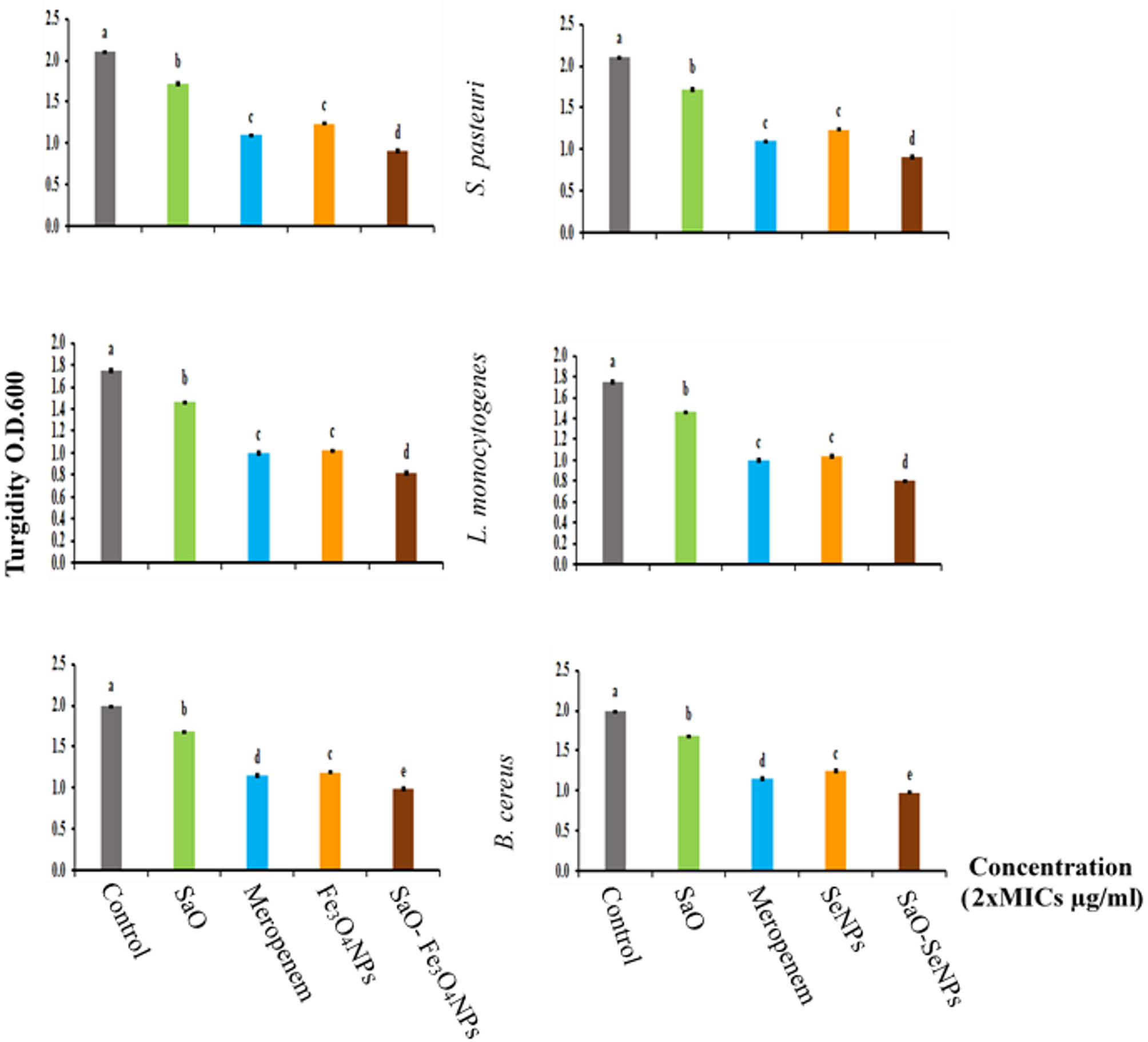
Fig. 6

Showing comparative antibiofilm activity of Salvia officinalis L. extract (SaO), MNPs (Fe3O4NPs and SeNPs), and their composites (SaO-Fe3O4NPs, SaO-SeNPs) against three Gram-positive bacteria relative to meropenem.

Showing comparative antibiofilm activity of Salvia officinalis L. extract (SaO), MNPs (Fe3O4NPs and SeNPs), and their composites (SaO-Fe3O4NPs, SaO-SeNPs) against three Gram-positive bacteria relative to meropenem.