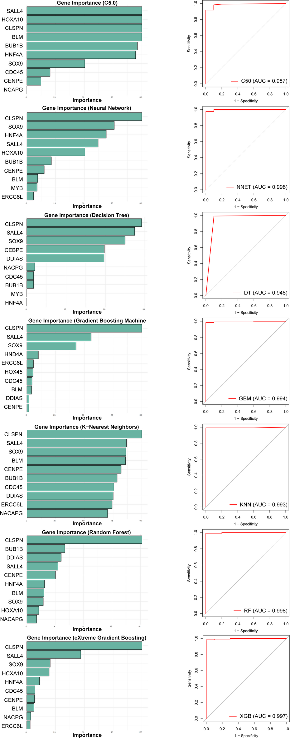
Fig. 4

Seven methods including C5.0, NNET, DecisionTree, GBM, KNN, RF, XGBoost all indicate that CLSPN and SALL4 are the hub genes. The corresponding ROC curves on the right demonstrate that all these models achieve high AUC values, suggesting excellent predictive performance in identifying these hub genes.