. The hydrological regime of a body of water is intrinsically linked to the health and stability of the aquatic ecosystems within that body. It is evident that alterations in the aforementioned regime have the capacity to modify ecosystem composition, structure, and functionality. This is achieved by affecting critical parameters such as water temperature, dissolved oxygen level, and chemical properties. In addition, hydrological variations both interannually and interannually have been demonstrated to serve as vital triggers for completion of the life cycles of aquatic organisms34,35. Furthermore, the existence of hydrological connectivity means that hydrological processes affect the exchange and transfer of matter and energy between aquatic ecosystems. The utilization of hydrological parameters for the evaluation of the health of river ecosystems has been identified as a promising and effective approach36. This approach is especially appropriate for regions with limited data resources, and it has been demonstrated to be more viable when implemented in such areas37. The spatiotemporal variability of hydrological regime is the fundamental driver of material fluxes, energy flows, information transfer, and species dispersal in river systems32,38,39. Substantial alterations in the hydrological regime have been demonstrated to result in the degradation of aquatic ecosystems. Conversely, minimizing hydrological changes has been shown to be a beneficial factor in preserving ecological health in aquatic ecosystems40,41. This research examines the interrelationship between meteorological and hydrological factors in the study area and analyses the degree of hydrological alteration to determine whether the current hydrological regime meets the requirements for an ecological water level. The present study aims to establish a method for characterizing ecological flow in rivers in China’s southern plains region, providing theoretical support for using ecological water level as an optimal representation of ecological flow in these rivers.
The technical flowchart of this study is illustrated in Fig. 1.
Technical flowchart.
Study area and data
Suqian City is located in the northern Jiangsu Province, with coordinates extending from 33°8′ to 34°25′ North, 117°56′ to 119°10′ East. The topography is predominantly flat, with the majority of the areas lying below 50 m above sea level, extending across the Yangtze and Huai River systems42. The locations and information of the hydrological stations are presented in Table 1. As delineated in Fig. 2, the rivers controlled by the three hydrological stations (Jinsuozhen Station, Sihong Station and Shuanggou Station) ultimately flow into Hongze Lake, the second-largest freshwater lake in Jiangsu Province. The hydrological regime of upstream rivers flowing into the lake have a decisive impact on the health of the lake ecosystem. All three rivers are located within the same hydro-climatic zone, and their catchment areas exhibit similar spatiotemporal patterns in key drivers such as precipitation and runoff. This ensures the comparability of responses across sites to regional hydro-climatic conditions. Similarly, as key sources of inflow within the same lake system, these three form a core hydrological unit that influences the water balance and quality of Hongze Lake. Despite the physical differences between the three rivers (as shown in Table 1) and their specific objectives for the development and utilization of water resources, it is scientifically significant to determine their differentiated ecological flow thresholds in accordance with Jiangsu Province’s unified requirements for the ecological management of rivers and lakes. This approach explores refined water resource regulation models tailored to different management objectives within similar natural contexts. The hydrodynamic conditions in plains river basins are insufficient, resulting in poor river flow dynamics. As demonstrated in Fig. 3, the daily fluctuations in water level at each station during the study period are apparent. The data reveal minor, relatively small annual fluctuations in the study area, with water level typically maintained between 12.50 and 13.50 m. During the summer flood season (June-August), the level rises significantly to between 15.5 and 16.5 m, occasionally peaking at 17.5 m. Despite the limited range of variation, an elevated water level is observed for extended periods. Inter-annual variability remains limited, as is characteristic of a typical plain region.
Location map of the study area. *Note The map illustrates the geographical location of the study area, along with the positions of the hydrological stations selected in this study and the river they control. This map was generated using ArcMap software (version 10.8.2; https://www.arcgis.com), with base geographic data sourced from the Geospatial Data Cloud.
This study selected three rivers in Suqian City, Jiangsu Province, the Xuhong River, the Sui River (Old Sui River and New Sui River), and the Huaihong New River–as case studies. Cross-sections corresponding to the Jinsuozhen, Sihong, and Shuanggou hydrological stations were analyzed using a 21-year dataset (2002–2022) to develop methods for characterizing the ecological water requirements of rivers in the southern plain region.
Daily water level variations during the study period (3 stations).
Methodology
This research established an integrated analytical framework to systematically determine the characteristics of hydrological changes and their driving mechanisms in the study area. First, we analyze the dynamic coupling relationship between meteorological and hydrological elements. Through correlation analysis, we identify the trend relationship between precipitation and water level, revealing the dominant influence of meteorological factors on hydrological conditions. In practice, however, the relationship between the two is not fixed. Instead, it exhibits varying degrees of coupling at interannual scales. Therefore, conducting a multiscale analysis of both variables in the time-frequency domain using wavelet analysis aids understanding of the periodic characteristics of hydrological conditions and their potential linkages to climate oscillations. Hydrological regimes are not static; they are subject to change due to various factors, including external environmental influences. We therefore employ mutation detection methods to identify critical time points at which alterations occur in hydrological sequences. These three elements do not operate in isolation, but rather aim to construct a mechanistic, three-dimensional explanation of hydrological changes: ‘driving relationships’, ‘temporal rhythms’ and ‘timing of shifts’. Together, they serve to answer a series of interconnected scientific questions: ‘What does change look like?’, ‘What is it connected to?’, and ‘When might transformation occurs?’ Calculating the degree of hydrological alteration before and after the mutation provides a better understanding of how hydrological conditions have evolved in the study area. Finally, by calculating ecological index and evaluating the fulfillment of appropriate ecological water level, we can further determine the hydrological conditions of the study area. This approach enables a more accurate assessment of watershed health, thereby establishing the rationality and feasibility of using ecological water level to characterize ecological water flow.
Linear regression analysis
Linear Regression (LR)43 is a statistical method that employs regression analysis in the field of mathematical statistics to ascertain the quantitative relationship of interdependence between two or more variables. The present study incorporates a single independent variable (precipitation) and a single dependent variable (water level), employing univariate linear regression analysis on both to preliminarily ascertain their changing trends44. This results in a straight line of \(\:y=ax+b\)45,46, which approximately expresses the linear relationship between them. In this context, precipitation is understood to denote annual rainfall, while water level is defined as the annual average water level.
Wavelet analysis
The wavelet analysis is a widely utilized technique for the multi-scale analysis of meteorological and hydrological data both domestically and internationally47,48,49,50,51. The employment of wavelet transforms facilitates the identification of both localized and transient phenomena across diverse temporal scales52. The Continuous Wavelet Transform (CWT)53,54 is a technique that can identify variations in continuous time series. The Cross Wavelet Transform (XWT)55 and Wavelet Coherence (WTC)56,57 combine wavelet transform with cross-spectral analysis to reveal the correlations and phase relationships between two time series in the time-frequency domain. The XWT is a statistical technique that is primarily employed to identify instances where two signals demonstrate a substantial degree of coherence with respect to time, frequency, or periodicity. The utilization of diverse colors in the figure is indicative of the intensity of the spectrum, thereby reflecting the relative level of energy. The primary function of WTC is to reveal the strength and phase relationship of the correlation between two signals. The coherence coefficient, ranging from 0 to 1, with values closer to 1 indicating strong synchronization between the signals at a specific period (frequency), and a value of 0 suggesting no synchronized variation, is a valuable metric in this analysis. It is evident that the consequence of the edge effect is that the boundary of the wavelet analysis forms a curve. The curve is known as the Cone of Influence (COI). The wavelet coefficients within this curve are more reliable. Consequently, areas outside the COI are not considered. In this study, the CWT was selected for the purpose of identifying periodic oscillations relationships within meteorological-hydrological sequences. The XWT and WTC were employed to ascertain the phase relationships between rainfall-runoff patterns (regional hydrological regimes) and river water level variations (river hydrological regimes), thereby revealing the influence of meteorological characteristics in the study area on river water level dynamics.
Mutation testing
River water level are influenced by several factors, including climate change, hydraulic engineering infrastructure, and human activities. These variations represent the integrated effects of the aforementioned drivers. The statistical characteristics of water level can undergo significant abrupt changes in specific years, necessitating the identification of these change points. The Mann-Kendall test (M-K) is a statistical technique used to identify sudden changes or transitions in time series data58,59,60,61,62,63. The Pettitt test is a statistical procedure that is specifically designed for the purpose of detecting both the location and quantity of change points in a data set64. In addition to this, it also performs a statistical assessment to determine the significance of these change points65,66. In order to validate the results obtained from the two aforementioned detection methods, the Sliding T-test can be employed for further verification67,68,69,70. In order to accurately identify significant change points in the time series, the present study applies the M-K test, Pettitt test, and Sliding T-test to detect abrupt changes in daily water level data (2002–2021) from three hydrological stations: Jinsuozhen, Sihong, and Shuanggou.
IHA-RVA method
River hydrological processes exhibit complex dynamics that can be systematically studied through established indicator systems. The most widely applied framework is the Indicators of Hydrologic Alteration (IHA). In response to the observed relationships between river hydrological elements and ecosystems, Richter transformed daily time-series data into a suite of ecologically relevant and representative indicators, thereby establishing the IHA framework71,72,73. The framework comprises 33 evaluation indicators, which are distributed across five categories (see Table 2). It is argued that this provides a comprehensive framework for quantifying the degree of hydrological regime alteration. As the selected data period for the study area did not include any river drying events, the hydrological indicator “zero-flow days” (\(\:{IHA}_{23}\)) from the second parameter group was excluded from further consideration. Consequently, this research considers only 32 IHA. Building upon this framework, Richter proposed the Range of Variability Approach (RVA) to further quantify hydrological alterations71,74,75. The RVA employs established ecohydrological indicators to assess the degree of hydrological alteration, quantifying post-disturbance changes through the Alteration Degrees \(\:{D}_{i}\):
\(\:{D}_{R,m}\) is the accepted abbreviation for the degree of alteration for the \(\:m\)-th IHA parameter. \(\:{N}_{o,m}\) denotes the number of post-impact years where the \(\:m\)-th IHA value falls within the RVA target range of threshold. \(\:{N}_{e}\) is indicative of the expected number of years for the IHA metric to naturally occur within the RVA target range. In this study, the 25th and 75th percentile frequency values of each hydrological indicator were adopted as the lower and upper RVA thresholds, respectively76,77,78. \(\:p=50\%\); \(\:{N}_{t}\) denotes the total number of post-impact years in the analysis. The alteration degree, designated\(\:{D}_{i}\), is categorized into three tiers71: Low (L): \(\:\left[0\sim\left.33\%\right)\right.\), Moderate (M): \(\:\left[33\%\sim\left.67\%\right)\right.\), High (H): \(\:\left[67\%\sim100\%\right]\). The overall hydrological alteration degree \(\:{D}_{0}\) is calculated as:
The conventional approach for determining the overall hydrological alteration degree (\(\:{D}_{0}\)) involves the calculation of the root mean square (RMS) of the alteration degrees (\(\:{D}_{i}\)) of all 32 IHA. However, given that each value is squared during the calculation process, the presence of extreme values (either very large or very small) in the dataset has the potential to skew the results towards these outliers. Consequently, in instances where the data exhibits significant skewness, the RMS may not accurately represent the true distribution of the data. In order to comprehensively account for the varying importance of different data points and mitigate the influence of extreme values on the overall average, this study introduces the concept of Entropy Weighted Overall Hydrological Alteration Degree (\(\:EW{-D}_{0}\)). The Entropy Weight Method (EWM) is employed to determine the weight (\(\:{\omega\:}_{i}\)) of each IHA, thereby assigning differential weights to reflect their relative significance in the holistic assessment. The EWM is an objective approach for determining indicator weights by constructing an evaluation matrix from the assessment criteria. The elimination of subjective biases is maximized, ensuring that results closely align with reality79. The method has been widely adopted in practice80,81. The fundamental principle is as follows. For a given indicator, the greater the divergence among its values, the more significant its role in the comprehensive evaluation and the higher its assigned weight. In the event of the divergence being zero, the indicator contributes nothing to the evaluation.
Histogram matching approach (HMA)
The RVA exclusively considers the frequency of hydrological parameters falling within the target range, without accounting for variations within that range or the possibility of parameters exceeding the bounds (above the upper limit or below the lower limit). This oversight has the potential to result in erroneous assessments of hydrological conditions. Consequently, Shiau82 proposed the Histogram Matching Approach (HMA) to assess alterations in flow regimes, a methodology which has been successfully implemented in a number of research case studies. The HMA83 utilizes histogram dissimilarity as an impact assessment metric, employing quadratic-form distance to quantify the dissimilarity between pre- and post-impact frequency vectors. This distance is weighted by a similarity matrix that has been specifically designed for this purpose. In essence, the quantification of the alteration is achieved by comparing the histogram distributions of IHA in the periods pre- and post-impact. In comparison to RVA, HMA places significant emphasis on preserving the natural variability of flow regimes, thus serving as an effective method for assessing hydrological alterations. In addition, it can be integrated with multi-objective optimization genetic algorithms to determine optimal ecological flows that balance ecosystem sustainability and human needs. This provides robust support for ecological flow determination and optimization. The precise calculation process is outlined in References 82,83, further elaboration is not provided here.
Calculation of ecological index based on multi-criteria decision evaluation IHA using entropy
In the proposal, Kim Z84 set out a novel method for calculating the ecological index. This is based on the integration of probability density functions (PDFs) with ordered weighted averaging85,86,87(OWA) operators based on entropy. The application of this approach is illustrated by means of an analysis of South Korea’s Geum River. The calculation of the ecological index (Eco-index) from IHA is a process that is primarily comprised four steps:
-
(1)
Calculate the probability distribution of IHA.
-
(2)
Calculate the Non-Satisfaction Level (NSL) of ecological conditions. The NSL has been developed for the purpose of quantifying the degree of ecosystem disruption before and after a change point. An elevated NSL value is indicative of a more substantial system disturbance.
-
(3)
Calculate the OWA operator. As demonstrated in Table 3, the composite evaluation indicators (OWA aggregation values) calculated via OWA are characterized by divergent practical implications, contingent upon the specific aggregation value.
-
(4)
Calculate the Eco-index.
The precise calculation formula can be located in References 84–87, further elaboration is not included here.
Determination of appropriate ecological water level
There are mainly four categories for calculating ecological flow88,89: the hydrological method, the hydraulics method, the habitat simulation method and the holistic analysis method. Among these, the hydrological method requires only historical flow data to determine ecological flow, and its simplicity of calculation has led to its widespread application90,91,92. The hydrological methods encompass the Tennant method93, the 90% guarantee rate method (Q90)67, the flow duration curve method (FDC)94, the RVA method95, and other approaches. In this study, the Tennant method was combined with RVA96. The RVA method was utilized to ascertain the appropriate ecological water level, which were subsequently evaluated through the Tennant method to determine the extent to which ecological water requirements were satisfied. The specific evaluation steps are as follows:
(1) Utilizing the mutation point as the delineating boundary, the time series prior to the mutation point is designated as the natural flow process. The water level data is treated as an unaffected water level sequence, which is then utilized to calculate the suitable ecological water level for the study area. The determination of the suitable ecological water level is made by the monthly average water level RVA threshold (P = 25% and P = 75% for upper limit and lower limit, respectively). Natural river flow processes are considered to represent the optimal flow regime for river ecosystems97,98. In the presence of external environmental factors, there is often a significant alteration to the hydrological regime99. It is therefore proposed that the utilization of natural flow processes as upper and lower thresholds should be employed in order to maximize the preservation of a river’s ecological integrity, whilst concomitantly eliminating interference from external environmental changes. This approach delineates an ecological water level target range that more accurately approximates natural conditions.
(2) The post-mutation water level data are treated as the affected water level series, and the Tennant method is used to evaluate the fulfillment degree of suitable ecological water level. The evaluation classification grades are shown in Table 4.
Results and analysis
Multi-scale coupling relationships between meteorological and hydrological elements
In order to comprehend the interplay between meteorological (precipitation) and hydrological (water level) factors, and to elucidate the impact of precipitation on river water level variation patterns within the designated area, this section employs a multi-level analytical framework that progresses from the overall to the local scale and from the time domain to the time-frequency domain. Firstly, the employment of linear regression analysis enables the quantification of the overall trend between the two variables. Subsequently, the CWT is utilized to reveal their periodic variation characteristics. Finally, XWT and WTC are applied to investigate their local correlations and phase relationships within specific time-frequency domains, thereby systematically elucidating the dynamic coupling mechanism between them.
-
(1)
Linear Regression Analysis.
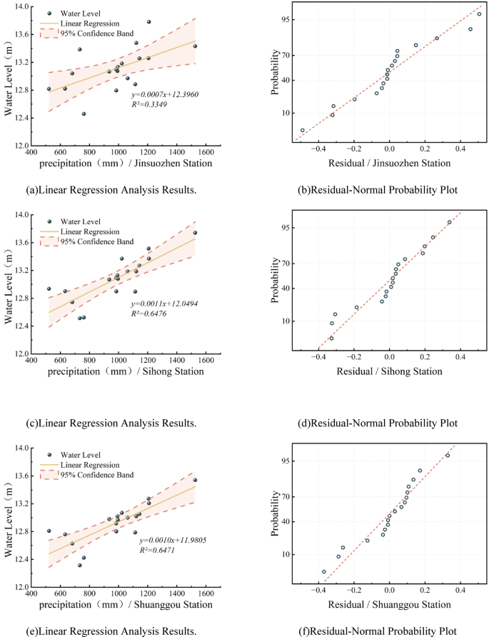
The findings of the linear regression analysis between precipitation from 2002 to 2019 and water level from the three hydrological stations (Jinsuozhen, Sihong, and Shuanggou) are presented in Fig. 4.
Linear regression analysis results of meteorological and hydrological elements (3 Stations). Note Plots (a), (c), and (e) present the linear regression results, with the yellow line denoting the linear fit curve between precipitation and water level. The orange area delineated within the orange dashed box indicates the 95% confidence band, denoting the range of the 95% confidence interval surrounding the regression line. It is evident that a narrower confidence interval band is indicative of a higher degree of model accuracy. The residual-normal probability plots (b), (d), and (f) are utilized for the purpose of ascertaining whether the residuals approximate a normal distribution. In the event of the residuals being normally distributed, the scatter points should align approximately along a straight line. Otherwise, they will deviate.
Figure 4a, c, e respectively display the linear regression results between precipitation and the water level of the river sections controlled by the three hydrological stations: Jinsuozhen Station, Sihong Station, and Shuanggou Station. It can be observed that as precipitation increases, the water level all show a rising trend, indicating a positive correlation between the two. The R² values were 0.3349, 0.6476, and 0.6471, respectively, indicating a satisfactory model fit. Precipitation has been identified as a primary factor influencing fluctuations in water level. The narrow 95% confidence band indicates a high degree of model accuracy. As illustrated in Fig. 4b, d, f, the residual normal probability plots for three hydrological stations are presented. The points are generally distributed along the diagonal, with no obvious outliers or anomalous points. The distribution of residuals is found to be concentrated around zero, with a symmetrical tendency. This finding suggests that the residuals follow a normal distribution, thereby indicating that the model is relatively reliable and reasonably configured.
-
(2)
Periodicity Analysis.
The CWT has been demonstrated to be a valuable tool for the analysis of periodic variations in precipitation and water level. The periodic analysis results of precipitation at the Sihong Meteorological Station from 2002 to 2019 are displayed in Fig. 5. Among them, (a) is the real part diagram of the wavelet coefficients, which displays the changes in the real part of the wavelet coefficients across different years and periods. Peaks of significance appear at particular years, indicating notable fluctuations in the real part of the wavelet coefficients at specific periods near these years. The regions marked in red on the figure represent higher positive values of the wavelet coefficient real part, whilst the regions marked in blue represent negative values of the wavelet coefficient real part. It is the red regions that are of particular interest. (b) is the wavelet variance diagram, which shows the trend of wavelet variance with respect to the period. This can be conceptualized as the energy magnitude of disparate periodic components, aiding in the identification of the most significant periods in the data. The presence of a peak within this cycle indicates that the wavelet variance in this cycle is the most significant, as opposed to any other cycle.
Analysis results of rainfall periodicity at sihong meteorological station from 2002 to 2019.
As illustrated in Fig. 5a, it is evident that around 2010, within the 10–16-year period range, the real part of the wavelet coefficients demonstrated significant fluctuations, thereby forming a distinct peak region near the 12–16-year period. Furthermore, a secondary cycle is evident within a shorter time frame (4-8-year). As illustrated in Fig. 5b, the trend of wavelet variance with period is evident. The three peaks observed in the data suggest that the precipitation is predominantly concentrated within 4-year, 7.5-year, and 12-year cycles. Among these, the 12-year cycle peak is the most prominent, suggesting that the 12-year cycle is more significant than the 4-year and 7.5-year cycles and can be considered the first principal cycle. The findings of both figures emphasize that the period around 2010 is a relatively critical time point, during which the fluctuations of the 12-year cycle are particularly pronounced. This finding suggests that the data was significantly influenced by periodic factors around this time.
The results of the periodic analysis of the annual average water level from 2002 to 2019 at three hydrological stations, Jinsuozhen Station ((a), (b)), Sihong Station ((c), (d)), and Shuanggou Station ((e), (f)), are shown in Fig. 6. Of particular note are (a), (c), and (e), which represent the real part diagrams of the wavelet coefficients, whilst (b), (d), and (f) display the wavelet variance diagrams.
As illustrated in Fig. 6a, the water level at Jinsuozhen Station displays periodic fluctuations with a periodicity of 2–4-year and 7-16-year, exhibiting varying degrees of significance. Prominent peaks emerge around 2005 and 2010, corresponding to a cycle of approximately 10-year. As illustrated in Fig. 6b, the presence of two peaks indicates the existence of two dominant cycles in the water level at Jinsuozhen Station. The 7.5-year and 12.5-year cycles are of particular significance, with the latter being the more dominant. As illustrated in Fig. 6c, the water level at Sihong Station exhibits periodic fluctuations with a period of 4–8-year and 10-14-year, indicating varying degrees of significance. Peaks of significance are evident around the years 2005 and 2010, indicating that the water level was significantly influenced by an approximately 10-year cyclical factor during these periods. As illustrated in Fig. 6d the most significant peaks for Sihong Station manifest at cycles of 7.5-year and 12.5-year, with the 12.5-year cycle exhibiting greater prominence. As illustrated in Fig. 6e, the water level at Shuanggou Station displays two prominent peaks and a trough region, suggesting distinct periodicities in the data. The most pronounced peaks fall within the 10–16-year cycle range. As illustrated in Fig. 6f, the water level at Shuanggou Station exhibits significant peaks at 7.5-year and 12.5-year cycles, with the 12.5-year cycle demonstrating the greatest dominance. This phenomenon is analogous to those observed at Jinsuozhen and Sihong Stations. It is evident that, within the period spanning from 2002 to 2019, the most substantial periodic variation in the data emanated from the 12.5-year cycle, with the 7.5-year cycle following closely behind.
Analysis results of periodicity in average water level from 2002 to 2019 (3 Stations).
-
(3)
Wavelet Analysis.
The following section will present the results of the XWT and WTC analyses between precipitation and water level at the three hydrological stations (Jinsuozhen, Sihong, and Shuanggou) from 2002 to 2019, as illustrated in Fig. 7. Plots (a), (c), and (e) illustrate the XWT spectra, while plots (b), (d), and (f) demonstrate the WTC spectra.
Cross-wavelet & coherence spectra: meteorological-hydrological variables (3 stations).
As illustrated in Fig. 7a, c, and e, within the COI, the meteorological and hydrological elements at the three hydrological stations do not exhibit 95% significance contours. This finding suggests that there is inadequate evidence to substantiate substantial synchronous high-energy oscillations between the meteorological and hydrological elements within the examined time series. However, this does not imply a complete absence of association. Although not statistically significant, common high-power regions with consistent phase arrows (→) were observed at the 1-year scale during the period 2006–2008 within the COI. This finding suggests the presence of weak synchrony, a hypothesis that requires validation using longer time series. As illustrated in Fig. 7b, the Jinsuozhen Station exhibits 95% significance contours at the 0–2 years period scale during 2005–2010 and at the 2-year period scale during 2011–2012. As illustrated in Fig. 7d, the Sihong Station exhibited 95% significance contours at the 0-2-year period scale during 2006–2012 and at the 2–3-year period scale during 2010–2015. Furthermore, as illustrated in Fig. 7f, the Shuanggou Station exhibits 95% significance contours at the 0-2-year period scale during 2005–2011 and at the 2–3-year period scale during 2010–2015. It is evident that all these significant regions feature stable phase relationships (→, ↗), indicating strong and consistent coherence. This finding suggests a sequence of events whereby precipitation events precede water level fluctuations, ultimately resulting in subsequent rises in water level.
Determination of mutation year
The abrupt change detection in the annual average water level series of Jinsuozhen Station, Sihong Station, and Shuanggou Station during the study period was conducted using the Mann-Kendall test, Pettitt test, and Sliding T-test (T = 5). The results of the test are displayed in Fig. 8; Table 5. This study aims to determine the probable final years of abrupt changes based on the following criteria: the years identified by at least two of the three methods are recognized as time points at which abrupt changes occurred in the hydrological sequence, as determined by a comprehensive comparison of the test results of the three methods.
Results from the Mann–Kendall, Pettitt, and Sliding T Mutation tests.
As demonstrated in Fig. 8, the years of abrupt change identified for Jinsuozhen Station were consistently 2014 according to the M-K test, Pettitt test, and Sliding T-test. For Sihong Station, the M-K test detected abrupt changes in 2010, 2016, 2018, 2020, and 2021, the Pettitt test identified 2009 as the abrupt change year, and the sliding T-test indicated abrupt changes in 2009 and 2014. A similar pattern was observed at Shuanggou Station, where the M-K test indicated abrupt changes in 2010, 2017, 2020, and 2021, the Pettitt test identified 2009 as the abrupt change year, and the sliding T-test suggested abrupt changes in 2009 and 2014.
The results of the three testing methods are shown in Table 5. Following a comprehensive analysis of the results from the three methods, the optimal abrupt change years for the three stations were determined as follows. The year 2014 is documented as the abrupt change year for Jinsuozhen Station, 2009 for Sihong Station, and 2009 for Shuanggou Station.
Analysis of hydrological alteration pre- and post-impact change
In order to undertake a quantitative analysis of the degree of hydrological alteration at the three hydrological stations, the daily water level data were divided into two study periods. This division was based on the identification of abrupt change years. For Jinsuozhen Station, 2014 was used as the boundary: the period from 2002 to 2013 represents the pre-impact baseline water level series under natural conditions before the abrupt change, while the period from 2014 to 2022 represents the post-impact altered water level series after the abrupt change. A similar approach was adopted in the case of Sihong Station and Shuanggou Station, with 2009 marking the boundary between the pre-impact phase (2002–2008) and the post-impact phase (2009–2022). For the sake of convenience, the term of “pre-impact” is use to denote the period preceding the abrupt change, while “post-impact” is used to denote the period following the abrupt change. Three methods, IHA-RVA, entropy weight analysis and HMA, were employed to measure the degree of hydrological alteration before and after the mutation. This allowed the stability of the hydrological regime in the study area to be assessed comprehensively.
Calculation results of the IHA- RVA
The IHA and the RVA were used to calculate the degree of hydrological alteration before and after the abrupt changes at the three stations. The 25th and 75th percentiles of the natural-state water level series were utilized as the lower and upper threshold limits for eco-hydrological targets, respectively. This facilitated the determination of the multi-year monthly average water level changes and the upper and lower threshold values of the hydrological regime targets before and after the abrupt changes. The numerical values of each IHA parameter, along with their respective degrees of alteration, both prior to and following the hydrological abrupt changes observed at the three stations, are presented in Table 6. The absolute values of alteration degrees for the 32 IHA hydrological indicators at the three stations before and after the abrupt change are shown in Fig. 9. As illustrated in Fig. 10, the proportions of high, moderate, and low alteration degrees are displayed within each indicator group for the three hydrological stations.
As illustrated in Fig. 9, for Jinsuozhen Station, among the 32 IHA, 5 indicators exhibited high alteration, \(\:{IHA}_{32}\) exhibited the highest alteration degree at 100%. Ten indicators exhibited moderate alteration, while the remaining 17 indicators exhibited low alteration. The proportions of high, moderate, low alteration are 15.6%, 31.3% and 53.1%, respectively. As illustrated in Fig. 10, high alteration degrees are present in Groups 1, 2, and 5, with proportions of 16.67%, 18.18%, and 33.33%, respectively. The findings indicated that the majority of parameters with the basin exhibited minimal fluctuations, suggesting a high degree of hydrological regime stability, consistent system operation, and an overall healthy state with robust resilience to external disturbances.
As illustrated in Fig. 9, for Sihong Station, no indicators showed high alteration, two indicators were classified as exhibiting moderate alteration, while the remaining 30 indicators exhibited low alteration. The proportions of high, moderate, low alteration are 0%, 6.3% and 93.7%, respectively. As illustrated in Fig. 10, Sihong Station exhibits no high alteration degrees in any of the five groups. The overall hydrological regime demonstrated stability, with the system exhibiting signs of health. It is acknowledged that seasonal fluctuations in water level can exert localized impacts on the ecosystem. However, these fluctuations are generally within the limits of what can be controlled, and result in minimal disruption to the overall hydrological cycle.
Degree of hydrological alteration for 32 IHA by IHA-RVA (3 Stations).
As illustrated in Fig. 9, for Shuanggou Station, only one indicator exhibited high alteration, while four indicatorsexhibited moderate alteration. The remaining 27 indicators demonstrated low alteration. The proportions of high, moderate, low alteration are 3.1%, 12.5% and 84.4%, respectively. As illustrated in Fig. 10, at Shuanggou Station, only Group 1 demonstrates a high alteration degree, accounting for 8.33%. The maintenance of stable monthly water level, in conjunction with moderate extreme water level, has been instrumental in preserving biodiversity and maintaining the integrity of habitat structures. The occurrence of moderate pulse events facilitated effective nutrient exchange, while stable water level fluctuations reduced the risk of dehydration stress. In such circumstances, the ecosystem-maintained stability, with all functions operating within normal parameters.
High alteration degrees may indicate unstable hydrological conditions, thus subjecting the ecosystem to multifaceted pressures and potentially pushing the system towards collapse or irreversible damage. It is suggested that moderate alteration degrees indicate a decline in ecosystem functions, although not beyond critical thresholds, thus allowing recovery to a normal state. The presence of low alteration degrees in hydrological indicators suggest that the watershed system underwent negligible alterations before and after the abrupt change, thereby indicating that the system is developing in a positive direction. The overall alteration degree (\(\:{D}_{0}\)) for Jinsuozhen Station was 41.57%, classified as moderate alteration. It is noteworthy that the deviation from the low alteration threshold is minimal, at 8.57%, indicating a relatively minor departure and a generally favorable overall condition. For Sihong Station, the overall alteration degree (\(\:{D}_{0}\)) was 20.36%, and for Shuanggou Station, it was 26.24%. The values obtained for both parameters fall within the low alteration category, which is indicative of high hydrological stability. Although minor fluctuations may occur, these remain within the system’s capacity for self-regulating capacity, thus the continued operation of all ecological functions within normal parameters.
The proportion of different degrees of alteration in each group of indicators (3 Stations).
Calculation results of the EWM
The weights of the 32 IHA for each station, calculated using the EWM, are displayed in Fig. 11, Table 7. It can be observed that the parameters in Group 4 (\(\:{IHA}_{27}\sim{IHA}_{30}\)) have relatively higher weights compared to other parameters, indicating that these indicators carry greater significance and richer information in hydrological regime analysis. The degree of alteration to which these elements are subjected has been shown to exert a more substantial impact on ecosystem stability. The mean weight for Group 2 (\(\:{IHA}_{13}\sim{IHA}_{24}\)) was found to be higher than that of the other groups, suggesting that this group makes a slightly more significant contribution to the overall evaluation results than the others. The calculation of the overall alteration degrees (\(\:EW-{D}_{0}\)) for each station, as determined by the EWM, is presented in Table 8. The hydrological alteration degrees obtained through the EWMare slightly lower than those derived from the traditional IHA-RVA approach. Nevertheless, the conclusions derived from both methods remain consistent: Jinsuozhen Station exhibits moderate alteration, while Sihong Station and Shuanggou Station show low alteration. This finding serves to further substantiate the earlier conclusion that the entire river system is evolving in a favorable direction. Even in the event of minor fluctuations, it is improbable that these will result in significant negative effects, as the system is capable of self-adjustment and the restoration of normality.
Weights of 32 IHA derived from the EWM (3 stations).
Calculation results of the HMA
The alteration degrees of each IHA for the three hydrological stations, as derived from the histogram matching method, are shown in Fig. 12. The overall hydrological alteration degree calculation results are shown in Table 8. A Comparison of the results obtained from the histogram matching method with those from the traditional IHA-RVA method for calculating hydrological alteration degrees reveals that the former generally yields smaller results.
Degree of Hydrological alteration for 32 IHA by HMA (3 stations).
For Jinsuozhen Station, all 32 IHA fall under the low alteration category, with an overall alteration degree of 18.31%, which is classified as low. At Sihong Station, the only sample that exhibits moderate alteration is \(\:{IHA}_{29}\), with a percentage of 35.43%. The remaining 31 IHA demonstrate low alteration, with an overall alteration degree of 13.13%. For Shuanggou Station, the 32 IHA demonstrate low alteration, with an overall alteration degree of 12.54%. The overall alteration degrees for all three stations are classified as low, indicating that the entire river system maintained high stability before and after the abrupt change. The hydrological regime remained stable, exhibiting minimal fluctuations, and the ecosystem maintained its proximity to its natural state. Human activities or external factors exerted minimal influence on hydrology, a state of affairs that is conducive to the preservation of ecosystem structure and function.
The IHA-RVA method is predicated on 32 independent hydrological indicators (see Table 2). The indicator values are calculated before and after the abrupt change, and the deviation degree is evaluated by comparing whether the indicators fall within the upper and lower threshold intervals. It has been demonstrated that indicators outside the threshold intervals exhibit more pronounced changes. Consequently, the results obtained by this method tend to be higher82,100,101. In contrast, the HMA method involves the comparison of the overall shape (frequency distribution histograms) of each parameter before and after the abrupt change, with the quantification differences by assessing their similarity. This approach is notable for its ability to account for variations across all intervals, a property that renders it infrequent for parameters to demonstrate 100% alteration, whilst concomitantly reducing the magnitude of high alteration degrees. As illustrated in Table 8, the overall hydrological alteration degree of Jinsuozhen Station calculated by IHA- RVA and the EWM indicates a medium alteration degree. However, the deviation from the upper threshold of low alteration degree is not significant. The HMA calculation reveals that the overall hydrological alteration degree of Jinsuozhen Station exhibits a low alteration degree. Calculation from all three methods indicate that the overall hydrological alteration degree of Sihong Station and Shuanggou Station both exhibit low alteration degrees. Despite the slight disparities between the three calculation methods, their ultimate outcomes prove to be consistent. This finding suggests that the hydrological alteration degrees at the three stations before and after the abrupt change were minimal. This outcome is indicative of a high level of hydrological integrity, with the aquatic systems demonstrating a high degree of stability.
Calculation of the ecological index (Eco-index)
The NSL results for the 32 IHA at each station, calculated using the formula, are shown in Fig. 13. The NSL is a method of quantifying the degree of ecosystem disturbance, both before and after the abrupt change. An elevated NSL value is indicative of a more pronounced disruption to the natural hydrological rhythm, which is a consequence of increased human interference with natural hydrological processes and, consequently, a greater impact on ecosystem stability. At Jinsuozhen Station, the NSL values are consistently below 0.4. For Sihong and Shuanggou Stations, the \(\:{IHA}_{31}\) exhibits the highest NSL values: 0.67 and 0.56, respectively. However, overall, the NSL values fluctuate around 0.5, and most hydrological parameters show small entropy changes before and after human interventions. This finding suggests that the extent of human disturbance to the hydrological system remains moderate and that the ecosystem retains a certain capacity for adaptation to external disturbances, thereby maintaining a relatively healthy state.
NSL values of 32 IHA (3 Stations).
The results of the OWA calculation for the NSL of each indicator at the three stations are presented in Fig. 14. At Jinsuozhen Station, the 12 indicators in Group 1, 11 indicators in Group 2, and 3 indicators in Group 5, as well as the 12 indicators in Group 1, 11 indicators in Group 2, 2 indicators in Group 3, and 4 indicators in Group 4 at Sihong and Shuanggou Stations, exhibit relatively uniform distributions within their respective groups. This finding indicates that each indicator contributes equally to the composite index (in this study, the Eco-index), suggesting an overall favorable state. However, at Jinsuozhen Station, \(\:{IHA}_{25}, {IHA}_{27}, {IHA}_{30}\) exhibit relatively large OWA values, indicating that higher values (e.g., higher non-satisfaction level, NSL) are given greater emphasis in the aggregation process. However, as demonstrated in Fig. 13, the NSL values of these three indicators are comparatively low, thereby highlighting a contradiction between the local significance of hydrological disturbances and the overall controllability of these disturbances. In order to achieve sustainable watershed development, ecological management must balance global considerations with targeted attention to critical gaps. It is impressive to closely monitor these three indicators due to their potential high ecological NSL, which allows for timely adjustments to be made to maintain ecosystem stability. As demonstrated by the \(\:{IHA}_{31}\) indicator at Sihong and Shuanggou Stations, elevated NSL and substantial OWA values are indicative of its considerable ecosystem impact. This underscores the necessity for prioritized attention in order to mitigate its potential effects.
OWA of NSL of 32 IHA (3 stations).
The calculated ecological indices (Eco-index) for the three stations are presented in Table 9. Jinsuozhen Station’s Eco-index is 0.24, which is classified as a low ecological index. This finding suggests that hydrological rhythms remain unaltered to a minimal extent, with the aquatic ecosystem exhibiting only a negligible change in its natural water level and flow patterns. Human activities, including but not limited to agricultural development and urbanization, as well as the construction of water conservancy facilities, have had negligible effects on surface runoff patterns. The ecosystem remains in a highly natural state, characterized by the presence of stable biological communities, a high diversity of key species, and well-preserved habitat integrity. The riparian vegetation coverage is healthy, and there is no significant degradation in the functioning of the system. The Eco-index values of Sihong Station and Shuanggou Station were determined to be 0.52 and 0.49, respectively. These values place the stations within the mid-range of the ecological index. This finding indicates that the ecosystems have been subjected to moderate disturbance, with significant alterations in specific hydrological parameters. While the systems have been affected, they have not yet reached critical thresholds. They demonstrate a high degree of resilience, with the capacity to adapt through mechanisms such as species migration and modification of habitat structure. These adaptations enable them to mitigate the adverse effects of hydrological changes, thereby ensuring the continued operation of fundamental ecosystem functions.
Appropriate ecological water level for the research study
In light of the presence of significant abrupt change points in the research data series, the water level series at Jinsuozhen Station was divided into two periods using 2014 as the boundary. The 2002–2013 series is representative of the natural-state flow process, while the 2014–2022 series is representative of the flow process under external influences. A similar approach was adopted for Sihong Station and Shuanggou Station, with 2009 serving as the boundary between the 2002–2008 and 2009–2022 flow processes.
As calculated from the pre-impact abrupt change data, the RVA thresholds (P = 25% and P = 75% for the upper and lower limits, respectively) for the monthly average water level in the river reaches controlled by the three hydrological stations can be calculated. A comparison with the post-impact multi-year mean monthly water level is shown in Fig. 15. As demonstrated by the data, the multi-year mean monthly water level at Jinsuozhen Station during July to August and November was found to be within the RVA thresholds. However, the multi-year mean of the monthly water level recorded between January and June, and between December, was found to be above the upper threshold limit. Conversely, the multi-year mean of the monthly water level recorded in September and October was found to be below the lower threshold limit of RVA. The multi-year mean monthly water level at Sihong Station from January to June and in December was within the RVA thresholds, while the multi-year mean monthly water level from July to November was below the lower limit of the RVA threshold. The multi-year mean monthly water level at Shuanggou Station from January to June and in September was within the RVA thresholds, while the multi-year mean monthly water level from July to August and from October to December was below the lower limit of the RVA threshold.
RVA Thresholds for monthly mean water level processes in river reaches (3 stations).
The lower limit of the RVA threshold (P = 75%) is to be regarded as the appropriate ecological water level for the three hydrological stations’ control sections. The following values represent the appropriate ecological water level at Jinsuozhen Station for the period between January and December: 12.95, 12.88, 12.97, 12.85, 12.64, 12.12, 12.29, 12.76, 12.97, 13.02, 12.95, and 13.01 m, respectively. The annual maximum water level was recorded at 16.61 m, while the annual minimum was documented at 11.05 m. The following values represent the appropriate ecological water level at Sihong Station for the period between January and December: 12.89, 12.89, 13.00, 12.88, 12.73, 12.30, 13.13, 13.19, 13.28, 13.19, 13.11, and 13.04 m, respectively. The annual maximum water level was recorded at 17.22 m, while the annual minimum was documented at 11.00 m. The following values represent the appropriate ecological water level at Shuanggou Station for the period between January and December: 12.57, 12.92, 12.98, 12.82, 12.69, 12.23, 12.74, 13.15, 12.81, 12.99, 13.02, and 13.01 m, respectively. The annual maximum water level was recorded at 15.97 m, while the annual minimum was documented at 10.96 m.
The Tennant method was utilized to assess the derived ecological water level, with the evaluation criteria delineated in Table 4. By comparing the ratio of the calculated appropriate ecological water level to the multi-year mean water level for the three hydrological stations’ control sections, the evaluation results are presented in Table 10. The appropriate ecological water level at Jinsuozhen Station throughout the year (including the dry season from October to March of the following year and the wet season from April to September, as outlined below) is between 92 and 100% of the long-term mean water level. In accordance with the Tennant evaluation criteria, the appropriate ecological water level is situated within the optimal range. The appropriate ecological water level at Sihong Station and Shuanggou Station throughout the year ranges from 94 to 102% of the long-term mean water level. By the Tennant evaluation criteria, the appropriate ecological water level are situated within the optimal range and at the maximum level. It can be hypothesized that the appropriate ecological water level at the three hydrological stations’ control sections is within the optimal and maximum range.
Discussion
The present study established a linear equation between water level and precipitation, thereby revealing a positive correlation between the two variables within the research area. This finding indicates that an increase in precipitation leads to a rising water level. The residuals of the model are found to follow a normal distribution, indicating both high precision in the linear regression model and reasonable model specification. However, in the domain of meteorology and hydrology, conventional analytical methods are constrained in their ability to examine dynamic variations and multi-scale characteristics, as they are limited to examining static relationships and quantifying linear correlations between variables. In practice, the relationship between meteorological factors (e.g., rainfall) and hydrological factors (e.g., water level) is not constant but may exhibit distinct coupling patterns across interannual, decadal, or even longer time scales. In addressing this issue, the present study proposes the implementation of wavelet analysis52, a methodology that has been demonstrated to be effective in the extraction of time-frequency information from the sequences. By comparing the coherence and phase relationships between precipitation and water level across different scales, this method clarifies how meteorological characteristics influence hydrological behavior in the study area. The phase relationship between meteorological and hydrological elements remains stable, with rainfall events consistently preceding water level events. This finding serves to further substantiate the outcomes of the linear regression analysis, thereby confirming a positive correlation between the two variables: an increase in precipitation results in a rising water level. Around 2010, within the 10-16-year period range, the real part of the wavelet coefficients for the Sihong Meteorological Station exhibited significant fluctuations, forming a distinct peak. Similarly, around 2010, the water level data at the three hydrological stations, Jinsuozhen, Sihong, and Shuanggou, exhibited marked periodic variations of 10–12.5-year. This periodicity also produced the most prominent peak in the wavelet variance analysis, indicating it as the strongest and most stable oscillatory cycle in the system. According to reports, on September 7, 2010, Suqian City was subjected to a severe rainstorm, which had a significant impact on Sihong County. Such extreme weather events have the potential to exert a significant impact on the data records of the Sihong Meteorological Station, giving rise to abnormal fluctuations. Such anomalous data may manifest as significant peaks in wavelet analysis, thereby enhancing the significance of periodic fluctuations. It is evident that natural extreme rainfall is not the sole cause of such heavy rain events; human activities also play a significant role102. Consequently, the characterization of ecological water requirements in rivers in the plain region must take into account the impacts of extreme climate events and human-induced alterations to hydrological regimes. To ascertain years of significant abrupt changes in water level in the study area caused by external environmental factors, the M-K abrupt change test, Pettitt test, and sliding T-test were used to determine the years of abrupt changes at the three hydrological stations in the study area: 2014 for the Jinsuozhen Station, and 2009 for the Sihong Station and Shuanggou Station. The degree of hydrological alteration at three stations was calculated using three methods. The Jinsuozhen station exhibited a moderate degree of change, though it deviated slightly from the upper limit of low change. The Sihong and Shuangou stations both showed a low degree of change. This phenomenon can be interpreted as a positive signal for aquatic ecosystems, as it demonstrates the capacity for self-regulation and recovery to a healthy state when subjected to moderate disturbances from external influences. The hydrological regimes of both Sihong Station and Shuanggou Station exhibited low overall alteration degrees across all three calculation methods, indicating high stability. Collectively, the water level in the study area is maintained at a state of elevated stability, with relatively minor fluctuations observed in the river water level.
The water level is the most intuitive factor in reflecting the hydrological conditions of water bodies. Fluctuations in water level have been shown to have a significant impact on the process of sampling and analyzing lake water quantity, water quality, and ecosystem functions. Fluctuations in river and lake water level have been demonstrated to drive material and energy exchange between riparian zones and terrestrial sources103. Furthermore, these fluctuations have been shown to influence the diversity and abundance of aquatic organisms104 and to play a decisive role in their growth and distribution105,106. These fluctuations represent a pivotal factor in the stability of riparian communities and the ecological balance of rivers and lakes107. Fu Hui108 analyzed the succession patterns of submerged vegetation in Erhai Lake over the past 50 years and found that significant water level fluctuations accelerated the transition from clear to turbid water in the lake, leading to extensive degradation of submerged plants and the disappearance of certain species. Jiang Yu109 investigated the relationship between the spatiotemporal evolution characteristics of aquatic vegetation and hydrological conditions in Hongze Lake Wetland, with the following findings: the area of aquatic vegetation in Hongze Lake Wetland is significantly influenced by water level fluctuations during the lake’s water storage period. Stable water level conditions are conducive to the protection and maintenance of the stability and health of river and lake ecosystems110,111. Liu Xueqin112 advanced the proposal that the regulation of water level could serve as a means to facilitate the restoration of lakeshore ecosystems and thereby enable the expeditious resolution of issues pertaining to plant damage that is occasioned by substantial fluctuations in water level. Wang Chao113 analyzed the impact of fluctuations in water level between flood and dry seasons on fish species in Caizi Lake. The study found that, compared to flowing water habitats, static water habitats provide fish with a more stable environment and richer food resources, resulting in greater fish abundance and higher functional diversity. Xiong Lili114 emphasized that water level regulation should consider the critical growth periods of aquatic plants in order to minimize the magnitude of water level fluctuations, thus helping to maintain ecosystem balance. In this study, the hydrological alteration degrees calculated by the three methods for the three stations were found to be at a moderately low level, and the proportion of IHA with low alteration degrees among the 32 IHA was found to be relatively high. Consequently, it can be deduced that the water level fluctuations in the study area were negligible, and the stable water level conditions could mitigate the water stress on aquatic organisms caused by drastic water level changes, ensuring normal biological growth and species stability. It can be concluded that the hydrological alteration degree in the study area before and after the abrupt change was not significant, with high hydrological integrity maintained, and the aquatic ecosystem preserved a high level of stability.
The NSL has been developed as a metric for the quantification of ecosystem disturbance before and after abrupt changes. A higher value indicates a greater degree of interference from human activities on hydrological processes, more severe disruption of the ecosystem’s natural hydrological rhythm, and consequently, greater impacts on ecosystem stability. The calculations revealed that the NSL values for the 32 IHA hydrological parameters at the three hydrological stations fluctuated around 0.4, indicating a low to moderate level of non-satisfaction. This finding suggests that the overall impact of human activities on the hydrological system was not significant. The ecosystem exhibits a certain degree of adaptive capacity in the face of external disturbances, thereby maintaining a relatively healthy state in general. As indicated by the NSL, the ecological indices for the three hydrological stations, Jinsuozhen Station, Sihong Station, and Shuanggou Station, were calculated to be 0.24, 0.52, and 0.49, respectively. The low non-satisfaction level is indicative of low ecological indices, suggesting minimal alterations in hydrological rhythms. This finding suggests that the aquatic ecosystems have largely retained their natural water level patterns and maintained relatively stable conditions, with stable biological communities and intact habitats. The ecological indices of Sihong Station and Shuanggou Station were found to exceed those of Jinsuozhen Station, indicating that these ecosystems may have undergone a certain degree of disturbance. It is hypothesized that significant changes in certain hydrological parameters were a contributing factor to this outcome. While the overall systems were affected, they had not yet reached critical collapse points. The fluctuations in water level endowed the ecosystems with a certain buffering capacity, enabling them to partially offset the negative impacts of hydrological changes through self-adjustment, thereby maintaining system stability.
The calculated ecological water level does not represent critical thresholds at the edge of ecosystem collapse. Rather, it provides a safety buffer zone when facing extreme conditions. In this study, significant abrupt change points in the time series were used as boundaries, with the water level sequences of the three hydrological stations being divided into pre-impact and post-impact flow processes. The lower RVA threshold of the monthly mean water level from the pre-impact period at the three stations was selected as the appropriate ecological water level. The Tennant method was then applied to evaluate these selected ecological water level. The evaluation results demonstrated that the calculated ecological water level for the river reaches controlled by the three stations in the study area fell within the optimal to maximum range, indicating a high level of health in the river ecosystems. These conditions provide a stable environment for aquatic flora and fauna. This study established upper and lower threshold values for suitable ecological water level, using long-term historical water level records as a basis. However, in the context of global change, it seems that this method of determination has limitations. It may be neither realistic nor possible to back to the historical natural state of ecological water level, as this would not meet the practical needs of a dynamically changing ecosystem. The long-term applicability of historical water level processes will be limited at this point. Therefore, in order to respond to changing conditions, the future ecological flow/water level approach should adopt a ‘dynamic adaptive threshold’ strategy involving periodic assessments and adjustments based on dynamic water level changes. The upper and lower ecological water level thresholds identified in this paper are valuable as they can be used as an initial baseline or historical reference point in this adaptive management process.
In the flat, hydrodynamically weak riverine areas of China’s southern plains, accurate monitoring of ecological flow data is difficult to achieve. The absence of long-term, continuous flow records presents significant practical challenges for the precise determination of ecological flow. By way of comparison, this study proposes using ecological water level instead of ecological flow rates to characterize ecological water volume. This approach has the following relative advantages in this region and similar areas: ① The water level is the most common and continuous fundamental hydrological observation parameter in the southern plains regions. Historical observation data from long-term series can be used directly to determine ecological water level and their thresholds. This approach effectively avoids errors and uncertainties arising from retroactive calculations based on ecological flow or model estimations, making management objectives more observable and assessable. ② In plain areas, most water control projects (such as reservoirs, sluice gates and levees) directly regulate water level rather than flow. Therefore, adopting ecological water level as the management target greatly improves the effectiveness of ecological flow control in these regions. Therefore, in southern plain regions such as the one studied here, the ecological water level indicator is not simply a replacement for the concept of ecological flow; rather, it is an optimized expression that better aligns with regional hydro-geographical characteristics, data foundations and management realities. This indicator addresses the practical challenge of monitoring ecological flows by converting ecological water demand into a physical quantity that is simpler to monitor and regulate. Of course, the universality of this method depends on its validation in similar regions. For rivers with stable relationships between water level and flow, traditional ecological flow indicators may still be the best option.
However, a limitation of this study is that, as demonstrated by the cross-wavelet spectra between meteorological and hydrological elements, the current data length provides insufficient evidence to conclusively demonstrate significant synchronous high-energy oscillations between these elements in the study area. It is recommended that future research endeavors incorporate longer time-series data, with a view to further investigating their interrelationships. Moreover, given the challenges associated with data acquisition, this study exclusively utilized water level data from the river reaches controlled by the three hydrological stations within the research area, with a view to analyzing hydrological alteration degrees and assessing aquatic ecosystem health. However, the health status of an ecosystem necessitates a comprehensive, multi-dimensional evaluation115,116. In addition to hydrological conditions, factors such as water quality, the health status of aquatic flora and fauna, and microbial content are equally critical. It is recommended that future research endeavors concentrate on this particular direction by incorporating aquatic organisms and microbial conditions in conjunction with water level data. This would facilitate a more comprehensive health assessment of aquatic ecosystems.
The periodic variations in natural hydrological regimes are of crucial importance for maintaining the ecological health of rivers and lakes. The present study identified the periodic and phase relationships between precipitation and water level in the research area. By elucidating the time-lag relationship between these factors, the accuracy and lead time of drought or flood warnings can be enhanced, thus enabling their utilization in predictive models to improve the timeliness and reliability of forecasts. Furthermore, these findings provide a theoretical foundation for scientifically determining ecological water level targets and simulating natural hydrological rhythms in the study area, thereby protecting biological habitats and biodiversity. Furthermore, indicators that demonstrate a high degree of alteration merit consideration. At Jinsuozhen Station, \(\:{IHA}_{32}\) (mean water level decline rate) demonstrated a 100% alteration degree, constituting the most altered indicator among all 96 IHA parameters across the three hydrological stations. A precipitous decline in water level can have severe ecological consequences. When the decline rate exceeds natural fluctuation thresholds, it can cause a major disruption to the watershed’s water balance, thereby pushing the aquatic ecosystem from a stable state towards a state of disequilibrium. A precipitous decline in water level can also result in a reduction in the duration of floodplain inundation, thereby disrupting the synchrony between hydrological pulses and biological rhythms (e.g., hindering fish spawning activities). In order to address such alterations, the relevant management authorities should implement the following measures. In the short term, the employment of engineering methodologies can be utilized to regulate uncontrolled water recession. For long-term solutions, it is necessary to reconstruct the human-water relationship by incorporating the ecological alignment of hydrological rhythms into core sustainability indicators. It is especially important to pay close attention to the behavioral adaptation mechanisms of organisms during water recession (e.g., the ability of fish to perceive changes in hydraulic gradients), as this provides a theoretical basis for precise and efficient ecological regulation.
Conclusion
The following conclusions can be drowned from this study: (1) The findings of the linear regression analysis for precipitation and water level within the study area demonstrate a positive correlation between the two. The cycles of these two factors primarily cluster around 12–12.5 years, exhibiting stable phase relationships where precipitation precedes an increase in water level. (2) The overall hydrological alteration indices for the three stations, calculated using three different methods, are shown below: Jinsuozhen Station (41.57%, 34.95%, 18.31%), Sihong Station (20.36%, 14.05%, 13.13%), and Shuanggou Station (26.24%, 16.98%, 12.54%). It can be considered that the overall condition is in a state of low alteration degree. (3) The Eco-index calculated based on NSL for the three stations are 0.24, 0.52, and 0.49, respectively, falling within the low to medium range of Eco-index, indicating a relatively high level of ecological fulfillment. (4) The Tennant method is used to evaluate the selected ecological water level. The evaluation results are favorable, indicating that ecological water level is met under multi-year average conditions. Consequently, it can be deduced that in the riverine regions of southern China’s plains, ecological water level can function as a pivotal parameter for evaluating ecosystem health and can substitute for ecological flow as a method of characterizing ecological water volume in rivers within southern plains.
This study developed a methodology for characterizing the ecological water requirements of rivers in China’s southern plains. This research takes the city of Suqian in Jiangsu Province, a typical southern plain region of China, as its subject. It provides robust theoretical support for characterizing ecological water requirements through ecological water levels. This method provides an operational theoretical framework and technical support for quantifying and assessing ecological flow in the rivers of the Southern Plains region. It also offers a direct scientific basis for determining objectives for water resource management and ecological restoration (such as controlling the ecological water level).
Data availability
The original water level data used in this study were provided by the Suqian Branch of the Jiangsu Provincial Hydrology and Water Resources Investigation Bureau (China). Due to the involvement of national water resource strategic security, operational security of major water conservancy infrastructure, and social public security, these data are classified as controlled and confidential and are not publicly available in accordance with relevant regulations. The data can be accessed upon reasonable request to the corresponding author after fulfilling the relevant confidentiality review procedures and obtaining permission from the data provider (the Suqian Branch).
References
Chen, X. et al. Management of minimum lake level and impacts on flood mitigation: a case study of the Yahara Watershed, Wisconsin, USA. J. Hydrol. 577 https://doi.org/10.1016/j.jhydrol.2019.123920 (2019).
Wang, N. et al. Analysis of detailed lake variations and associated hydrologic driving factors in a Semi-Arid ungauged closed watershed. Sustainability 15 https://doi.org/10.3390/su15086535 (2023).
Zhang, M. M. et al. Exploring responses of lake area to river regulation and implications for lake restoration in arid regions. Ecol. Eng. 128, 18–26. https://doi.org/10.1016/j.ecoleng.2018.12.031 (2019).
Boloorani, A. D., Sharif, M., Samany, N. N., Chehrenegar, B. & Amiraslani, F. Determining the minimum water level required for the urmia lake to prevent formation of salt storms: a Satellite-Based analysis. Int. J. Environ. Res. 19 https://doi.org/10.1007/s41742-024-00695-2 (2025).
Yang, P., Alifujiang, Y., Jiang, Y. & Feng, J. P. Study on the evaluation of ecosystem service values of typical lakes in Xinjiang. J. Nat. Conserv. 86 https://doi.org/10.1016/j.jnc.2025.126906 (2025).
An, C. J., Zhang, F., Chan, N. W., Johnson, V. C. & Shi, J. C. A review on the research progress of lake water volume Estimation methods. J. Environ. Manage. 314 https://doi.org/10.1016/j.jenvman.2022.115057 (2022).
Ma, D. Y., Luo, W. G., Yang, G. L., Lu, J. & Fan, Y. Z. A study on a river health assessment method based on ecological flow. Ecol. Model. 401, 144–154. https://doi.org/10.1016/j.ecolmodel.2018.11.023 (2019).
Kong, Q. X., Xin, Z. B., Zhao, Y. J., Ran, L. S. & Xia, X. P. Health assessment for mountainous rivers based on dominant functions in the Huaijiu River, Beijing, China. Environ. Manage. 70, 164–177. https://doi.org/10.1007/s00267-022-01620-z (2022).
Meyer, J. L. Stream health: incorporating the human dimension to advance stream ecology. J. North. Am. Benthological Soc. 16, 439–447 (1997).
Norris, R. H. & Thoms, M. C. What is river health? Freshw. Biol. 41, 197–209 (2010).
Han, H., Zhang, K. Z. & Zhang, J. L. Evaluating the health of an urban river combining DPSIR framework and an improved fuzzy Matter-Element extension model: a case study from the Jinshui river. Pol. J. Environ. Stud. 29, 2211–2223. https://doi.org/10.15244/pjoes/111239 (2020).
Jiang, X., Xu, S. G., Liu, Y. Y. & Wang, X. D. River ecosystem assessment and application in ecological restorations: a mathematical approach based on evaluating its structure and function. Ecol. Eng. 76, 151–157. https://doi.org/10.1016/j.ecoleng.2014.04.027 (2015).
Zhu, H. et al. Assessing the ecological health of the Qingyi river basin using multi-community indices of biotic integrity. Ecol. Ind. 156 https://doi.org/10.1016/j.ecolind.2023.111160 (2023).
Wu, W., Xu, Z. X., Zhan, C. S., Yin, X. W. & Yu, S. Y. A new framework to evaluate ecosystem health: a case study in the Wei river basin, China. Environ. Monit. Assess. 187 https://doi.org/10.1007/s10661-015-4596-1 (2015).
Jama, A. A. & Mourad, K. A. Water services sustainability: institutional arrangements and shared responsibilities. Sustainability 11 https://doi.org/10.3390/su11030916 (2019).
Xue, C. Y., Shao, C. F. & Chen, S. H. SDGs-Based river health assessment for Small- and Medium-Sized watersheds. Sustainability 12 https://doi.org/10.3390/su12051846 (2020).
the Guidelines on Determining and. Ensuring Ecological Flow in Rivers and Lake Vol. 67 (Water Resources Management,〔2020〕, 2020).
Suen, J. P. & Herricks, E. E. Developing fish community based ecohydrological indicators for water resources management in Taiwan. Hydrobiologia 625, 223–234. https://doi.org/10.1007/s10750-009-9710-3 (2009).
Kim, S. et al. Correlation analysis between hydrologic flow metrics and benthic macroinvertebrates index (BMI) in the Han river Basin, South Korea. Sustainability 13 https://doi.org/10.3390/su132011477 (2021).
Kim, Y. J., Wu, D., Lee, J. H., Kim, J. S. & Park, S. Y. Evaluation and Securing of ecological flow by linking fish growth scenarios and basin water budget analysis. Ecol. Ind. 158 https://doi.org/10.1016/j.ecolind.2023.111468 (2024).
Xu, G., Li, A., Yang, Q. & Chi, J. Spatiotemporal change in the river network in rapidly urbanized plain regions of the Yangtze river delta in China. River Res. Appl. 38, 965–974. https://doi.org/10.1002/rra.3962 (2022).
Zhang, S. et al. Analysis of water source contributions and their impacts on hydrological structural connectivity in plain urban river network areas based on stable isotopes (δ < SUP > 2 H, δ < SUP > 18 O). Hydrol. Process. 36 https://doi.org/10.1002/hyp.14782 (2022).
Cheng, Q., Fang, H., Li, Y. & Li, Y. Study on the applicability of river ecological water level threshold calculation method in Northern Jiangsu plain. J. China Hydrology. 44, 74–82. https://doi.org/10.19797/j.cnki.1000-0852.20230154 (2024).
Yue, C., Yiqing, G., Jianzhong, M. & Danrong, Z. Determination of the ecological water-level and assuring degree in the lake Gaoyou, Northern Jiangsu with long-term hydrological alteration. J. Lake Sci. 29, 398–408 (2017).
Zulin, H., Kejian, C. & Yueyang, D. Calculation method of ecological water level and discharge in highly artificial urban river. Water Resour. Prot. 37, 140–144 (2021).
Peng, W., Zulin, H., Kejian, C. & Yueyang, D. Ecological regulation scheme of river network and water system in highly urbanized areas. Water Resour. Prot. 38, 205–212 (2022).
Wang, D. et al. Ecohydrological variation and Multi-Objective ecological water demand of the Irtysh river basin. Water 14 https://doi.org/10.3390/w14182876 (2022).
Xu, Z., wang, H., Dong, Z. & Tang, K. Minimum ecological water requirement for Nansi lake. J. Hydraul. Eng., 784–788 (2006).
Poff, N. L. & Matthews, J. H. Environmental flows in the anthropocence: past progress and future prospects. Curr. Opin. Environ. Sustain. 5, 667–675. https://doi.org/10.1016/j.cosust.2013.11.006 (2013).
Liu, Y., Zhu, J. & Zhao, J. Development history and frontiers of river environmental flow research. J. Hydroelectric Eng. 35, 23–34 (2016).
Huang, Q., Zhao, M. & Li, Y. Advancements in studies on reservoir ecological operation. J. Hydroelectric Eng. 36, 1–11 (2017).
Dong, Z. & On Features of five dominant ecological components of aquatic ecosystem. Water Resour. Hydropower Eng. 46, 42–47 https://doi.org/10.13928/j.cnki.wrahe.2015.06.008 (2015).
Li, F., Chen, D. & Tang, Q. Variations of Hydro-meteorological variables in the yellow river basin and their relationships with the East Asian summer monsoon. Adv. Water Sci. 26, 481–490. https://doi.org/10.14042/j.cnki.32.1309.2015.04.004 (2015).
Tang, Y., Sun, J., Xiang, Y. & Ma, T. Upstream hydrological situation of Hunhe river and the ecological impact of the gate dam. J. Saf. Environ. 18, 2020–2027. https://doi.org/10.13637/j.issn.1009-6094.2018.05.064 (2018).
Poff, N. L. & Zimmerman, J. K. H. Ecological responses to altered flow regimes: A literature review to inform the science and management of environmental flows. Freshw. Biol. 55, 194–205. https://doi.org/10.1111/j.1365-2427.2009.02272.x (2010).
Yan, M., Fang, G. H., Dai, L. H., Tan, Q. F. & Huang, X. F. Optimizing reservoir operation considering downstream ecological demands of water quantity and fluctuation based on IHA parameters. J. Hydrol. 600 https://doi.org/10.1016/j.jhydrol.2021.126647 (2021).
Barbour, E. J. et al. Optimisation as a process for Understanding and managing river ecosystems. Environ. Model. Softw. 83, 167–178. https://doi.org/10.1016/j.envsoft.2016.04.029 (2016).
McCartney, M. Living with dams: managing the environmental impacts. Water Policy. 11, 121–139. https://doi.org/10.2166/wp.2009.108 (2009).
Yuan, Y. et al. Quantitative assessment of the contribution of climate variability and human activity to streamflow alteration in Dongting Lake, China. Hydrol. Process. 30, 1929–1939. https://doi.org/10.1002/hyp.10768 (2016).
Poff, N. L. et al. The natural flow regime: A paradigm for river conservation and restoration. Bioscience 47, 769–784. https://doi.org/10.2307/1313099 (1997).
Yin, X., Wang, J., Gao, T., Li, H. & Tan, Y. Calculation method of river hydrological regime alteration degree. Yangtze River. 54, 66–72. https://doi.org/10.16232/j.cnki.1001-4179.2023.06.010 (2023).
Wei, H. et al. Sediment occurrences and risk of organochlorine pesticides in the surface water across a river network area in Jiangsu. China Environ. Sci. 44, 923–931. https://doi.org/10.19674/j.cnki.issn1000-6923.2024.0024 (2024).
Vaheddoost, B., Aksoy, H. & Abghari, H. Prediction of water level using monthly lagged data in lake Urmia, Iran. Water Resour. Manage. 30, 4951–4967. https://doi.org/10.1007/s11269-016-1463-y (2016).
Manzano, J. E. & Barkdoll, B. D. Precipitation and streamflow trends in Michigan, USA. Sustainable Water Resour. Manage. 8 https://doi.org/10.1007/s40899-022-00606-3 (2022).
Gao, Q. Y., Li, G. F. & Li, Z. Y. Attribution of climate change and human activities to urban water level alterations and factors importance analysis in Central Taihu Basin. Urban Climate 40 (2021). https://doi.org/10.1016/j.uclim.2021.101011
Brki, Z. & Kuhta, M. Lake level evolution of the largest freshwater lake on the mediterranean Islands through drought analysis and machine learning. Sustainability 14 https://doi.org/10.3390/su141610447 (2022).
Li, R. et al. Quantitative analysis of agricultural drought propagation process in the Yangtze river basin by using cross wavelet analysis and Spatial autocorrelation. Agric. For. Meteorol. 280 https://doi.org/10.1016/j.agrformet.2019.107809 (2020).
Shi, P., Zhan, H., Qu, S., Feng, J. & Guan, X. Correlation analysis of meteorological and hydrological droughts in yellow river source region. Water Resour. Prot. 38, 80–86 (2022).
Zhou, M., Yang, Y., Sun, Y., Zhang, F. & Li, Y. Spatio-temporal characteristics of air quality and influencing factors in Shandong Province from 2016 to 2020. Environ. Sci. 43, 2937–2946. https://doi.org/10.13227/j.hjkx.202109020 (2022).
Guan, B. et al. Spatial and Temporal evolution of drought and its relationship with climate factors in the Haihe river basin. Water Resour. Prot. 39, 59–68 (2023).
Zhou, Z. et al. Characteristics of propagation from meteorological drought to hydrological drought in the Pearl river basin. J. Geophys. Research-Atmospheres. 126 https://doi.org/10.1029/2020jd033959 (2021).
Sahay, R. R. & Srivastava, A. Predicting monsoon floods in rivers embedding wavelet Transform, genetic algorithm and neural network. Water Resour. Manage. 28, 301–317. https://doi.org/10.1007/s11269-013-0446-5 (2014).
Niu, J. & Sivakumar, B. Scale-Dependent synthetic streamflow generation using a continuous wavelet transform. J. Hydrol. 496, 71–78. https://doi.org/10.1016/j.jhydrol.2013.05.025 (2013).
Miao, J. et al. Identification of strong karst groundwater runoff belt by cross wavelet transform. Water Resour. Manage. 28, 2903–2916. https://doi.org/10.1007/s11269-014-0645-8 (2014).
Gaucherel, C. Use of wavelet transform for Temporal characterisation of remote watersheds. J. Hydrol. 269, 101–121. https://doi.org/10.1016/s0022-1694(02)00212-3 (2002).
Torrence, C. & Webster, P. J. Interdecadal changes in the ENSO-monsoon system. J. Clim. 12, 2679–2690. https://doi.org/10.1175/1520-0442(1999)012%3C2679 (1999). :Icitem>2.0.Co;2
Grinsted, A., Moore, J. C. & Jevrejeva, S. Application of the cross wavelet transform and wavelet coherence to geophysical time series. Nonlinear Process. Geophys. 11, 561–566. https://doi.org/10.5194/npg-11-561-2004 (2004).
Kumar, S., Merwade, V., Kam, J. & Thurner, K. Streamflow trends in indiana: effects of long term persistence, precipitation and subsurface drains. J. Hydrol. 374, 171–183. https://doi.org/10.1016/j.jhydrol.2009.06.012 (2009).
Zhang, J. et al. Analysis of extreme precipitation changes in Lijiang river basin based on ITA and Mann-Kendall methods. J. Hohai University. 52, 15–22 (2024).
Yang, Y. et al. Spatial and Temporal evolution patterns of droughts in China over the past 61 years based on the standardized precipitation evapotranspiration index. Water 16 https://doi.org/10.3390/w16071012 (2024).
Jiang, Q. et al. Evaluation of water resource utilization efficiency and analysis of driving factors based on mutation theory and factor analysis. Water Resour. Protection, 1–13 (2025).
Ji, L., He, X., Liu, B., Tang, K. & Zhang, S. Climate change in the upstream of Manas river basin in the past 5 decades. J. Changjiang River Sci. Res. Inst. 31, 21–27 (2014).
Li, J., Chen, X., Qiao, Y. & Li, T. Winter temperature variations in the section of South-to-North water diversion middle route project North of Anyang river in the past 41 years. J. Changjiang River Sci. Res. Inst. 41, 165–174 (2024).
Ran, D., Yao, W., Jiao, P., Zhang, P. & Zhang, N. Identification and comprehensive diagnosis of Sharp change of annual runoff volume and silt discharge series at Toudaoguai hydrometric station in the upper reaches of the yellow river. Arid Zone Res. 31, 928–936. https://doi.org/10.13866/j.azr.2014.05.22 (2014).
Li, Z. & Xu, Z. Detection of change points in temperature and precipitation time series in the Heihe river basin over the past 50 years. Resour. Sci. 33, 1877–1882 (2011).
Fu, L. Tendency and Mutation Analysis of Annual Temperature and Precipitation of Hefeng County in Recent 57 Years. South-to-North Water Transf. Water Sci. Technol. 12, 38–41 + 110 (2014). https://doi.org/10.13476/j.cnki.nsbdqk.2014.04.009
Guo, W. et al. Evaluation of hydrological regime alteration and ecological flow processes in the changing environment of the Jialing River, China. J. Water Clim. Change. 15, 978–997. https://doi.org/10.2166/wcc.2024.402 (2024).
Xue, Y., Li, X., Wang, L. & Xu, B. Spatial and Temporal change characteristics of different grades of precipitation in summer in Southwestern China from 1976 to 2017. J. Southwest. University(Natural Sci. Edition). 44, 137–145. https://doi.org/10.13718/j.cnki.xdzk.2022.02.016 (2022).
Huang, Y. et al. Evolution characteristics of drought and flood in typical river basins of North and South and its contrastive study. J. North. China Univ. Water Resour. Electr. Power(Natural Sci. Edition). 46, 63–77. https://doi.org/10.19760/j.ncwu.zk.2025007 (2025).
Chen, J., Zhao, H., Lv, Y., Qiu, B. & Li, Z. Study on the runoff variation and its characteristics of red river basin. Water Resour. Power. 36, 22–26. https://doi.org/10.20040/j.cnki.1000-7709.2018.10.006 (2018).
Richter, B. D., Baumgartner, J. V., Wigington, R. & Braun, D. P. How much water does a river need? Freshw. Biol. 37, 231–249. https://doi.org/10.1046/j.1365-2427.1997.00153.x (1997).
Wang, J., Ma, X. & Li, Y. Evaluation of reservoir ecological operation schedule by range of variability approach. J. Hydroelectric Eng. 32, 107–112 (2013).
Peng, S., Shang, W., Wang, Y., Lu, J. & Zheng, X. Research on ecological impacts of the joint operation of cascade reservoirs in the upstream of the yellow river. J. Hydraul. Eng. 49, 1187–1198. https://doi.org/10.13243/j.cnki.slxb.20180431 (2018).
Dong, S., Li, Y., Wu, J., Yang, H. & Li, Q. Water level changes of lake Dongting in recent 60 years. J. Lake Sci. 36, 575–586 (2024).
Li, J., Liu, J., Deng, S. & Wu, L. Analysis of hydrological regime change and its driving factors in the main stream of Xijiang river under the changing environment. Water Resour. Protection, 1–13 (2024).
Gan, F., Tang, L., Guo, H. & Gao, W. New method and application of estimating ecological water level of the lake Poyang. J. Lake Sci. 27, 783–790 (2015).
Zhang, T. et al. Optimum ecological water level of water-carrying lake based on the relationship between water quality and water level. J. Lake Sci. 34, 1670–1682 (2022).
Huang, Y., Yang, Z., Yu, F., Yu, M. & Lu, J. The suitable ecological discharge of the Jingjiang reach after the operation of three Gorges project. J. Lake Sci. 36, 1900–1910 (2024).
Ma, Y., Yan, Q., Wang, Z., Liu, S. & Zhao, C. Fuzzy synthetic assessment on zooplankton community health with entropy weight. Mar. Environ. Sci. 27, 28–34 (2008).
Zhou, W. & Wang, R. An entropy weight approach on the fuzzy synthetic assessment of Beijing urban ecosystem Health,China. Acta Ecol. Sinica, 3244–3251 (2005).
Xu, W. & Xu, S. Entropy weight comprehensive health index method for assessment of lake ecosystem health. Research Soil. Water Conservation, 125–127 (2008).
Shiau, J. T. & Wu, F. C. A histogram matching approach for assessment of flow regime alteration: application to environmental flow optimization. River Res. Appl. 24, 914–928. https://doi.org/10.1002/rra.1102 (2008).
Sheikh, V. et al. The density difference and weighted RVA approaches for assessing hydrologic regime alteration. J. Hydrol. 613 https://doi.org/10.1016/j.jhydrol.2022.128450 (2022).
Kim, Z. & Singh, V. P. Assessment of environmental flow requirements by entropy-based multi-criteria decision. Water Resour. Manage. 28, 459–474. https://doi.org/10.1007/s11269-013-0493-y (2014).
Chen, J., Yang, X., Yin, S. & Wu, K. The vulnerability evolution and simulation of the social-ecological systems in the semi-arid area based on the VSD framework. Acta Geogr. Sin. 71, 1172–1188 (2016).
Yager, R. R. Weighted maximum entropy OWA aggregation with applications to decision making under risk. Ieee Trans. Syst. Man. Cybernetics Part. a-Systems Hum. 39, 555–564. https://doi.org/10.1109/tsmca.2009.2014535 (2009).
Fuller, R. & Majlender, P. An analytic approach for obtaining maximal entropy OWA operator weights. Fuzzy Sets Syst. 124, 53–57 (2001).
Karakoyun, Y., Dönmez, A. H. & Yumurtaci, Z. Comparison of environmental flow assessment methods with a case study on a runoff river-type hydropower plant using hydrological methods. Environ. Monit. Assess. 190 https://doi.org/10.1007/s10661-018-7107-3 (2018).
Wei, N. et al. Dynamic simulation of ecological flow based on the variable interval analysis method. Sustainability 14 https://doi.org/10.3390/su14137988 (2022).
Abdi, R. & Yasi, M. Evaluation of environmental flow requirements using eco-hydrologic-hydraulic methods in perennial rivers. Water Sci. Technol. 72, 354–363. https://doi.org/10.2166/wst.2015.200 (2015).
Nikghalb, S., Shokoohi, A., Singh, V. P. & Yu, R. H. Ecological regime versus minimum environmental flow:comparison of results for a river in a semi mediterranean region. Water Resour. Manage. 30, 4969–4984. https://doi.org/10.1007/s11269-016-1488-2 (2016).
Zhang, Y. et al. Balancing economic and ecological benefits for hydro-junction operation based on the ecological flow from the four major Chinese carps: a case study from Xinjiang River, China. Environ. Res. Commun. 5 https://doi.org/10.1088/2515-7620/acd912 (2023).
Mao, Y. Z. et al. Optimal reservoir operation based on hydrological and hydraulic methods incorporating the multiple water replenishment process. J. Clean. Prod. 276 https://doi.org/10.1016/j.jclepro.2020.124154 (2020).
Guo, X. M., Xu, L. K., Su, L., Deng, Y. & Yang, C. H. Comparing flow duration curves and discharge hydrographs to assess Eco-flows. Water Resour. Manag. 35, 4681–4693. https://doi.org/10.1007/s11269-021-02890-8 (2021).
Gierszewski, P. J., Habel, M., Szmanda, J. & Luc, M. Evaluating effects of dam operation on flow regimes and riverbed adaptation to those changes. Sci. Total Environ. 710 https://doi.org/10.1016/j.scitotenv.2019.136202 (2020).
Wang, H. X., Yan, Y. Y., Huang, L. T., He, N. & Guo, W. X. Ecological flow research and optimal selection of the most ecologically relevant hydrologic indicators at the Jingjiang river’s three outlets. J. Water Clim. Change. 14, 4099–4120. https://doi.org/10.2166/wcc.2023.284 (2023).
Jingjing, T., Senlin, C., Xueshan, A. & Yuxiao, B. Diagram of river ecological flow characteristics and evaluation method of ecological flow. Water Resour. Prot. 31, 99–105 (2015).
Wubin, D., Xiaomei, L., Jing, S. & Jiping, X. Analysis of hydrological regimes and ecological flow calculation method of Southern mountain rivers. Water Sav. Irrigation, 30–35 (2025).
Jipeng, S., Leiqiang, G., Xiaolong, W. & Rongrong, W. Changes in hydrological conditions and ecological environment in lake Poyang before and after the construction and operation of the three Gorges project:retrospect and prospect. J. Lake Sci. 37, 716–733 (2025).
Fang, G. et al. Improved indicators of hydrological alteration for quantifying the Dam-induced impacts on flow regimes in small and Medium-sized rivers. Sci. Total Environ. 867 https://doi.org/10.1016/j.scitotenv.2023.161499 (2023).
Huang, F. et al. A histogram comparison approach for assessing hydrologic regime altertion. River Res. Appl. 33, 809–822. https://doi.org/10.1002/rra.3130 (2017).
Mo, S., Gong, Y., Li, J. & Shen, B. Impact of human activities on flood process in Chabagou basin of the loess Plateau, China. J. Basic. Sci. Eng. 27, 492–508. https://doi.org/10.16058/j.issn.1005-0930.2019.03.003 (2019).
Leira, M. & Cantonati, M. Effects of Water-level fluctuations on lakes: an annotated bibliography. Hydrobiologia 613, 171–184. https://doi.org/10.1007/s10750-008-9465-2 (2008).
Tian, R., Yang, Y. & Li, H. Study on the vegetation characteristics change in the water level fluctuation zone of the three Gorges reservoir area. Acta Ecol. Sin. 1–11. https://doi.org/10.20103/j.stxb.202409052131 (2025).
Zhang, Q., Yu, X. & Hu, B. Research on the characteristics of plant communities in the Poyang Nanji wetlands. China Resources Science. 35, 42–49 (2013).
Yao, X., Yang, G., Wan, R. & Wang, X. Impact of water level change on wetland vegetation of rivers and lakes. J. Lake Sci. 26, 813–821 (2014).
Ye, C., Li, C. & Deng, T. Structures and ecological functions of lake Littoral zones. Res. Environ. Sci. 28, 171–181. https://doi.org/10.13198/j.issn.1001-6929.2015.02.02 (2015).
Fu, H. et al. Succession of submerged macrophyte communities in relation to environmental change in lake Erhai over past 50 years. J. Lake Sci. 25, 854–861 (2013).
Jiang, Y., Wang, H., Wang, X., Wan, R. & Dong, Y. Spatiotemporal evolution characteristics of wetland aquatic vegetation in Hongze lake and its relationship with hydrological regimes. J. Ecol. Rural Environ. 1–16. https://doi.org/10.19741/j.issn.1673-4831.2025.0002 (2025).
Wu, G., Ni, L., Cao, T., Xie, P. & Xu, J. Patterns and controls of dynamics of macrophytes and phytoplankton changes in lake Erhai from 1977 to 2009. Acta Hydrobiol. Sin. 37, 912–914 (2013).
Hu, Y., Zhou, J., Feng, H. & Zhang, J. Impacts of water level fluctuations on vegetation distribution pattern of lake zone of the Liangzi lake. Water Sav. Irrigation, 91–95 (2022).
Liu, X., Xing, W. & Zhang, X. Ecological engineering practice in the Littoral zone of lake Chaohu. Resour. Environ. Yangtze Basin. 21, 51–55 (2012).
Wang, C., Zhou, L., Dai, B., Gu, C. & Jiang, Z. The impacts of water level fluctuations between wet and dry seasons on taxonomic and functional diversity of fish communities in the ecotone floodplain of lake Caizi. J. Lake Sci. 31, 1403–1414 (2019).
Xiong, L. et al. Variations of hydrological connectivity in the Eastern Bay of lake Poyang in the last 60 years and its impacts on wetland plants and migratory birds. J. Lake Sci. 35, 313–325 (2023).
Yang, J. & Zhang, X. eDNA metabarcoding in zooplankton improves the ecological status assessment of aquatic ecosystems. Environ. Int. 134 https://doi.org/10.1016/j.envint.2019.105230 (2020).
Ndimele, P. E. Re-validation of biochemophysical variables as metrics for assessing the ecological integrity of an aquatic ecosystem (Badagry Lagoon, Lagos, Nigeria). Appl. Water Sci. 13 https://doi.org/10.1007/s13201-023-01967-6 (2023).
Funding
National Natural Science Foundation of China (NSFC) (52379027). Jiangsu Province Water Conservancy Science and Technology Program (2021050). Jiangsu Province Graduate Student Research and Practice Innovation Program (KYCX22_3493).
Author information
Authors and Affiliations
Contributions
YK.L was responsible for conceptualization, methodology development, data curation, formal analysis, software implementation, visualization, and original draft preparation. HY.F provided supervision, secured funding, and contributed to manuscript review and editing.All authors have reviewed and approved the final manuscript.
Corresponding author
Ethics declarations
Competing interests
The authors declare no competing interests.
Additional information
Publisher’s note
Springer Nature remains neutral with regard to jurisdictional claims in published maps and institutional affiliations.
Rights and permissions
Open Access This article is licensed under a Creative Commons Attribution-NonCommercial-NoDerivatives 4.0 International License, which permits any non-commercial use, sharing, distribution and reproduction in any medium or format, as long as you give appropriate credit to the original author(s) and the source, provide a link to the Creative Commons licence, and indicate if you modified the licensed material. You do not have permission under this licence to share adapted material derived from this article or parts of it. The images or other third party material in this article are included in the article’s Creative Commons licence, unless indicated otherwise in a credit line to the material. If material is not included in the article’s Creative Commons licence and your intended use is not permitted by statutory regulation or exceeds the permitted use, you will need to obtain permission directly from the copyright holder. To view a copy of this licence, visit http://creativecommons.org/licenses/by-nc-nd/4.0/.
About this article
Cite this article
Li, Y., Fang, H. A study on the characterization methods of ecological water requirements in rivers in the Southern plain Region, China. Sci Rep 16, 8333 (2026). https://doi.org/10.1038/s41598-026-39374-x
Received:
Accepted:
Published:
Version of record:
DOI: https://doi.org/10.1038/s41598-026-39374-x

















