Abstract
Earth’s deep mantle hosts enigmatic structures known as Large Low Velocity Provinces (LLVPs), which sit atop the core–mantle boundary and influence mantle dynamics and plume generation. Understanding their origin is central to reconstructing Earth’s early thermal and compositional evolution. Several hypotheses suggest that present-day LLVPs are the disrupted remnants of a globally continuous dense layer that formed early in Earth’s history. In this study, we show that a laterally continuous, non-convecting proto-LLVP layer would have severely inhibited strong plume formation and suppressed upper mantle melting throughout the Archean contradicting extensive geological evidence for widespread volcanism and early crust formation. By incorporating melting in global mantle convection models, we find that even high mantle potential temperatures, increased radiogenic heating in the basal layer, and elevated core-mantle boundary temperatures cannot overcome the thermal and physical barrier imposed by a continuous non-convecting basal layer. These findings rule out the scenario of a globally continuous basal layer in early Earth, prior to modern-style plate tectonics, and instead support hypotheses of LLVP formation as spatially separate or later-evolving structures. By reconciling mantle dynamics with observed Archean melting signatures, this study places strong constraints on the timing and geometry of LLVP formation, advancing our understanding of Earth’s early thermal evolution and the origin of deep mantle anomalies.
Introduction
Global heat loss during the early Earth, a period of hotter interior temperatures, was limited by the likely presence of a global stagnant1,2 or sluggish lid3 at the surface and the possible presence of a global, continuous layer at the core–mantle boundary. This dual-insulator scenario implies a dynamically distinctive Earth, where mantle convection operated between two globally extensive insulating layers at the top and bottom of the mantle. Such a configuration would likely reorganize the mantle’s thermal structure in potentially observable ways, with direct implications for the generation, distribution, and timing of mantle melting and volcanism.
In the Hadean and Archean, higher radiogenic heating and residual primordial heat resulted in Earth’s internal temperature reaching ~ 200–300 °C higher than today4,5. Similarly, estimates based on the MORB liquidus6 and komatiitic melts7 suggest mantle potential temperatures of ~ 1580 °C, compared to ~ 1400 °C for post-Tertiary magmas. However, the Archean rock record also suggests that the surface heat flow during that time did not differ much from today’s values8, indicating lower-than-expected heat leaving the Earth’s surface despite the higher interior temperatures. Suppression of surface heat flow values may be due to early Earth operating under a stagnant lid regime1,2, where the lithosphere was largely immobile, suppressing surface recycling and convective heat loss. To reconcile the paradox between higher internal temperatures and lower than expected surface heat flow, modifications to the stagnant-lid regime such as heat-pipe volcanism9 and squishy lid tectonics3 have been proposed, both of which could allow localized extraction of heat while within a less-efficient global heat loss system.
Beyond these lithospheric processes, deep mantle dynamics may also have played a role as the heat flux at the core-mantle boundary also regulates global heat loss. The core heat flux depends both on the availability of heat sources—such as secular cooling of the core —and on the efficiency of mantle convection in transmitting that heat across the boundary. In addition, the core–mantle boundary often serves as the source region for large-scale mantle plumes10, which act as an efficient mechanism for transporting heat from the deep mantle toward the surface. Various hypotheses suggest that Earth’s lowermost mantle may have hosted a globally continuous basal magma ocean11,12 which could have crystallized into a dense, laterally continuous thermochemical layer—potentially the predecessor to today’s Large Low Velocity Provinces (LLVPs). Alternatively, this continuous layer may have formed from the accumulation of iron-rich material delivered by the Moon-forming impact13. However, such a dense basal layer would potentially act as a conducting lid atop the core–mantle boundary (CMB), significantly reducing core-to-mantle heat flux and suppressing mantle temperatures above it. In this study, we use global mantle convection models to investigate the thermomechanical consequences of an initially continuous basal layer at the CMB within a stagnant-lid convection regime. Our results indicate that indeed such a layer would have significantly inhibited heat transport from the core into the mantle and effectively shut down near-surface partial melting—an outcome inconsistent with widespread evidence for extensive mantle melting and crust formation during the Archean. We conclude that LLVPs could not have originated during Earth’s early history as an initially continuous non-convecting basal layer.
The origin of LLVPs remains an area of active debate, with several competing hypotheses proposing contrasting explanations for their formation, including some hypotheses suggesting that LLVPs originated from early-Earth processes. One possibility is that LLVPs are primordial thermochemical structures—relics from early differentiation events in Earth’s history—that have remained compositionally distinct since their formation14,15,16. In this scenario, crystallization from a basal magma ocean deposited dense, chemically distinct material at the base of the mantle, creating an LLVP predecessor that initially covered the entire core–mantle boundary (CMB). Over time, this dense layer was reshaped by the movement of subducting slabs, evolving into the two spatially distinct, present-day LLVPs. A more recent proposal argues instead that LLVPs are the remnants of Theia13, a Mars-sized planetary body that collided with the early Earth, leading to the formation of the Moon. According to this model, dense, iron-rich silicates from Theia rapidly sank to the lowermost mantle, forming a continuous layer over the CMB, which gradually separated into two spatially isolated piles. Understanding whether these scenarios are plausible is crucial because the presence of an early, continuous basal layer may have strongly inhibited heat flux from the core into the mantle, thereby affecting the planet’s thermal evolution. In turn, their presence may have directly governed the extent of melting near Earth’s surface — a process that drove the formation of Earth’s earliest crust, the occurrence of widespread volcanism, and the chemical evolution of the mantle throughout the Archean.
Extensive evidence from crustal growth models17, isotopic data18,19, and the rock record17,18,20 confirms that widespread mantle melting did occur during the Archean, providing a critical test for LLVP origin scenarios. Models of continental crust formation suggest that at least ~ 25% of Earth’s present-day continental crust formed during the Archean (Fig. 1A), implying sustained, extensive mantle melting and efficient melt extraction. The onset of continental crust formation is also corroborated by Hf and Nd isotopic signatures (Fig. S2) that reflect high degrees of mantle depletion. Additionally, samples of ultramafic volcanic rocks, such as komatiites, and erupted lavas from large igneous provinces (LIPs) cluster predominantly between ~ 3.8 and 2.7 Ga, indicating significant mantle melting (Fig. 1B). Together, the above geological, isotopic, and theoretical evidence indicates that sustained mantle melting in the Archean repeatedly supplied mantle-derived magmas to Earth’s surface, driving crustal growth and shaping Earth’s early continents.
Evidence for Archean surface volcanism. (top panel) Continental crustal growth models during the early Earth illustrate a wide range of proposed trajectories, from early and nearly complete crust formation (e.g., Armstrong, 1981) to more gradual, protracted growth (e.g., Condie & Aster, 2010; Pujol et al., 2013). (bottom panel) Temporal distributions of komatiites (blue) and large igneous provinces (green) highlight peaks in mafic-ultramafic magmatism during the Archean that coincide with major phases of continental crust generation Note that these are number distributions and do not account for the size or volume of individual events. We follow existing literature for classifying large igneous provinces. All data used to compile the figure are available in supplementary Fig. S1.
To investigate the effect of a continuous proto-LLVP layer on mantle processes that would have driven widespread partial melting in the Archean, we couple melt production calculations with numerical simulations of global mantle convection in a 2D spherical geometry. Spanning the first 2 Gyr following solidification of the global magma ocean (see Methods for details), the models operate in a stagnant lid regime and incorporate radiogenic heating. We implement the proto-LLVP as a highly viscous (200 times stronger than ambient mantle), dense layer (4% denser than ambient mantle) that completely covers the CMB. This combination of elevated density and viscosity ensures basal layer stability, allowing the layer to remain coherent and largely undeformed throughout the simulation run (refer to Supplementary section S2 and S3 for additional details). This setup allows us to isolate and assess the impact of a continuous, stable basal layer on mantle convection, heat flux, and melt generation. As discussed earlier, the Archean mantle was significantly hotter and experienced higher radiogenic heating rates than today, resulting in elevated mantle potential temperatures (TP). Moreover, greater residual primordial heat21,22would have led to higher core–mantle boundary temperatures (TCMB). To capture the effects of these early-Earth conditions in our experiments, we systematically vary the initial mantle potential temperature (TP = 1430 –1630 °C), and the CMB temperature (TCMB = 4500 –5500 K). We also vary the volumetric heat production ratio (Table 1 for values) between the proto-LLVP layer and the ambient mantle \(\:(\frac{{H}_{LLVP}}{{H}_{Mantle}}=\:\text{1,5},\text{10,15,20})\), to test the effects of a radiogenically enriched basal layer. Our results allow us to explore how early-Earth thermal conditions, in the presence of a stable proto-LLVP layer, influence mantle dynamics and the extent of partial melting relative to simulations without a proto-LLVP layer. Total melt production is calculated as the spatially integrated change in melt fraction \(\:F\) between model time steps. The melt fraction depends on temperature (\(\:T\)), pressure (\(\:P\)), and composition (\(\:{X}_{C}\)), as established in laboratory experiments23,24 and parameterized by several studies25,26. We employ an anhydrous parameterization25 to calculate the melt fraction from the model \(\:T,\:\text{a}\text{n}\text{d}\:P\) fields (details in Methods and Table 1).
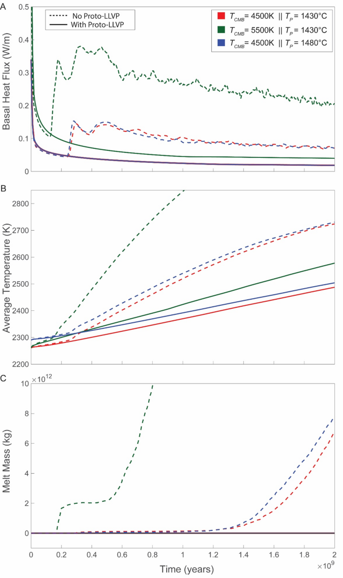
The numerical results show that a continuous proto-LLVP layer acts as an effective thermal and dynamical barrier regardless of the background mantle state. For clarity, we present the results both as time-dependent trends and as averages over the final 200 Myr of each model run. Comparing complete proto-LLVP coverage (100%) with no coverage (0%) reveals pronounced differences in mantle thermal evolution, basal heat transfer, and convective vigor (Fig. 2). In all cases tested, a continuous proto-LLVP decreases basal heat flux from the core (Fig. 2A) and slows down the increase in average mantle temperature relative to no-LLVP scenarios (Fig. 2B). This insulating effect arises because the basal layer does not actively participate in convection hindering upward heat transfer, suppressing mixing, and reducing convective vigor. Consistent with this, convective velocities (VRMS) are up to five times lower in models with a proto-LLVP (Fig. S5C). In the stagnant-lid regime, where large-scale transport depends on deep-seated upwellings, velocity fields show that strong plume initiation is inhibited by the dense basal layer, thereby damping circulation (Fig. 3). Although plumes eventually form at the top of the basal layer, their initiation is delayed (by ~ 1 Gyr), and their size and strength are substantially reduced relative to models without a basal layer. Such weak plumes occur because the presence of a stable, non-convecting layer within the thermal boundary layer reduces the thickness of the convective portion from which instabilities can develop, resulting in weaker upwellings. A similar effect is observed beneath thick continental lithosphere, where a non-deforming lid dominates the thermal boundary layer and limits the size of instabilities at its base27,28. In contrast, when no continuous layer is present, vigorous mantle flow promotes stronger core cooling and more efficient mixing.
Time evolution of mantle parameters in models with and without a continuous proto-LLVP layer. (A) Basal heat flux at the core–mantle boundary, (B) spatially-averaged mantle temperature, and (C) melt production. Solid lines show models with complete proto-LLVP coverage; dashed lines show models without any basal layer. For all model results shown here, \(\:\frac{{H}_{LLVP}}{{H}_{Mantle}}=\:1\). Colors indicate different initial thermal conditions, with combinations of core–mantle boundary temperature (TCMB) and mantle potential temperature (TP) given in the legend. Results highlight that proto-LLVPs reduce basal heat flux, slow mantle warming, and strongly suppress melt generation compared to cases without a proto-LLVP layer.
Time snapshots of temperature field at 1 Gyr from mantle convection models (A) with and (B) without a continuous proto-LLVP layer at the core–mantle boundary. The basal layer (A) acts as a thermal blanket and physical barrier, leading to reduced heat transfer from the core and inhibits strong plume formation, while the (B) model without a basal layer shows vigorous upwellings (red arrows) and complex convection patterns. Blue arrows are velocity vectors of mantle flow scaled by magnitude; the scale factor is identical in (A) and (B). For both the models, core–mantle boundary temperature (TCMB) is 4500 K, and mantle potential temperature (TP) is 1430 ℃. The internal radiogenic heating ratio \(\:\left(\frac{{H}_{LLVP}}{{H}_{Mantle}}\right)=1\) applies to (A).
As a result of inhibiting strong plume upwelling, the presence of a proto-LLVP layer suppresses nearly all melting in the upper mantle, yielding negligible or no melting during model runs (Fig. 2C). Although some weak plumes initiate above the basal layer after ~ 1.2 Gyr and a small number of such plumes reach the upper mantle by ~ 1.8 Gyr, their limited size and strength are insufficient to produce melting. In contrast, models without the proto-LLVP generate substantial melt, with melt production increasing with higher mantle potential temperatures and CMB temperatures. This difference reveals that a continuous basal layer at the CMB acts as such an effective thermal and physical barrier that the consequences of its insulating effects are not confined to the lower mantle but extend into the upper mantle, where insufficient heat is delivered to cause widespread partial melting. The reduction in strong plumes could also shut down heat-pipe stagnant-lid or sluggish-lid style convection. Given the evidence for volcanism and abundant mantle-derived melts during the Archean, our finding that a fully covering proto-LLVP would shut down melting suggests that this scenario is unlikely for Earth’s early mantle. Therefore, these results imply that a laterally continuous proto-LLVP layer could not have been present in the Archean mantle; instead, LLVP material must have formed later or featured partial coverage of the CMB that allowed strong plume formation and associated magmatism.
The suppression of melt production in the presence of a continuous basal layer raises a key question - how sensitive is this outcome to other factors that influence mantle thermal evolution? In particular, radiogenic heating from heat-producing elements (HPEs) is widely recognized as a dominant energy source in the early Earth, driving mantle convection, sustaining elevated temperatures, and enabling partial melting and crust formation29. Geochemical evidence from ocean island basalts and mid oceanic ridge basalts, together with estimates from bulk silicate Earth models and heat budget constraints suggest that HPE abundances vary within the mantle and may require a deep, HPE-enriched reservoir30, with LLVPs potentially serving this role31. Thus, a proto basal layer at the CMB—the predecessor to LLVPs—may have sequestered a greater fraction of HPEs, leading to locally enhanced heating. To examine whether internal heating within a proto-LLVP could offset the suppressive effects of a continuous basal layer, we systematically varied the ratio of radiogenic heat production in the basal layer (HLLVP) relative to the surrounding mantle (HMantle), while keeping the total volumetric heat production constant for all simulations (details in Methods and values used in Table 1). Therefore, higher \(\:\frac{{H}_{LLVP}}{{H}_{Mantle}}\) ratios represent scenarios in which proto-LLVPs are more thermally enriched, with reduced heating in the ambient mantle, potentially altering convective patterns, even if the global heat budget remains unchanged. Results show that increasing \(\:\frac{{H}_{LLVP}}{{H}_{Mantle}}\) from 1 to 20 leads to a marginal decrease in average mantle temperature, from ~ 2480 °C to ~ 2450 °C (Fig. 4A). This cooling likely reflects a combination of reduced heating in the ambient mantle and diminished heat flux at the CMB, as more heat becomes trapped within the stagnant proto-LLVP layer. For \(\:\frac{{H}_{LLVP}}{{H}_{Mantle}}\) >10, the models even produce negative heat flux values at the CMB, indicating net heat flow from the mantle back into the core. This result is likely a function of our choice of a fixed core-mantle boundary temperature. Nonetheless, all levels of HPEs in the 100% proto-LLVP models still result in a complete suppression of melting, in stark contrast to vigorous melt production observed in the no-LLVP case. Thus, our models indicate that radiogenic heating cannot overcome the thermal and mechanical barrier imposed by a laterally continuous, non-convecting proto-LLVP.
Effect of different parameters on melt production (left axis) and mantle temperature (right axis) for models with and without a proto-LLVP. The parameters varied include (A) internal radiogenic heating ratio \(\:\left(\frac{{H}_{LLVP}}{{H}_{Mantle}}\right)\), (B) core–mantle boundary temperature (TCMB), and (C) mantle potential temperature (TP). Triangles represent models without a proto-LLVP, and circles represent models with a proto-LLVP. Average melt Mass (kg) and Mantle Temperature (K) represent temporal average over the last 200 Myr of the total melt mass and spatially averaged mantle temperature respectively. The parameters kept constant are mentioned within each figure. The data used to calculate the averages are available in figure S5, S6, S7.
In addition to internal heat from HPEs, a sufficiently high core–mantle boundary temperature (TCMB) is another factor that could, in principle, steepen the basal thermal gradient enough to overcome the insulating effect of an LLVP layer and sustain heat flow into the mantle. The TCMB sets the basal thermal boundary condition for mantle convection, directly controlling the amount of heat available to drive upwelling, which in turn sustains partial melting. This trend is confirmed in our numerical experiments with no-LLVP layer: increasing the TCMB from 4500 K to 5500 K results in a rise in average mantle temperatures from ~ 2710 °C to ~ 2890 °C, accompanied by enhanced melt production (Fig. 4B). However, we find that regardless of TCMB, the presence of a proto-LLVP layer effectively insulates the mantle from the core. Thus, scenarios with extremely high CMB temperatures (5500 K) and 100% LLVP coverage exhibit significantly lower average mantle temperatures (~ 2630 °C) compared to the no-LLVP case. Temperatures at 300 km depth (T300)—an indicator of near-surface thermal conditions and the approximate maximum depth of validity for our chosen solidus parameterization—remain more than ~ 89 °C below the solidus (Fig S8) after 2 Gyr in these scenarios. Consequently, these cases fail to generate any melt, demonstrating that elevated CMB temperatures beneath a laterally continuous, non-convecting proto-LLVP layer are unlikely to promote volcanism as observed in the Archean.
Another important factor that fundamentally controls the degree of partial melting is the mantle potential temperature (TP) just after solidification of the magma ocean (the initial Tp in our model). Higher TP values predicted during the Archean have long been invoked to explain mantle melting and volcanism32,33. For example, petrological and thermal evolution models indicate that Archean non-arc basalts exhibit TP of ~ 1480 °C, compared to ~ 1350 °C at present34,35. Archean komatiites, characterized by high MgO contents and high liquidus temperatures, imply even higher36 TP > ~ 1600 °C. In our models with no proto-LLVP layer, increasing TP from ~ 1430 °C to ~ 1480 °C results in greater melt production (increasing from ~ 5 × 10¹² kg to ~ 7 × 10¹² kg) and maintains higher sub-lithospheric temperatures at 300 km depth (Fig. 4C). However, in the presence of a continuous proto-LLVP layer, even an elevated TP is insufficient to sustain melt production and generate strong plumes (Fig. 4C). For example, at \(\:{T}_{P}\) =~1480 °C, melt production remains absent for the entire ~ 2 Ga of model evolution (Fig. 4C), and T300 is ~ 53 °C below the solidus temperature at 2 Gyr. Interestingly, even when TP = ~ 1630 °C, the model produces nearly all melt in the initial stages, with ~ 98% generated in the first 0.2 Ga and only 2% during the remaining 1.8 Ga. Thus, once the insulating effect of the proto-LLVP is established, it effectively halts further melt generation, even under high initial TP conditions. These results demonstrate that although high mantle potential temperatures strongly increase melt production, their influence becomes secondary if a stable, non-convecting proto-LLVP layer is present.
The numerical results demonstrate the insulating effect of a continuous proto-LLVP layer, but applying these results to early Earth assumes that such a layer could have persisted throughout the Archean (~ 2 Ga). Several lines of evidence suggest that modern LLVPs may maintain long-term stability. Reconstructions of the initial eruption sites of large igneous provinces37 and kimberlites38 indicate that the two major LLVPs observed today may have persisted for at least 200 Myr and possibly as long as 540 Myr. The physical properties of LLVPs also favour long-term stability. Estimates of density using seismological, geodetic and geodynamic methods indicate mostly positive density anomalies39,40,41,42,43, ranging from ~ 0.5% to ~ 3.0%. Such excess density would help anchor these structures near the core–mantle boundary. In addition, higher intrinsic viscosity of the pile material can prolong the residence time of dense heterogeneities in the deep mantle, as demonstrated by recent geodynamic models44. If LLVPs originated as a primordial thermochemical layer— formed either by early mantle differentiation or by the accumulation of iron-rich silicates from Theia — their high density and viscosity would likely keep them largely immobile. Thus, lateral reorganization would rely primarily on the action of subducting slabs and large-scale mantle flow driven by plate tectonics45,46. However, during Earth’s early history, a stagnant lid tectonic regime may have persisted until around 2.5 Ga47,48, limiting the development of subducting slabs and resulting movement of deep mantle material. Under these conditions, it is possible that a globally continuous LLVP predecessor layer could have remained intact and laterally extensive until the onset of plate tectonics.
Early-Earth global tectonics, however, remain uncertain, with compelling evidence for both stagnant-lid regimes and early subduction-dominated regimes. Geological evidence from Hadean detrital zircons49,50 suggests possible early subduction or subduction-like processes, potentially triggered by large impacts51 or plume activity from dense basal structures52 such as LLVPs. These studies imply that the early Earth may not have been strictly stagnant. Conversely, evidence supporting a stagnant lid includes 142Nd variations in late Archean rocks2, zircon paleomagnetism53, and 3-D modelling54 results showing that plate-like behaviour induced by large impacts is temporary, with the system reverting to a stagnant-lid state as the impactor flux decreases. As such, future work should explore how alternative tectonic regimes—from stagnant-lid to episodic or sustained subduction—modify the stability and thermal influence of dense basal layers.
Our results may also have implications for the origin and evolution of the basal magma ocean (BMO) hypothesis by highlighting how dense basal layers can modulate core–mantle heat transfer and mantle melting. The final crystallization stage of the BMO has long been suggested as a natural mechanism55for generating globally extensive, extremely dense basal mantle anomalies56 corresponding to ULVZ-like structures. ULVZs (ultralow velocity zones) are thin (5 to 50 km) enigmatic regions with strongly reduced P- and S-wave velocities and increased density at the core-mantle boundary57,58. A global ULVZ-like layer formed from BMO-crystallization could plausibly produce effects similar to those explored in this study, including reduced CMB heat flux and suppressed mantle melting. Although such a BMO-derived layer would likely be fluid or partially molten and may convect internally, if it was dynamically decoupled from the overlying mantle, it would not efficiently generate buoyant upwellings and could instead act as a thermal buffer that limits heat transfer from the core. In this sense, a global BMO-derived ULVZ layer may suppress mantle melting in a manner qualitatively similar to the insulating behavior modeled here. However, definitive resolution of this question will require future geodynamic studies that explicitly incorporate multiphase rheology and crystallization processes.
Our numerical experiments demonstrate that a laterally continuous, non-convecting proto-LLVP layer covering the entire core–mantle boundary would have exerted a profound insulating effect on Earth’s early mantle. Such a configuration suppresses core-to-mantle heat flux, dampens strong plume formation, and, crucially, inhibits upper mantle melting across a broad range of thermal and heating conditions. This outcome is fundamentally at odds with geological and geochemical evidence for extensive mantle melting during the Archean, including widespread komatiite volcanism and rapid continental crust formation. Even under elevated mantle potential temperatures or enhanced radiogenic heat budgets, the thermal barrier imposed by a proto-LLVP layer cannot be overcome. These findings strongly argue against the hypothesis that LLVPs originated as a continuous, global basal layer. Instead, our results support the view that LLVPs either formed later in Earth’s evolution through the accumulation of subducting slabs or originated as spatially separate, localized structures.
Methods
We solve the equations of conservation of mass, momentum, and energy for a compressible mantle within a 2D spherical shell geometry. Simulations were performed using the finite element code ASPECT59,60,61,62 version 3.0. ASPECT solves for the velocity field (u), pressure (P), and temperature (T) by numerically integrating the coupled equations of compressible mantle convection (bold variables indicate vector quantities).
Here, \(\:\rho\:\) is density, \(\:t\) denotes time, \(\:\sigma\:\) is the deviatoric stress tensor, \(\:g\) is gravitational acceleration, \(\:{C}_{p}\) is the specific heat capacity, and \(\:k\) is thermal conductivity. The second and third terms of the energy conservation equation Eq. (\(\:3\)) represent advective and diffusive heat transport, respectively. The right-hand side includes the effects of additional internal heating processes: radiogenic heat production (\(\:\rho\:H\)), shear heating (\(\:{S}_{s}\)), adiabatic heating (\(\:{S}_{a}\)), and latent heating (\(\:{S}_{l}\)). These terms are coupled to the strain rate, thermal expansivity, and phase transitions in the model, respectively63,64. Values used for these variables in our models are summarized in Table 1.
We employ the Isentropic Compression Approximation (ICA), which is the default formulation for compressible flow65 in ASPECT. The ICA simplifies the mass conservation equation by neglecting the time derivative of density, while still computing a local adiabat based on pressure, temperature, and composition. This results in a modified mass conservation equation Eq. (\(\:4\)), where \(\:{{\upkappa\:}}_{\text{s}}\) denotes the compressibility and \(\:\rho\:\) is the density as a function of pressure, temperature, and composition. Composition-dependent material properties are tracked using compositional fields (\(\:{c}_{i}\), with i = 1….C), which are advected according to Eq. (\(\:5\)):
Flow in our model is governed by a viscous-plastic rheology, which accounts for both diffusion and dislocation creep mechanisms. The viscosity for creep deformation is computed using Eq. (6), which depends on the deviatoric strain rate (\(\:\dot{\epsilon\:}\)), pressure (\(\:P\)), temperature (\(\:T\)), and material parameters66,67. For diffusion creep, the grain size is assumed to be constant and is absorbed into the pre-exponential factor \(\:A\) (see Table 1 for values). Setting the stress exponent n = 1 in Eq. (6) yields diffusion creep, while n = 3 corresponds to dislocation creep. In the lower mantle, we assume that deformation is governed solely by diffusion creep and use n = 1.
Plastic yielding is introduced, by applying the Drucker–Prager yield criterion68.
In 2D, this criterion closely resembles the Mohr–Coulomb criterion and is expressed in Eq. (7). It is parameterized by the cohesion \(\:\left(C\right)\) and the internal friction angle \(\:\left(\varphi\:\right)\), the latter of which follows a consistent69 depth-dependent formulation (see Table 1 for values). Based upon this formulation, a yield viscosity (\(\:{\eta\:}_{yield}\)) is calculated as shown in Eq. (8). Since both dislocation and diffusion creep mechanisms can be active simultaneously, their viscosities are harmonically averaged according to Eq. (9). The final effective viscosity (\(\:{\eta\:}_{eff}\)) is then computed as the minimum of the yield viscosity and the harmonically averaged viscosity (\(\:{\eta\:}_{\text{a}\text{v}\text{g}}\)), as defined in Eq. (10). To maintain stagnant-lid conditions throughout the model simulation run, we prescribe a high yield stress \(\:{\sigma\:}_{yield}\) by imposing a large cohesion (\(\:C=\)100 MPa) together with a high friction angle (\(\:\varphi\:\approx25^\circ\:\)), which inhibits yielding within our simulations.
Free-slip boundary conditions are applied at the inner and outer boundaries of the 2D spherical shell, such that no external forces prescribe the tangential velocity. The basal layer and overlying mantle are fully coupled, with no kinematic or thermal boundary artificially imposed at their interface.
Computing melt production
To compute melt production, the melt fraction (F) must be evaluated at every time step. Melt fraction is a function of temperature (T), pressure (P), and composition (XC), expressed as \(\:F\hspace{0.17em}=\hspace{0.17em}F(T,\:P,\:{X}_{C})\). The dependence of F on these variables has been extensively investigated in laboratory experiments23,24. Several parameterizations have been developed to approximate this relationship with simple equations25,26, enabling efficient and reasonably accurate estimates of melt fraction. In this study, we adopt the anhydrous melting parameterization of Katz et al.25 to calculate F from T, P, and XC. We chose an anhydrous implementation as hydrous melting will not significantly alter our results as it yields only small melt volumes and water is highly incompatible.
In our numerical models, T is obtained directly from mantle convection simulations, while P is determined from depth and overlying material density. The mantle above the basal layer is assumed to have a uniform composition, and melting is computed only for this mantle material. The basal layer does not undergo melting in our models. As a result, the melting formulation is effectively isochemical. Additionally, the composition is defined solely through its prescribed physical properties and is not explicitly specified in terms of mineralogical assemblages. Melt fraction values are stored on Lagrangian tracers that are advected by mantle flow, with T, P, and XC interpolated to the tracer positions70. Tracers can be thought of as point-like objects advected along with the flow. In other words, if u(x, t) is the flow field that results from solving Eqs. (1)-(2), then the kth particle’s position satisfies the Eq.
Initially, the melt fraction of all tracers is set to zero. As tracers move with the mantle, their T and P values are updated at each time step, and a new melt fraction (Fnew) is computed using the Katz et al.25 parameterization. To examine melt generation through time, we consider only additional melt generated in each timestep, i.e., when Fnew > F. If this condition is satisfied, the tracer melt fraction is updated (\(\:F={F}_{\text{new}}\)), and the increment of melt produced is recorded as newly generated melt. Melt is assumed to remain locally retained, (i.e., no extraction), and therefore does not have any additional effects on the model dynamics.
Heating implementation
We conduct numerical experiments by varying the volumetric heat production ratio between the proto-LLVP layer (HLLVP) and the ambient mantle (HMantle) to evaluate the influence of a thermally enriched basal layer on mantle thermal evolution. Time-dependent heat production rates for heat-producing elements (HPEs) are incorporated as listed in Table 1. Radiogenic heating decreases with time in both the basal layer and the rest of the mantle following the exponential decay law, using a weighted average half-life representative of the contributing HPEs (Table 1). The initial heating rate of the ambient mantle at 4.5 Ga is estimated by extrapolating HPE abundances71back through time, while the basal layer heating rate is scaled to be 1, 5, 10, 15, or 20 times higher than that of the ambient mantle.
To estimate the radiogenic heating rate of the ambient mantle (HMantle), we adopt a mass-balance approach that partitions the total radiogenic power of the Bulk Silicate Earth (BSE) into the LLVPs and the depleted ambient mantle. We distribute the total radiogenic power of the BSE \(\:\left({Q}_{T}\right)\) according to the mass and enrichment of each reservoir. The heating rate of the depleted mantle is then expressed as:
Here, \(\:{M}_{BSE}\) and \(\:{M}_{LLVP}\) are the masses of the BSE, and LLVP, respectively. \(\:X\) is the enrichment factor representing the ratio of HPE concentration in the LLVP to that in the depleted ambient mantle. This formulation allows for a consistent determination of the average HPE-based heating rate in the mantle, assuming mass conservation and known enrichment patterns.
Data availability
All data and parameters are available in the main text or the supplementary materials. The specific ASPECT branch and parameter files to reproduce these models, as well as the scripts used to create figures and calculate the average heat flux, temperature, and melt mass can be found at https://doi.org/10.5281/zenodo.18026800.
References
Michaut, C., Davaille, A. & Labrosse, S. Formation and evolution of planetary stagnant lids and crusts. Annu. Rev. Fluid Mech. https://doi.org/10.1146/ANNUREV-FLUID-112723-055048 (2025).
Debaille, V. et al. Stagnant-lid tectonics in early Earth revealed by 142Nd variations in late archean rocks. Earth Planet. Sci. Lett. 373, 83–92 (2013).
Cawood, P. A. et al. Secular evolution of continents and the Earth system. Rev. Geophys. 60, e2022RG000789 (2022).
Herzberg, C. Petrological evidence from komatiites for an early Earth carbon and water cycle. J. Petrol. 57, 2271–2288 (2016).
Abbott, D., Burgess, L., Longhi, J. & Smith, W. H. F. An empirical thermal history of the earth’s upper mantle. J. Geophys. Res. Solid Earth. 99, 13835–13850 (1994).
Van Hunen, J., Van Keken, P. E., Hynes, A. & Davies, G. F. Tectonics of early earth: some geodynamic considerations. Special Paper Geol. Soc. Am. 440, 157–171 (2008).
Nisbet, E. G., Cheadle, M. J., Arndt, N. T. & Bickle, M. J. Constraining the potential temperature of the Archaean mantle: A review of the evidence from komatiites. Lithos 30, 291–307 (1993).
Burke, K. & Kidd, W. S. F. Were archean continental geothermal gradients much steeper than those of today? Nature 272, 240–241 (1978).
Moore, W. B. & Webb, A. A. G. Heat-pipe Earth. Nature 501, 501–505 (2013).
Roy, A., Ghosh, D. & Mandal, N. Dampening effect of global flows on Rayleigh–Taylor instabilities: implications for deep-mantle plumes vis-à-vis hotspot distributions. Geophys. J. Int. 236, 119–138 (2023).
Boukaré, C. É., Badro, J. & Samuel, H. Solidification of Earth’s mantle led inevitably to a basal magma ocean. Nature 640, 114–119 (2025).
Labrosse, S., Hernlund, J. W. & Coltice, N. A crystallizing dense magma ocean at the base of the earth’s mantle. Nature 450, 866–869 (2007).
Yuan, Q. et al. Moon-forming impactor as a source of earth’s basal mantle anomalies. Nature 623, 95–99 (2023).
Garnero, E. J., McNamara, A. K. & Shim, S. H. Continent-sized anomalous zones with low seismic velocity at the base of earth’s mantle. Nat. Geosci. 9, 481–489 (2016).
Labrosse, S., Hernlund, J. W. & Hirose, K. Fractional melting and freezing in the deep mantle and implications for the formation of a basal magma ocean. Early Earth: Accretion Differ. 123–142. https://doi.org/10.1002/9781118860359 (2015).
Carlson, R. W. et al. How did early Earth become our modern world? Annu. Rev. Earth Planet. Sci. 42, 151–178 (2014).
Cawood, P. A. & Hawkesworth, C. J. Continental crustal volume, thickness and area, and their geodynamic implications. Gondwana Res. 66, 116–125 (2019).
Vervoort, J. D. & Kemp, A. I. S. Isotope evolution of the depleted mantle. Annu. Rev. Earth Planet. Sci. 53, 195–221 (2025).
Guo, M. & Korenaga, J. The combined hf and Nd isotope evolution of the depleted mantle requires Hadean continental formation. Sci Adv 9, (2023).
Ernst, R. E. et al. Large igneous Province record through time and implications for secular environmental changes and geological time-Scale boundaries. Large Igneous Provinces: Driv. Global Environ. Biotic Changes. 1–26 https://doi.org/10.1002/9781119507444.CH1 (2021).
Nimmo, F. Energetics of the core. Treatise Geophysics: Volume. 1–10 (1–10), 31–65 (2007).
Labrosse, S. Thermal and magnetic evolution of the earth’s core. Phys. Earth Planet. Inter. 140, 127–143 (2003).
Hirschmann, M. M. Mantle solidus: experimental constraints and the effects of peridotite composition. Geochem. Geophys. Geosyst. 1, (2000).
Till, C. B., Grove, T. L. & Krawczynski, M. J. A melting model for variably depleted and enriched lherzolite in the plagioclase and spinel stability fields. J. Geophys. Res. Solid Earth. 117, 6206 (2012).
Katz, R. F., Spiegelman, M. & Langmuir, C. H. A new parameterization of hydrous mantle melting. Geochem. Geophys. Geosyst. 4, 1073 (2003).
Kelley, K. A. et al. Mantle melting as a function of water content beneath the Mariana Arc. J. Petrol. 51, 1711–1738 (2010).
Lee, C. T. A., Lenardic, A., Cooper, C. M., Niu, F. & Levander, A. The role of chemical boundary layers in regulating the thickness of continental and oceanic thermal boundary layers. Earth Planet. Sci. Lett. 230, 379–395 (2005).
Cooper, C. M., Lenardic, A. & Moresi, L. The thermal structure of stable continental lithosphere within a dynamic mantle. Earth Planet. Sci. Lett. 222, 807–817 (2004).
Korenaga, J. Thermal evolution with a hydrating mantle and the initiation of plate tectonics in the early Earth. J. Geophys. Res. Solid Earth. 116, 12403 (2011).
Kellogg, L. H. Mixing in the mantle. Annual Rev. Earth Planet. Sci. Vol. 20 20, 365–388 (1992).
Citron, R. I. et al. Effects of Heat-Producing elements on the stability of deep mantle thermochemical piles. Geochem. Geophys. Geosyst. 21, e2019GC008895 (2020).
Jaupart, C., Labrosse, S., Lucazeau, F., Mareschal, J. C. & Temperatures Heat, and energy in the mantle of the Earth. Treatise Geophysics: Second Ed. 7, 223–270 (2015).
Hynes, A. How feasible was subduction in the Archean?1. Can. J. Earth Sci. 51, 286–296 (2014).
Ganne, J. & Feng, X. Primary magmas and mantle temperatures through time. Geochem. Geophys. Geosyst. 18, 872–888 (2017).
Korenaga, J. Urey ratio and the structure and evolution of earth’s mantle. Rev. Geophys. 46, 2007 (2008).
Herzberg, C., Condie, K. & Korenaga, J. Thermal history of the Earth and its petrological expression. Earth Planet. Sci. Lett. 292, 79–88 (2010).
Burke, K. & Torsvik, T. H. Derivation of large igneous provinces of the past 200 million years from long-term heterogeneities in the deep mantle. Earth Planet. Sci. Lett. 227, 531–538 (2004).
Torsvik, T. H., Burke, K., Steinberger, B., Webb, S. J. & Ashwal, L. D. Diamonds sampled by plumes from the core-mantle boundary. Nature 466, 352–355 (2010).
Ishii, M. & Tromp, J. Normal-mode and free-air gravity constraints on lateral variations in velocity and density of earth’s mantle. Sci. (1979). 285, 1231–1236 (1999).
Lau, H. C. P. et al. Tidal tomography constrains earth’s deep-mantle buoyancy. Nature 551, 321–326 (2017).
Moulik, P. & Ekström, G. The relationships between large-scale variations in shear velocity, density, and compressional velocity in the earth’s mantle. J. Geophys. Res. Solid Earth. 121, 2737–2771 (2016).
Trampert, J., Deschamps, F., Resovsky, J. & Yuen, D. Probabilistic tomography maps chemical heterogeneities throughout the lower mantle. Sci. (1979). 306, 853–856 (2004).
Li, Y., Deschamps, F. & Tackley, P. J. The stability and structure of primordial reservoirs in the lower mantle: insights from models of thermochemical convection in three-dimensional spherical geometry. Geophys. J. Int. 199, 914–930 (2014).
Desiderio, M. & Ballmer, M. D. Ancient Stratified Thermochemical Piles Due To High Intrinsic Viscosity. Geophys. Res. Lett. 51, eGL110006 (2024).
McNamara, A. K. & Zhong, S. Thermochemical structures beneath Africa and the Pacific ocean. Nature 437, 1136–1139 (2005).
Yuan, Q. & Li, M. Vastly different heights of LLVPs caused by different strengths of historical slab push. Geophys. Res. Lett. 49, e2022GL099564 (2022).
Eguchi, J., Seales, J. & Dasgupta, R. Great Oxidation and Lomagundi events linked by deep cycling and enhanced degassing of carbon. Nat. Geosci. 13, 71–76 (2019).
Condie, K. C., Aster, R. C. & Van Hunen, J. A great thermal divergence in the mantle beginning 2.5 ga: geochemical constraints from greenstone basalts and komatiites. Geosci. Front. 7, 543–553 (2016).
John, W., Valley, W. H., Peck, E. M., King & Simon, A. Wilde. A cool early Earth. Geology 30, 351–354 (2002).
Watson, E. B. & Harrison, T. M. Zircon thermometer reveals minimum melting conditions on earliest Earth. Sci. (1979). 308, 841–844 (2005).
O’Neill, C., Marchi, S., Zhang, S. & Bottke, W. Impact-driven subduction on the Hadean Earth. Nat. Geosci. 10, 793–797 (2017).
Yuan, Q., Gurnis, M., Asimow, P. D. & Li, Y. A Giant Impact Origin for the First Subduction on Earth. Geophys. Res. Lett. 51, eGL106723 (2023).
Tarduno, J. A. et al. Hadaean to Palaeoarchaean stagnant-lid tectonics revealed by zircon magnetism. Nature 618, 531–536 (2023).
Borgeat, X. & Tackley, P. J. Hadean/Eoarchean tectonics and mantle mixing induced by impacts: a three-dimensional study. Progress Earth Planet. Sci. 9 (1), 9–38 (2022). (2022).
Ballmer, M. D. et al. Present-day Earth mantle structure set up by crustal pollution of the basal magma ocean. Sci. Adv. 11, 2072 (2025).
Frost, D. A., Rost, S., Garnero, E. J. & Li, M. Seismic evidence for earth’s crusty deep mantle. Earth Planet. Sci. Lett. 470, 54–63 (2017).
McNamara, A. K., Garnero, E. J. & Rost, S. Tracking deep mantle reservoirs with ultra-low velocity zones. Earth Planet. Sci. Lett. 299, 1–9 (2010).
Yu, S. & Garnero, E. J. Ultralow velocity zone locations: A global assessment. Geochem. Geophys. Geosyst. 19, 396–414 (2018).
Kronbichler, M., Heister, T. & Bangerth, W. High accuracy mantle convection simulation through modern numerical methods. Geophys. J. Int. 191, 12–29 (2012).
Heister, T., Dannberg, J., Gassmöller, R. & Bangerth, W. High accuracy mantle convection simulation through modern numerical methods – II: realistic models and problems. Geophys. J. Int. 210, 833–851 (2017).
Gassmöller, R., Lokavarapu, H., Heien, E., Puckett, E. G. & Bangerth, W. Flexible and scalable Particle-in-Cell methods with adaptive mesh refinement for geodynamic computations. Geochem. Geophys. Geosyst. 19, 3596–3604 (2018).
Bangerth, W. et al. ASPECT v3.0.0. https://doi.org/10.5281/ZENODO.14371679.
Schubert, G., Turcotte, D. L. & Olson, P. Mantle convection in the Earth and planets. Mantle Convection Earth Planet. https://doi.org/10.1017/CBO9780511612879 (2001).
van der Wiel, E., van Hinsbergen, D. J. J., Thieulot, C. & Spakman, W. Linking rates of slab sinking to long-term lower mantle flow and mixing. Earth Planet. Sci. Lett. 625, 118471 (2024).
Gassmöller, R., Dannberg, J., Bangerth, W., Heister, T. & Myhill, R. On formulations of compressible mantle convection. Geophys. J. Int. 221, 1264–1280 (2020).
Roy, A., Mandal, N. & Van Hunen, J. Dynamic evolution of competing same-dip double subduction: new perspectives of the Neo-Tethyan plate tectonics. Earth Planet. Sci. Lett. 647, (2024).
Karato, S. I. & Wu, P. Rheology of the upper mantle: A synthesis. Sci. (1979). 260, 771–778 (1993).
Roy, A., Roy, N., Saha, P. & Mandal, N. Factors Determining Shear-Parallel Versus Low-Angle Shear Band Localization in Shear Deformations: Laboratory Experiments and Numerical Simulations. J. Geophys. Res. Solid Earth 126, eJB022578 (2021).
Ulvrova, M. M., Coltice, N., Williams, S. & Tackley, P. J. Where does subduction initiate and cease? A global scale perspective. Earth Planet. Sci. Lett. 528, 115836 (2019).
Li, M. et al. Quantifying melt production and degassing rate at mid-ocean ridges from global mantle convection models with plate motion history. Geochem. Geophys. Geosyst. 17, 2884–2904 (2016).
Arevalo, R. et al. Simplified mantle architecture and distribution of radiogenic power. Geochem. Geophys. Geosyst. 14, 2265–2285 (2013).
Neuharth, D. & Mittelstaedt, E. Temporal variations in plume flux: characterizing pulsations from Tilted plume conduits in a rheologically complex mantle. Geophys. J. Int. 233, 338–358 (2022).
Dannberg, J. et al. The importance of grain size to mantle dynamics and seismological observations. Geochem. Geophys. Geosyst. 18, 3034–3061 (2017).
Acknowledgements
We would like to thank the Editor Dr. Lin Chen, the Assistant Editor Aditi Kutwal, Dr. Bernhard Steinberger and one anonymous reviewer for their constructive suggestions which helped in improving the content of this article. We would like to thank the ASPECT community and Computational Infrastructure for Geodynamics (geodynamics.org) for supporting the development of ASPECT. Models were run using the Falcon: High Performance Supercomputer, University of Idaho (https://doi.org/10.7923/falcon.id). We also thank the Falcon Technical Staff for their valuable assistance.
Funding
This study is supported by NSF Award: EAR‑2310324 to EM and EAR-2310325 to CC.
Author information
Authors and Affiliations
Contributions
AR, EM and CC conceptualized the initial idea. AR, EM and CC designed the study. AR performed and analyzed the geodynamic models with supervision from EM and CC. AR compiled and prepared the Early earth datasets. All authors contributed to the writing and editing of the manuscript.
Corresponding author
Ethics declarations
Competing interests
The authors declare no competing interests.
Additional information
Publisher’s note
Springer Nature remains neutral with regard to jurisdictional claims in published maps and institutional affiliations.
Supplementary Information
Below is the link to the electronic supplementary material.
Rights and permissions
Open Access This article is licensed under a Creative Commons Attribution-NonCommercial-NoDerivatives 4.0 International License, which permits any non-commercial use, sharing, distribution and reproduction in any medium or format, as long as you give appropriate credit to the original author(s) and the source, provide a link to the Creative Commons licence, and indicate if you modified the licensed material. You do not have permission under this licence to share adapted material derived from this article or parts of it. The images or other third party material in this article are included in the article’s Creative Commons licence, unless indicated otherwise in a credit line to the material. If material is not included in the article’s Creative Commons licence and your intended use is not permitted by statutory regulation or exceeds the permitted use, you will need to obtain permission directly from the copyright holder. To view a copy of this licence, visit http://creativecommons.org/licenses/by-nc-nd/4.0/.
About this article
Cite this article
Roy, A., Mittelstaedt, E. & Cooper, C.M. Deep mantle anomalies block early Earth melting, challenging a primordial origin. Sci Rep 16, 10775 (2026). https://doi.org/10.1038/s41598-026-39827-3
Received:
Accepted:
Published:
Version of record:
DOI: https://doi.org/10.1038/s41598-026-39827-3



