Abstract
The increased prevalence of multidrug-resistant (MDR) pathogens and biofilm-associated infections underscores the urgent need for alternative antimicrobial strategies. In this study, MDR testing revealed lower resistance in Gram-positive bacteria (Staphylococcus pasteuri, Listeria monocytogenes, and Bacillus cereus; 69–77%) than in Gram-negative strains (Proteus mirabilis, Pseudomonas aeruginosa, and Escherichia coli; 83–92%). Magnetite nanoparticles (Fe3O4NPs) and selenium nanoparticles (SeNPs) were synthesized via a green chemical reduction using L-ascorbic acid, followed by their conjugation with Salvia officinalis (SaO) aqueous extract to enhance stability and biological activities. TEM, DLS, XRD, and FT-IR analyses confirmed the nanoscale crystalline structure of the synthesized metal nanoparticles (MNPs) and the successful integration of SaO phytoconstituents into the nanocomposites. Phytochemical characterization further revealed variable adhesion and retention of SaO bioactive compounds within the two nanocomposites. The MIC values of SaO-Fe3O4NPs (0.03–1) and SaO-SeNPs (0.03–0.5 µg/mL) were not only dramatically lower than the SaO extract (125–500 µg/mL) and MNPs (0.5–25 µg/mL), but also comparable to or even exceeded meropenem (0.25–2 µg/mL). Vigorous antibacterial activity validated by TEM, revealing extracellular and intracellular deformations, in accordance with the growth curve inhibition patterns. The nanocomposites also demonstrated potent antibiofilm activity, achieving 32.5–59.5% inhibition with SaO-Fe₃O₄NPs and 30.2–56.7% with SaO-SeNPs, surpassing meropenem, which exhibited maximum inhibition values of 32.5–47.6%.
Introduction
Multidrug-resistant (MDR) bacteria are the most significant global concern because they exhibit resistance to multiple conventional antibiotic classes and are frequently isolated worldwide1. This clearly demonstrated the necessity for innovative antimicrobial approaches1, such as plant extracts2, native or modified proteins3,4, and nanoparticles5, which can be used alone or in combination with known antibiotics3,6. Antimicrobial resistance (AMR), which underlies the development of MDR phenotypes, arises primarily from the misuse and overuse of antibiotics, such as prolonged or excessive dosing and administration without proper diagnosis, thereby posing a serious threat to human health7,8. Conventional antibiotics typically target specific cellular sites; however, prolonged exposure can induce alterations in these targets, leading to reduced drug uptake or failure of cell entry9. In addition, bacterial mutations may result in structural modifications of the cell wall or membrane, activation of efflux systems, and enzymatic inactivation of antibiotics, including the production of β-lactamases10. Consequently, the development of innovative antimicrobial agents with alternative and non-specific modes of action has become imperative.
Nanotechnology has emerged as a key field in developing advanced antibacterial agents11,12. The synthesis of various nanomaterials has attracted considerable attention for their potential applications in imaging, diagnostics, and targeted drug delivery systems that enhance therapeutic efficiency13,14,15.
Among iron oxide nanomaterials, magnetite (Fe₃O₄), a magnetic iron oxide with an inverse spinel structure, possesses distinctive electrical and magnetic properties arising from electron transfer between Fe²⁺ and Fe³⁺ ions at octahedral sites16. Owing to their biocompatibility, low cytotoxicity, superparamagnetic, and high stability, Fe₃O₄NPs have shown promise in drug delivery, hyperthermia, tissue engineering, and magnetic resonance imaging applications17,18. Environmentally friendly routes for synthesizing iron nanoparticles have further advanced their biomedical relevance19.
Selenium has both pro- and anti-oxidative properties, making it a necessary trace element in the human body (approximately 40 µg Se/day). However, large amounts of Se (around 400 µg day− 1) can be toxic and hazardous to health20,21. Biological processes depend on selenium, which is also an essential element for antioxidant enzymes like glutathione peroxidases and thioredoxin reductases that shield the body from free radical species22. Selenium nanoparticles are known to be an essential trace element for human and animal health. They are necessary for the immune system to function correctly and to prevent the spread of illness23,24. Because of their remarkable biological activity, low toxicity, and high bioavailability, selenium nanoparticles have attracted more attention in recent years for synthesis and analysis25,26.
The medicinal plants have played an essential role in the treatment of numerous human diseases through their diverse bioactive compounds, which are commonly extracted from various plant parts, including leaves, fruits, stems, and roots, and are well recognized for their wide range of pharmacological properties, such as antiparasitic, antibacterial, antioxidant, antihypertensive, insecticidal, anticancer, antiviral, antifungal, and hypoglycemic activities27. S. officinalis L., an aromatic herb of the Lamiaceae family, is considered one of the most significant medicinal plants due to its diverse pharmacological activities and serves as a flavoring and aromatic agent in culinary preparations, as well as being widely employed in cosmetics and traditional medicine28. To maximize their therapeutic efficacy and facilitate practical applications, the development of advanced formulation technologies has become increasingly important29. Among these strategies, the conjugation of plant extracts with nanoparticles has been widely investigated to improve biological stability, minimize toxicity, prolong bioactivity, and significantly strengthen their therapeutic potential27,30,31.
Biofilm-associated infections pose a significant challenge in clinical microbiology due to their elevated resistance to conventional antibiotics and the host’s immune responses. The structural complexity of biofilms, including extracellular polymeric substances, limits drug penetration and promotes chronic infections32. Recently, plant extract-nanocomposites have shown promising antibiofilm potential through multiple mechanisms, including the generation of reactive oxygen species (ROS), disruption of quorum-sensing pathways, and inhibition of extracellular polymeric substance (EPS) production33,34.
The present study aimed to evaluate the antimicrobial and antibiofilm activities of S. officinalis aqueous extract (SaO), metal nanoparticles (Fe3O4NPs, SeNPs), and their hybrid combinations against MDR Gram-positive and Gram-negative bacteria. Their effectiveness was further compared with that of conventional antibiotics to assess the potential of nanoparticle-based hybrids as sustainable and efficient alternatives for combating MDR and biofilm-associated infections.
Results
-
1.
Antibiotic sensitivity of Gram-positive bacteria.
The antibiotic susceptibility of the tested Gram-positive bacteria was determined, and the results are given in Table 1. Meropenem was the only antibiotic that inhibited the growth of all three pathogenic strains (S. pasteuri, B. cereus, and L. monocytogenes), reflecting the highest antibiotic effectiveness (AE%) of 100%. Three antibiotics (azithromycin, chloramphenicol, and doxycycline) had a narrow antibacterial spectrum, inhibiting only one bacterium, namely S. pasteuri, and recorded 33% AE. Nine antibiotics, representing 69% of the total used (gentamicin, levofloxacin, nitrofurantoin, trimethoprim, clindamycin, linezolid, oxacillin, rifampin, and vancomycin), were totally ineffective, with 0% (AE%).
Alternatively, B. cereus and L. monocytogenes registered the highest multiple antibiotic resistance (MAR) index, 0.77; they could resist ten antibiotics among the thirteen total tested. This could be considered the highest resistance. Also, (S. pasteuri) exhibited a high MAR index, reaching a value of 0.69, which indicated resistance against nine antibiotics tested out of the total.
-
2.
Antibiotic sensitivity of Gram-negative bacteria.
As given in Table 2, meropenem was the only antibiotic that demonstrated measurable efficacy against all three Gram-negative pathogenic strains, achieving an AE% of 66%. In contrast, the remaining eleven antibiotics were completely ineffective, each recording an AE% of 0%.
The MAR index revealed that E. coli and P. mirabilis exhibited the highest resistance levels among the tested Gram-negative strains, with a MAR value of 0.92, indicating resistance to eleven out of twelve antibiotics. Likewise, P. aeruginosa showed a high MAR index of 0.83, corresponding to resistance to ten antibiotics.
-
3.
Antibacterial activity of plant extract against Gram-positive and Gram-negative pathogens:
The antibacterial activity of SaO was studied, and the results are given in Table S1. At a concentration of 10,000 µg/mL, SaO extract demonstrated a broad-spectrum antimicrobial effect, with inhibition zones ranging from 10.00 ± 0.26 mm to 15.00 ± 0.17 mm against both Gram-positive and Gram-negative bacteria. The most vigorous activity was observed against S. pasteuri (15.00 ± 0.17 mm) and L. monocytogenes (14.00 ± 0.26 mm), highlighting the higher susceptibility of Gram-positive strains. In contrast, Gram-negative bacteria such as P. mirabilis, P. aeruginosa, and E. coli exhibited more limited inhibition zones (10.00–12.00 mm). ANOVA analysis confirmed significant differences among the tested organisms (P < 0.01).
-
4.
Characterization of Fe3O4NPs, SeNPs, SaO-Fe3O4NPs and SaO-SeNPs.
The Fe₃O₄NPs demonstrated particle diameters in the range of 14.5–21.1 nm (mean: 18.69 ± 5.91 nm, median: 17.93 nm), exhibiting a characteristic dark contrast in TEM images due to the high electron density of iron oxide (Fig. 1A). The Fe₃O₄NPs displayed a predominantly spherical morphology with smooth surface contours. While the SaO-Fe₃O₄NPs nanocomposites, TEM measurements revealed particle sizes spanning 8.7–25.4 nm (mean: 15.52 ± 4.36 nm, median: 15.16 nm) (Fig. 1B). For SeNPs, TEM analysis revealed individual particle diameters ranging from 14.3 to 17.1 nm (mean ± standard deviation: 15.62 ± 4.62 nm, median: 14.69 nm, n > 100 particles) (Fig. 2A). A notable increase in apparent particle size was observed in SaO-SeNPs, with measurements ranging from 17.25 to 40.70 nm (mean: 25.42 ± 7.12 nm, median: 24.65 nm) (Fig. 2B). The dynamic light scattering (DLS) analysis was performed, and with results systematically compiled in Table 3, were 74.3 ± 4.5 nm for Fe3O4NPs (Fig. 1C) and 74.3 ± 4.2 nm for the SaO-Fe3O4NPs (Fig. 1D), corresponding to 4.0-fold and 4.8-fold amplifications compared to TEM data. Likewise, DLS revealed the size of SeNPs was 69.4 ± 3.2 nm (Fig. 2C), and the size of SaO-SeNPs was 69.4 ± 3.8 nm (Fig. 2D), corresponding to 4.4-fold and 2.7-fold amplifications compared to TEM data. The SaO extract itself displayed a hydrodynamic diameter of 31.5 ± 2.1 nm. Polydispersity index (PDI) values are all below the threshold of 0.3, ranging from 0.155 to 0.238 across all nanoparticle samples. The lowest PDI value (0.155) was observed for SaO-Fe₃O₄NPs.
Characterization of magnetite nanoparticles: (A) TEM image of single Fe3O4NPs; (B) TEM image of conjugated SaO-Fe3O4NPs; (C) DLS particle size distribution of Fe3O4NPs; (D) DLS particle size distribution of SaO-Fe3O4NPs; (E) XRD of Fe3O4NPs; (F) XRD of SaO-Fe3O4NPs; (G) FTIR of Fe3O4NPs; and (H) FTIR of SaO-Fe3O4NPs.
Characterization of selenium nanoparticles: (A) TEM image of single SeNPs; (B) TEM image of conjugated SaO-SeNPs; (C) DLS particle size distribution of SeNPs; (D) DLS particle size distribution of SaO-SeNPs; (E) XRD of SeNPs; (F) XRD of SaO-SeNPs; (G) FTIR of SeNPs; and (H) FTIR of SaO-SeNPs.
Zeta potential (ζ-potential) measurements were shown in (Figs. 1E and F and 2E and F, and Table 4). All synthesized nanomaterials exhibited negative surface charges, with ζ-potential values ranging from − 18.7 to − 35.2 mV. Bare nanoparticles (Fe₃O₄NPs and SeNPs) exhibited moderate negative charges of − 21.3 ± 1.8 mV and − 28.5 ± 2.1 mV, respectively. A marked increase in surface negativity was observed in SaO-Fe₃O₄ NPs and SaO-SeNPs exhibiting ζ-potentials of − 32.8 ± 2.6 mV and − 35.2 ± 2.4 mV, respectively. Conductivity measurements ranged from 0.096 to 0.134 mS/cm, with pH values maintained in the near-neutral range (6.8–7.1).
The X-ray diffraction (XRD) pattern of Fe3O4NPs resulted in intense diffraction peaks at 2θ = 30.1°, 35.5°, 43.1°, 53.5°, 57.0°, and 62.7° (Fig. 1G), indexed to the (220), (311), (400), (422), (511), and (440) crystallographic planes, respectively, of the cubic spinel structure characteristic of magnetite (JCPDS 19–0629). The SaO-Fe₃O₄NPs nanocomposite maintained the characteristic cubic spinel diffraction pattern with peaks at identical 2θ positions (Fig. 1H). Likewise, the XRD pattern of SeNPs with distinct diffraction peaks at 2θ values of 23.5°, 29.7°, 41.3°, 43.7°, 45.4°, 51.8°, 56.2°, and 61.7° (Fig. 2G), corresponding to the (100), (101), (110), (102), (111), (201), (112), and (202) crystallographic planes, respectively. Following the SaO-SeNPs nanocomposites, the XRD pattern retained the characteristic hexagonal selenium reflections at 2θ = 23.6°, 29.8°, 41.4°, 43.8°, 45.5°, 51.9°, 56.3°, and 61.8° (Fig. 2H).
Fourier transform infrared spectroscopy (FT-IR) was acquired in the wavenumber range of 4000–400 cm⁻¹ with 4 cm⁻¹ resolution, and the results are compiled in (Fig. 1I and J, and Fig. 2I and J).
The Fe₃O₄NPs exhibited the O–H stretching band at 3435 cm⁻¹ and H–O–H bending at 1630 cm⁻¹. The diagnostic Fe–O vibrational modes of the spinel structure appeared as prominent absorption bands at 585 and 470 cm⁻¹. Similarly, SeNPs displayed a broad absorption band centered at approximately 3420 cm⁻¹. A distinct peak at 1635 cm⁻¹ was observed, while the absorption at 1080 cm⁻¹ was detected. An additional weak band at 680 cm⁻¹ was also observed. The FT-IR spectra of SaO-Fe₃O₄NPs and SaO-SeNPs revealed significantly enriched spectral profiles with additional absorption bands. Both conjugated systems exhibited a prominent absorption at 3410–3400 cm⁻¹, respectively. Distinct C–H stretching vibrations from aliphatic chains appeared at 2930–2925 cm⁻¹, respectively. A strong absorption band at 1705–1700 cm⁻¹, respectively, was observed. The appearance of aromatic C = C ring vibrations at 1615–1610 cm⁻¹, C–H bending modes at 1385–1380 cm⁻¹, and C–O stretching vibrations at 1240–1235 cm⁻¹ was also recorded. Aromatic C–H out-of-plane bending vibrations manifested as absorption bands at 815–810 cm⁻¹. Importantly, in SaO-Fe₃O₄NPs, the characteristic Fe–O vibrations remained evident (590 and 475 cm⁻¹).
-
5.
Retention profile of phenolic and flavonoid compounds in nanocomposite substances.
For phenolics, all six compounds initially present in the SaO extract were detected in the SaO-Fe3O4NPs with slight concentration variations. In contrast, SaO-SeNPs preserved only four phenolic compounds at lower concentrations than both the SaO extract and SaO-Fe3O4NPs, except ferulic acid, which registered higher values than both. Regarding flavonoids, the SaO-FeNPs retained only five components out of seven, with minor differences compared with the crude extract. In contrast, SaO-SeNPs exhibited complete retention of all seven flavonoids, but in lower levels compared with SaO extract and SaO-FeNPs, as shown in Table 5.
-
6.
Antibacterial activity of Fe3O4NPs and SeNPs.
The antibacterial efficacy of both MNPs was studied. Results are given in Table 6.
At concentrations ranging from 5 to 250 µg/mL, Fe₃O₄NPs exhibited antibacterial activity that varied among the tested bacterial strains. Among Gram-positive bacteria, L. monocytogenes showed the highest overall susceptibility, with the largest mean inhibition zone (9.33 ± 3.19 mm), followed by B. cereus (7.00 ± 3.40 mm). The maximum inhibition zone against L. monocytogenes reached 16.00 ± 0.06 mm at 250 µg/mL. In contrast, Gram-negative bacteria demonstrated comparatively lower sensitivity to Fe₃O₄NPs, as reflected by smaller mean inhibition zones.
SeNPs also exhibit significant antibacterial activity. L. monocytogenes displayed the highest susceptibility, with an inhibition zone of 18.0 ± 0.06 mm at 250 µg/mL and a relatively high mean value of 7.67 ± 3.85 mm. Moderate sensitivity was observed for P. mirabilis and P. aeruginosa (14.00 ± 0.06 mm at 250 µg/mL), whereas E. coli exhibited the weakest response, with a maximum inhibition zone of 8.00 ± 0.12 mm and a mean of 3.33 ± 1.77 mm. S. pasteuri exhibited the most significant susceptibility to both MNPs in Table 7. At lower concentrations (0.25–25 µg/mL), Fe3O4NPs showed non-significantly higher activity, reaching an inhibition zone of 25.0 ± 0.06 mm at 25 µg/mL, compared to 16.0 ± 0.06 mm recorded for SeNPs.
-
7.
Antibacterial activity of SaO-Fe3O4NPs and SaO-SeNPs.
The antibacterial efficacy of SaO-Fe3O4NPs and SaO-SeNPs against selected pathogenic Gram-positive and Gram-negative bacterial strains is shown in Table 8. At concentrations of 0.25–50 µg/mL, the highest antimicrobial effect was observed for both against L. monocytogenes (Gram-positive), with an inhibition zone of 20.0 ± 0.06 mm at 50 µg/mL. SaO-SeNPs demonstrated higher antibacterial activity against B. cereus (Gram-positive) and P. mirabilis (Gram-negative) than SaO-Fe3O4NPs. P. aeruginosa recorded slightly but significantly higher inhibition with SaO-Fe3O4NPs (mean: 6.57 ± 4.31 mm) than SaO-SeNPs (6.14 ± 3.48). Alternatively, E. coli remained the least affected by either treatment, showing limited zones of inhibition. SaO-Fe3O4NPs and SaO-SeNPs at very low concentrations (0.015–0.5 µg/mL) demonstrated the most potent antimicrobial effect against S. pasteuri (Table 9), which showed the highest susceptibility.
SaO-SeNPs demonstrated a greater non-significant inhibition zone (15.0 ± 0.06 mm) at a concentration of 0.5 mg/mL than SaO-FeNPs (8.00 ± 0.058 mm).
-
8.
Comparative analysis of the prepared bioactive substances.
As given in Table 10, the SaO extract displayed limited antimicrobial activity, with the lowest MIC (125 µg/mL) recorded against S. pasteuri. In comparison, P. mirabilis and E. coli showed high MIC values (500 µg/mL), while L. monocytogenes, B. cereus, and P. aeruginosa exhibited intermediate MIC values (250 µg/mL).
Fe3O4NPs and SeNPs exhibited markedly higher antimicrobial activity than the SaO extract. S. pasteuri was the most susceptible (MIC 0.5 µg/mL), whereas B. cereus, P. aeruginosa, and E. coli exhibited less susceptibility with high MIC values towards both MNPs (25 µg/mL). L. monocytogenes showed different susceptibility, being more susceptible to Fe3O4NPs (MIC 10 µg/mL) than SeNPs (MIC 25 µg/mL). P. mirabilis was the most susceptible to single MNPs (MIC 10 µg/mL) among Gram-negative bacteria.
SaO-Fe3O4NPs and SaO-SeNPs yielded the lowest MIC (0.03 µg/mL) against S. pasteuri, representing an approximately 17-fold reduction compared with single MNPs. Moreover, MICs for L. monocytogenes, B. cereus, and P. mirabilis decreased by 10–50 fold by the combination, against 5–50-fold reductions in the case of P. aeruginosa and E. coli. Overall, the SaO-SeNPs consistently and significantly outperformed the SaO-Fe3O4NP against both Gram-positive and Gram-negative bacteria.
The SaO-SeNPs showed MIC values comparable to those of the reference antibiotic (meropenem) against Gram-positive bacteria but lower MICs against Gram-negative strains, indicating greater efficacy against the latter. Conversely, the SaO-Fe3O4NPs exhibited relatively higher MIC values than meropenem in most strains, suggesting reduced potency against these strains, except for P. mirabilis, where both displayed equal MIC values. Interestingly, in the case of S. pasteuri, both SaO-Fe3O4NPs and SaO-SeNPs demonstrated markedly lower MIC values than meropenem.
-
9.
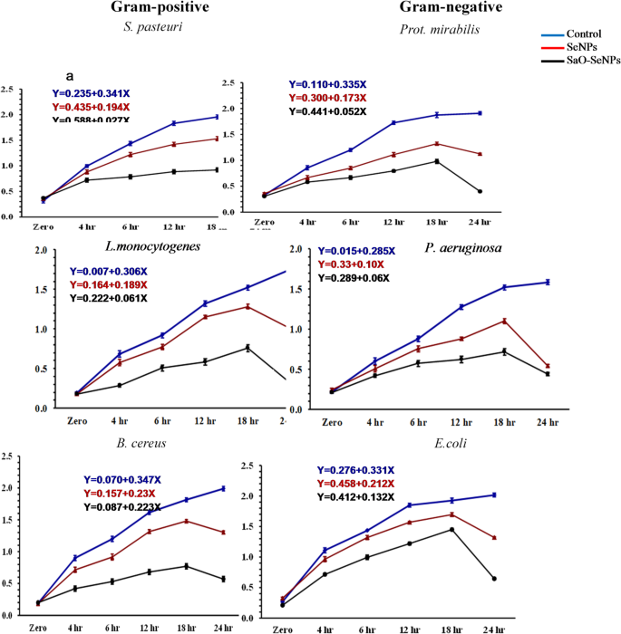
Quantitative evaluation of growth inhibition of pathogenic bacteria by Fe3O4NPs, SeNPs, SaO-Fe3O4NPs, and SaO-SeNPs.
Figures 3 and 4 illustrate the 24 h growth profiles of Gram-positive and Gram-negative bacteria at 2x MICs. Overall, bacterial growth decreased markedly compared to the control, with the SaO-nanocomposites exhibiting the most potent inhibitory effects.
Quantitative inhibition profile of pathogenic bacteria exposed to magnetite nanoparticles (Fe3O4NPs) and their conjugated form (SaO-Fe3O4NPs).
Quantitative inhibition profile of pathogenic bacteria exposed to selenium nanoparticles (SeNPs) and their conjugated form (SaO-SeNPs).
The control culture typically reached maximum OD values (1.75–2.1) within 12–24 h. Among Gram-positive bacteria, S. pasteuri exhibited the highest sensitivity: Fe3O4NPs and SeNPs inhibited growth by 45% and 43%, respectively, while SaO-Fe3O4NPs and SaO-SeNPs further enhanced inhibition to 84% and 82%, respectively. Similar growth inhibition was observed in L. monocytogenes, with Fe3O4NPs and SeNPs suppressing growth by 43% and 42%, respectively, compared to 79% and 82% for their nanocomposites. For B. cereus, inhibition increased from 40% to 35% by Fe₃O₄NPs and SeNPs to 70% and 71% by SaO-Fe₃O₄NPs and SaO-SeNPs, respectively.
Regarding Gram-negative bacteria, Fe3O4NPs and SeNPs reduced the growth of P. mirabilis by 39% and 41%, while SaO-Fe3O4NPs and SaO-SeNPs recorded bigger growth reduction of 74% and 79%, respectively. For P. aeruginosa, Fe3O4NPs and SeNPs exhibited comparable inhibition, while the nanocomposites achieved 73% and 72% growth reductions, respectively. Fe3O4NPs and SeNPs induced 37% and 34% inhibition in the growth of E. coli, versus 69% and 68% in response to the SaO-Fe3O4NPs and SaO-SeNPs, respectively.
-
10.
TEM images analysis of the sensitive bacterial cells.
As shown in Fig. 5, TEM images revealed ultrastructural alterations in S. pasteuri (Gram-positive) and P. mirabilis (Gram-negative) treated with 2× MICs of the tested materials compared to the control. In the control, S. pasteuri appeared as intact cocci with dense, homogeneous cytoplasm and a clearly defined thick peptidoglycan layer. Likewise, P. mirabilis retained its typical rod-shaped morphology with well-preserved membranes. Cells of S. pasteuri and P. mirabilis exhibited clumped content (yellow arrows) and a non-homogeneous cell wall, indicating membrane disruption and cytoplasmic shrinkage (red arrows) induced by meropenem. In contrast, S. pasteuri cells treated with nanocomposites showed either severe shrinkage (red arrows) and rupture of the peptidoglycan layer (red arrows) with small cytoplasmic vacuolization (yellow arrows) in the case of SaO-Fe3O4, or extensive ultrastructure damage in the case of SaO-SeNPs.
Transmission electron microscopic (TEM) (11,000X) images of Staphylococcus pasteuri (Gram-positive) and Proteus mirabilis (Gram-negative) as treated with 2xMICs of meropenem, SaO-Fe3O4NPs, and SaO-SeNPs compared to untreated control. Red arrows indicate extracellular deformation, while yellow arrows highlight intracellular alterations.
P. mirabilis cells exhibited structural collapse, including outer membrane perforations and cytoplasmic disorganization in the case of SaO-Fe3O4. SaO-SeNPs treatment also caused pronounced deformation, including rupture of the outer membrane, severe cytoplasmic disorganization, and vacuole-like empty spaces. The presence of black spots on or within the bacterial cells most likely corresponds to nanocomposite aggregates.
-
1.
11.Quantitative antibiofilm activity of SaO, MNPs, and their nanocomposites compared with meropenem against the tested pathogenic bacteria.
The anti-biofilm activities of SaO extract, Fe3O4NPs, SeNPs, SaO-Fe3O4NPs, and SaO-SeNPs against pathogenic strains were compared with a reference antibiotic (meropenem).
As illustrated in Fig. 6, among all the tested strains, S. pasteuri showed the highest susceptibility to SaO-Fe3O4NPs and SaO-SeNPs; they achieved the highest inhibition extents (59.52 and 56.67%), respectively, surpassing their single MNPs (42.38 and 40.95%), the SaO extract (18.1%), and even the antibiotic meropenem (47.62%). Similarly, L. monocytogenes exhibited strong antibiofilm response to SaO-Fe3O4NPs and SaO-SeNPs, achieving biofilm reduction of 53.14% and 54.28%, respectively. Exceeding those recorded for their individual MNPs (41.71 and 40.57%), the SaO extract (16.57%), and meropenem (42.86%). B. cereus showed the least antibiofilm response within the Gram–positive bacteria group, while meropenem and the SaO extract demonstrated their usual inhibition extent, 42.21% and 15.58%, respectively. However, the nanocomposites consistently achieved the highest inhibition of bacterial biofilm formation.
Showing comparative antibiofilm activity of Salvia officinalis L. extract (SaO), MNPs (Fe3O4NPs and SeNPs), and their composites (SaO-Fe3O4NPs, SaO-SeNPs) against three Gram-positive bacteria relative to meropenem.
Generally, the Gram-negative bacteria exhibited lower biofilm inhibition than the Gram-positive strains. Among the tested Gram-negative bacteria, as shown in Fig. 7, P. mirabilis was the most responsive to the antibiofilm treatments, amounting to 52.36% and 54.45% with SaO-Fe3O4NPs and SaO-SeNPs, respectively, compared to 38.2% and 41.36% in the case of single MNPs, respectively. Meropenem displayed a moderate inhibition level of 41.36%.
Similarly, P. aeruginosa showed comparable sensitivity levels to the treatments. Both SaO-nanocomposites inhibited biofilm formation by approximately 51%, surpassing 12.1% for the SaO extract and about 35% for the meropenem. E. coli showed greater resistance, achieving the least inhibition in biofilm formation by the studied substances.
Showing comparative antibiofilm activity of Salvia officinalis L. extract (SaO), MNPs (Fe3O4NPs and SeNPs), and their composites (SaO-Fe3O4NPs, SaO-SeNPs) against Gram-negative bacteria (A) P. mirabilis, (B) P. aeruginosa, and (C) E. coli relative to meropenem, as determined by the crystal violet staining assay. Data are presented as mean ± SE of three independent biological replicates (n = 3).
Discussion
In the present study, Gram-positive bacteria demonstrated higher sensitivity to the tested antibiotics than Gram-negative bacteria. This aligns with their structural composition, as Gram-positive bacteria possess a thick peptidoglycan layer but lack an outer membrane, facilitating the penetration and action of many antimicrobials35. In contrast, the outer membrane of Gram-negative bacteria, enriched with lipopolysaccharides, acts as a selective barrier, limiting the uptake of several antibiotics36,37, including β-lactams, fluoroquinolones, glycopeptides, and even last-resort agents such as colistin38. This intrinsic structural defense, combined with additional resistance mechanisms such as efflux pumps and enzymatic inactivation, renders Gram-negative pathogens inherently more resistant than their Gram-positive counterparts10, which explains the notably high resistance rates observed in this study and reflects their MDR nature. Such widespread resistance is strongly linked to the excessive and inappropriate use of antibiotics in both human and veterinary medicine9. Meropenem, a carbapenem antibiotic, was the only agent that demonstrated broad-spectrum efficacy against both Gram-positive and Gram-negative bacteria. Carbapenems are unique among the currently available β-lactams due to their high stability against hydrolysis by most β-lactamases and their ability to act as slow substrates or inhibitors of these enzymes39. This property supports the present findings and suggests that the tested bacterial strains lacked efficient β-lactamase systems capable of inactivating meropenem. This activity is consistent with the well-established mode of action of meropenem40.
The enhanced biological activity of the SaO decoction extract may result from partial thermal hydrolysis of complex phytoconstituents into smaller derivatives, improving their permeability and bioavailability, consistent with previous reports41. At 10,000 µg/mL, the SaO extract exhibited moderate antibacterial activity, producing inhibition zones of 10–15 mm and showing greater efficacy against Gram-positive than Gram-negative bacteria. Similar findings have been reported for SaO extracts and their essential oils42,43. The smaller inhibition zones compared with those of essential oils (≈ 20–23 mm, 44) likely reflect differences in the chemical composition and concentrations of bioactive constituents. Overall, these findings highlight the selective antibacterial potential of SaO extract against Gram-positive pathogens and indicate that synergistic formulations may be required to improve efficacy against Gram-negative bacteria.
The slightly reduced mean size in the conjugated SaO-Fe3O4NPs, coupled with the presence of smaller nanoparticles (minimum 8.7 nm), suggests enhanced particle individualization and prevention of aggregation mediated by the organic stabilizing agents present in the SaO extract18. The size augmentation observed in SaO-SeNPs is particularly evident in certain particles approaching 40 nm, which is attributable to the organic coating layer derived from phytochemical constituents of the SaO extract, which forms a stabilizing shell around the SeNPs core. Moreover, the broader size distribution observed in SaO-SeNPs compared to bare SeNPs reflects the variable thickness of the organic capping layer, which depends on the differential adsorption kinetics of diverse phytochemical compounds present in the plant extract23. The hydrodynamic diameters measured by DLS were consistently larger than the corresponding TEM core sizes, a phenomenon attributed to the presence of hydration layers, surface-adsorbed biomolecules, and electrical double layers surrounding the nanoparticles in aqueous media and confirmed18. The DLS of the SaO extract confirms the colloidal nature of phytochemical aggregates present in the aqueous extract29,34. The low Polydispersity index (PDI) values across all nanoparticles demonstrate relatively monodisperse colloidal systems, typically considered acceptable for pharmaceutical applications, and validate the efficacy of the green synthesis approach in generating size-controlled nanomaterials with narrow distributions suitable for biomedical applications. The lowest PDI value (0.155) was observed for SaO-Fe₃O₄NPs, suggesting exceptional uniformity in the conjugated magnetite nanocomposite dispersion45. The negative ζ-potential values observed for all nanoparticle systems indicate the presence of surface-associated ionizable groups and suggest favorable dispersion behavior in aqueous media5. The Fe₃O₄NPs and SeNPs exhibited moderate surface charges (|ζ| > 20 mV), indicating satisfactory colloidal stability33. Notably, conjugation with SaO extract significantly enhanced surface electronegativity, with ζ-potential values exceeding − 30 mV. These elevated negative charges are indicative of excellent electrostatic stabilization and can be attributed to ionizable functional groups present in phytochemical constituents, particularly carboxylic acid moieties (–COO⁻) and phenolate groups (–O⁻) derived from polyphenolic compounds33,34. Enhanced electronegativity not only promotes colloidal stability through intensified electrostatic repulsion but also modulates nanoparticle-biological interactions, potentially influencing cellular uptake mechanisms and biocompatibility profiles34. Furthermore, the low conductivity measurements confirm physiologically compatible suspension conditions suitable for biological applications. The XRD patterns, showing intense diffraction peaks, further verified the crystalline nature of both Fe₃O₄NPs and SeNPs, consistent with previous reports on green-synthesized MNPs12,17. The appearance of these reflections, particularly the strong (311) peak at 35.5°, serves as a diagnostic fingerprint for the inverse spinel structure (space group Fd3̅m) of Fe₃O416, 18). The SaO-Fe₃O₄NPs nanocomposite maintained the characteristic cubic spinel diffraction pattern with peaks at identical 2θ positions, verifying the structural integrity of the magnetite core following SaO extract conjugation.16,19). The diffraction peaks of SeNPs are in excellent agreement with the hexagonal selenium phase, confirming the formation of crystalline Se⁰ during the green reduction process. The sharp, well-defined diffraction peaks indicate high crystallinity and minimal structural defects21. Notably, a slight broadening of diffraction peaks was observed in the conjugated system, attributable to the organic coating layer, which reduces the effective crystalline domain size detected by X-ray diffraction. This peak broadening phenomenon is consistent with the Scherrer equation relationship between crystallite size and diffraction peak width, and confirms the successful surface modification by organic phytochemicals without disrupting the underlying crystalline structure15,26.
The FT-IR spectra of MNPs (Fe3O4NPs and SeNPs) exhibited major peaks corresponding to the stretching vibrations of hydroxyl groups (O-H), originating from ascorbic acid used in their synthesis. This result confirmed the successful reduction of the metal precursors46. The diagnostic Fe–O vibrational modes of the spinel structure confirm the magnetite phase and corroborate XRD findings. The higher-frequency Fe–O band (585 cm⁻¹) originates from Fe–O stretching in tetrahedral sites, while the lower-frequency band (470 cm⁻¹) corresponds to octahedral Fe–O vibrations, both characteristic of the inverse spinel crystal structure47. While the absorption at 1080 cm⁻¹ indicated Se–O bonding, suggesting partial surface oxidation. An additional weak band at 680 cm⁻¹ was assigned to Se–Se stretching vibrations characteristic of elemental selenium48. The FT-IR spectra of SaO-Fe3O4NPs and SaO-SeNPs showed additional absorption bands that were absent in the single MNPs; these new bands correspond to hydroxyl groups abundant in polyphenolic compounds present in SaO extract (e.g., caffeic acid, chlorogenic acid)19,28,48. The C–H stretching vibrations in both nanocomposites resulted from aliphatic chains. The C = O stretching of carboxylic acid functional groups (–COOH) is consistent with the presence of organic acids in the plant extract28. The appearance of aromatic C = C ring vibrations confirmed the presence of aromatic compounds, while C–H and C-O stretching further validated the organic coating30. In SaO-Fe₃O₄NPs, the characteristic Fe–O vibrations remained evident, demonstrating retention of the magnetite core structure beneath the organic shell. This comprehensive FT-IR analysis provides unequivocal molecular-level evidence that SaO phytochemicals, particularly polyphenolic compounds and carboxylic acids, have been successfully adsorbed onto nanoparticle surfaces through coordinate bonding and electrostatic interactions, forming stable bio-conjugated nanocomposites with preserved inorganic cores and organic shells49.
Comparative phytochemical profiling revealed apparent differences between the SaO-Fe3O4NPs and SaO-SeNPs in terms of phenolic and flavonoid compounds retention. Interestingly, ferulic acid exhibited a higher concentration in SaO-SeNPs, suggesting a possible selective interaction with SeNPs that may stabilize or enhance its incorporation50. Such differential retention patterns may influence the overall bioactivity, as ferulic acid is well known for its antioxidant and antimicrobial roles51.
SaO-Fe3O4NPs maintained five of the seven compounds. Conversely, SaO-SeNPs exhibited complete retention of all seven flavonoids. This observation indicates that SeNPs may facilitate broad but less efficient entrapment of flavonoid compounds, while Fe3O4NPs provide more selective stabilization. Similar findings have been reported in other plant nanoparticle systems, where the type of metal precursor influenced the qualitative and quantitative retention of polyphenols52. These differences could partially explain the variations in antimicrobial and antibiofilm performance observed between SaO-Fe3O4NPs and SaO-SeNPs.
The antibacterial action of MNPs is evident due to their nanoscale size, as smaller particles increase the surface area-to-volume ratio and enhance interactions with microbial cell membranes53. However, their efficacy is moderated or limited at lower concentrations, particularly against Gram-negative bacteria, highlighting the need to combine or conjugate MNPs with bioactive compounds or natural extracts to improve their antimicrobial performance. In this study, Fe3O4NPs and SeNPs exhibited distinct antibacterial activity against S. pasteuri (Gram-positive) at low concentrations (0.25–25 µg/mL), with no statistically significant difference between them. This similarity can be attributed to their overlapping particle size distributions, which likely minimized size-dependent effects. Moreover, nanoparticle size is not the sole determinant of antibacterial efficacy; other physicochemical factors, such as ion release, surface chemistry, and the ability to induce oxidative stress, play equally crucial roles54. The antibacterial activity of Fe3O4NPs observed in this study is consistent with previous reports demonstrating that iron oxide nanoparticles can generate ROS, which substantially contribute to their antibacterial activity55. The use of iron oxide nanoparticles is a promising way to overcome antimicrobial resistance because of their ability to interact with several biological molecules and to inhibit microbial growth. Iron oxide nanoparticles are defined as “nanozymes” due to their inherent enzyme-like activities and catalytic properties that are comparable to those of different oxidant systems, such as peroxidase and superoxide dismutase. Another feature of these NPs is their strong capacity to bind biological macromolecules, reflecting their function56.
The SaO extract in combination with MNPs could act synergistically, as the biological activity of the resulting SaO-nanocomposites was increased; this might be due to the presence of bioactive phenolic and flavonoid compounds (e.g., caffeic acid, luteolin, apigenin, and quercetin derivatives), which possess numerous polar functional groups in combination with non-polar residues. Such residues, which could conjugate to MNPs with high electron density, might have greater capacity to disrupt bacterial cell membranes, thereby conferring greater antimicrobial and antibiofilm activity57. Recent studies have shown that iron-based nanocomposites combined with antibiotics exhibit enhanced antimicrobial activity by exploiting multiple mechanisms, including ROS generation, membrane damage, and ion release, thereby overcoming bacterial resistance and synergistically improving antibiotic efficacy against MDR pathogens58,59. In contrast to surface-driven Fe-based antibacterial materials, the Fe₃O₄ and Se-based nanocomposites herein act at the nanoscale, exhibiting broader antimicrobial efficacy through the synergistic mechanisms discussed above60.
The 24 h growth curves of six pathogenic bacteria exposed to 2x MICs of SaO-nanocomposites generally indicated more significant growth inhibition than MNPs, amounting to approximately 30–40% increases across all tested bacteria. In Gram-positive strains, this enhancement was particularly evident, which can be explained by their cell wall architecture35, which allows nanoparticles and phytochemicals to penetrate the thick peptidoglycan layer and directly reach intracellular targets.
Although Gram-negative bacteria possess intrinsic resistance mechanisms38, the SaO-nanocomposites still achieved significantly higher inhibition than MNPs, which could be explained by the synergistic role of the SaO extract61.
TEM image of the S. pasteuri and P. mirabilis revealed shrinkage and instability of the bacterial cell wall by meropenem, which prominently targeted the cell wall in agreement with previous reports in this respect40.
In contrast, exposure of bacterial cells to SaO-Fe3O4NPs and SaO-SeNPs resulted in extensive cellular disruption, far exceeding that observed with meropenem. These findings agree with reports that magnetite and selenium nanoparticles generate ROS and disrupt thiol-rich proteins, thereby compromising membrane integrity and intracellular stability18,22,62. Among the tested nanocomposites, SaO-SeNPs had more impact on bacterial cells than SaO-Fe3O4NPs, which might be due to selenium’s high reactivity toward thiol-containing proteins, leading to oxidative stress and enzyme inhibition22,63.
Further work will be necessary to study synergism between MNPs and SaO extract and their applications in vitro and in vivo; the work in this respect is still under investigation.
Conclusion
This study demonstrates that conjugating the SaO extract with Fe3O4NPs and SeNPs yields SaO-nanocomposites with remarkable antibacterial and anti-biofilm efficacies, effectively addressing the urgent challenge of multidrug resistance. The composites exhibited MIC values significantly lower than those of the SaO extract and individual MNPs, and, in several cases, superior to those of the reference antibiotic meropenem. Their antibiofilm inhibition also exceeded that of meropenem, underscoring their potential as next-generation antimicrobial agents. Comprehensive physicochemical characterization confirmed successful synthesis and retention of bioactive phytochemicals within the nanocomposites, while TEM analysis validated profound structural damage in bacterial cells. Collectively, these findings highlight the synergistic interplay between phytochemicals and nanoparticles, offering a promising strategy to combat MDR pathogens and biofilm-associated infections. Future investigations should extend to in vivo assessments and mechanistic studies to advance their translation into clinical applications.
Materials and methods
-
1.
Bacterial strains and media.
The bacterial pathogens used in this study were preserved as frozen stocks at -20 °C in glass beads. Before examination, they were revived and cultured in Brain Heart Infusion broth (BHI) (Oxoid, UK). The test panel included three Gram-positive bacteria, viz. L. monocytogenes LMG10470, B. cereus ATCC14579, and S. pasteuri64, along with three Gram-negative bacteria, viz. P. mirabilis DSM4479, E. coli LMG8223, and P. aeruginosa LMG8029. All bacterial strains were obtained from the Culture Collection of the Botany and Microbiology Department, Faculty of Science, Zagazig University, Egypt. After propagation in BHI broth, the strains were maintained on BHI agar slants at 4 °C and sub-cultured monthly onto fresh BHI agar (Oxoid, UK).
-
2.
Antibiotic susceptibility test (AST).
Antibiotic susceptibility testing for experimental strains was performed as described previously65. Bacterial inoculum was adjusted to match the turbidity of a 0.5 McFarland standard, corresponding to approximately 1.5 × 10⁸ CFU/mL. The standardized suspensions were applied onto Mueller-Hinton agar plates (Oxoid, UK) using a sterile automatic pipette (Promega, USA) and evenly spread with sterile cotton swabs. For Gram-negative bacteria, twelve antibiotics were tested, while thirteen antibiotics were applied for Gram-positive bacteria, as presented in Tables 1 and 2. Antibiotic disks were placed on the agar medium surface using sterile forceps, ensuring adequate spacing between disks to prevent overlapping of inhibition zones. The plates were incubated at 35 °C for 24–48 h. After incubation, inhibition zone diameters were measured using a millimeter ruler. The results were interpreted according to the guidelines of the Clinical and Laboratory Standards Institute (CLSI, 2024)66, and bacterial sensitivity or resistance was classified following67.
-
3.
Plant Material.
Dried SaO leaves were purchased from a local market in Zagazig, Sharkia, Egypt. The plant leaves were identified by Dr. Samir Salem, from the Botany and Microbiology Department, Faculty of Science, Zagazig University, Egypt.
Preparation of SaO extract (decoction method)
The aqueous extract of SaO was prepared by decoction as described previously68with minor modifications. Briefly, 10 g of dried SaO leaves were ground into a fine powder using a laboratory blender and boiled in 100 mL of distilled water for 20 min. The mixture was then cooled to room temperature and filtered through Whatman No. 1 filter paper. The resulting filtrate was collected and stored at 4 °C until used.
-
4.
Green synthesis of MNPs using L-ascorbic acid.
The synthesis of Fe₃O₄NPs and SeNPs was carried out via chemical reduction using L-ascorbic acid as both a reducing and capping agent69. Aqueous solutions of 1.34 g FeCl₂0.4 H₂O and 3.40 g FeCl₃0.6 H₂O for Fe₃O₄NPs, and 50 mM sodium selenite (Na2SeO₃) for SeNPs, were each dissolved separately in 60 mL of deionized water. The mixture was heated to 80 °C for magnetite and 65 °C for selenium under vigorous magnetic stirring until the solution became homogeneous and no visible solid residues were observed. Then, an aqueous solution of L-ascorbic acid (50 mM) was added dropwise to each precursor solution. The reaction mixtures were then adjusted to an alkaline pH10by the dropwise addition of 5 mL of 1% NaOH. The resulting mixtures were further stirred for 1 h, during which a gradual color change to dark brown for Fe3O4NPs and reddish orange for SeNPs occurred. Finally, the deionized water was added to the reaction mixtures to reach a final concentration of 1000 µg/mL. After overnight incubation at room temperature, the mixtures were subjected to ultrasonic treatment (sonication) for 30 min at a temperature of 35 °C to enhance nanoparticle dispersion and prevent agglomeration. The resulting SeNPs and Fe3O4NPs were collected by centrifugation, washed repeatedly with distilled water, and stored at 4 °C until used.
-
5.
Preparation of SaO-Fe3O4NPs and SaO-SeNPs.
The SaO-nanocomposites were prepared by combining green-synthesized magnetite and selenium nanoparticles with SaO aqueous extract at a 1:1 (w/w) ratio, following a modified method70. After MNPs preparation, 0.1 g of dried SaO extract was dissolved in 100 mL of distilled water to obtain a 1000 µg/mL stock solution. Subsequently, 50 mL of the extract solution was added to 50 mL of each MNPs suspension under continuous stirring. Upon mixing, the SaO-Fe3O4NPs developed a dark brown color approaching black, while the SaO-SeNPs exhibited a deep orange to reddish hue, confirming a successful complex formation. The resulting mixtures were then sonicated at 35 °C for 30 min to enhance homogeneity and stabilize the interaction between the MNPs and SaO extract. The final suspensions were cooled to room temperature and stored in dark containers at 4 °C for further characterization. The nanocomposite concentration was adjusted to 1000 µg/mL.
Characterization of Fe3O4NPs, SeNPs, SaO-Fe3O4NPs and SaO-SeNPs
Transmission electron microscope (TEM)
The morphology and size of the Fe3O4NPs, SeNPs, SaO-Fe3O4NPs, and SaO-SeNPs were characterized by TEM operated at 100 kV connected with a CCD camera, Japan71,72.
Dynamic light scattering (DLS) and zeta potential
The DLS was employed to determine the hydrodynamic diameter, size distribution profile, and surface charge and stability of MNPs and SaO-nanocomposites suspended in solution73. Zeta potential was conducted to assess nanoparticle surface charge and predict colloidal stability in aqueous suspension. The measurements were performed using the Malvern Zetasizer system (Malvern Instruments, UK) at the Regional Center for Food and Feed, Agricultural Research Center (ARC), Giza, Egypt.
X-ray diffraction (XRD)
X-ray diffraction analysis was carried out using a Bruker D8 Discover diffractometer (Billerica, MA, USA) to investigate the crystalline structure, confirm the successful formation, and assess the homogeneity and purity of MNPs and SaO-nanocomposites74, carried out at the Agricultural Research Center (ARC), Giza, Egypt.
Fourier transform infrared spectroscopy (FT-IR)
The characterization of the functional groups on the surfaces of the synthesized MNPs and SaO-nanocomposites was analyzed by FT-IR (Thermo Nicolet model 6700 spectrometer, Micro-Analytical Center, Cairo University, Giza, Egypt). The measurements were carried out using the KBr pellet method, and spectra were recorded in the range of 400–4000 cm⁻¹ with a resolution of 4 cm⁻¹75.
-
6.
High-performance liquid chromatography (HPLC) for MNPs and SaO-nanocomposites.
Analysis of phenolic and flavonoid compounds was performed using an HPLC system (Agilent Series 1100, Agilent, USA), equipped with an auto-sampling injector, solvent degasser, two LC pumps (Series 1100), UV/V detector, and ChemStation software. Detection was carried out at 250 nm for phenolic acids and 360 nm for flavonoids using a C18 column (125 mm × 4.6 mm, 5 μm particle size). Phenolic acids were separated using a gradient mobile phase consisting of solvent A (methanol) and solvent B (acetic acid in water, 1:25 v/v). The gradient program started with 100% (B) for 3 min, followed by 50% (A) for 5 min. The concentration of A was then increased to 80% for 2 min before returning to 50% (A) for an additional 5 min. Flavonoids were separated using an isocratic elution with acetonitrile (A) and 0.2% (v/v) aqueous formic acid (B) at a 70:30 (A: B) ratio. The solvent flow rate was 1 mL/min, the column temperature was maintained at 25 °C, and the injection volume was 25 µL for both analyses76,77.
-
7.
Screening for the antibacterial activity of the SaO extract, MNPs, and their nanocomposites against tested bacteria using agar well diffusion assay:
The antibacterial activity of SaO, Fe3O4NPs, SeNPs, SaO-Fe3O4NPs, and SaO-SeNPs was studied against indicator bacteria: Gram-positive S. pasteuri, B. cereus, and L. monocytogenes, as well as Gram-negative P. mirabilis, P. aeruginosa, and E. coli through the agar well diffusion assay, as reported by Balouiri67. The Mueller-Hinton agar plate surface was inoculated with overnight bacterial suspensions 1.5 × 10⁸ CFU/mL (0.5 McFarland standard). Wells of 7 mm diameter were then aseptically punched using a sterile micropipette tip at suitable spaces from each other, and 50 µL of each antimicrobial sample at graded concentrations was carefully loaded into the wells. The plates were incubated at 35 °C for 24 h, and the inhibition zone diameters (mm) were measured with a millimeter ruler.
-
7.1.
Determination of minimum inhibitory concentrations (MICs) of the SaO, MNPs, and their nanocomposites against tested bacteria by microdilution assay:
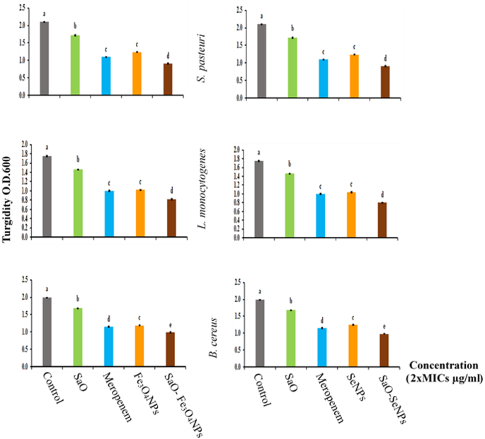
The MIC values of SaO, MNPs, and their nanocomposites were determined using the broth microdilution method in sterile 96-well microplates, with the lowest concentration that completely inhibited visible bacterial growth after overnight incubation78. Approximately 1 × 106 CFU/mL of each bacterial inoculum was added to BHI broth containing serial two-fold dilutions of the SaO (125–500 µg/mL) or MNPs (0.25–250 µg/mL) or their nanocomposites (0.015–50 µg/mL), mixed in equal volumes (1:1v/v).
After incubation at 37 °C for 18 h, bacterial growth was assessed by measuring the optical density at 600 nm (OD 600) using a microplate reader (Bio-Rad 680 XR, Hertfordshire, UK). All assays were performed in triplicate, and mean values were recorded for statistical analysis.
-
7.2.
Bacterial growth curve (turbidity test).
Aliquots (50 µL) of the previously prepared bacterial cultures of suspension containing about 1 × 106 CFU/mL, incubated at 37 °C for 4 h in BHI broth, were transferred into the wells of a sterile 96-well microplate. Bacterial cells were then treated with 50 µL of 2x MICs of either the MNPs or the SaO-nanocomposites. The negative control contained only BHI broth, while the positive control contained untreated bacterial cultures.
Bacterial growth was monitored by OD at 600 nm using a microplate reader (Bio-Rad 680XR, Hertfordshire, UK)79. Turbidity readings were recorded at 0, 4, 6, 12, 18, and 24 h of incubation, and OD values were used to construct bacterial growth curves for each treatment.
-
2.
7.3.Transmission electron microscope (TEM).
S. pasteuri (Gram-positive) and P. mirabilis (Gram-negative) were selected for TEM analysis because they exhibited the highest sensitivity to the tested treatments, particularly SaO-Fe3O4NPs and SaO-SeNPs. The tested bacterial strains were cultivated in BHI broth and treated with 2×MIC concentrations of the SaO-nanocomposites or meropenem (positive control). Untreated bacterial suspensions served as the negative control. After incubation at 37 °C for 4 h, the treated and control bacterial cells were harvested, fixed, and examined as described previously80.
-
3.
8.Evaluation of anti-biofilm activity of the SaO extract, Fe3O4NPs, SeNPs, SaO-Fe3O4NPs, and SaO-SeNPs compared with meropenem.
The anti-biofilm activity was evaluated as described previously81,82using the microtiter plate crystal violet assay. The assay was performed to assess the inhibitory effect of each treatment on biofilm formation by the tested bacterial strains. 100 µL of the bacterial inoculum was standardized to approximately 1 × 10⁶ CFU/mL in Tryptic Soy Broth (TSB), followed by the addition of 100 µL of the tested compound at 2×MIC concentrations. Plates were incubated at 37 °C for 24 h under static conditions. After incubation, wells were gently washed three times with sterile phosphate-buffered saline (PBS) to remove planktonic cells. The remaining attached biofilms were fixed with methanol, stained with 0.1% crystal violet for 15 min, and then the excess stain was rinsed off. The bound dye was solubilized using 200 µL of 95% ethanol, and the (OD) was measured at 570 nm using a microplate reader.
Statistical analysis
The data were analyzed using analysis of variance (ANOVA) to evaluate the effects of different elements with different concentrations on the inhibition zone diameters of the tested bacteria. Mean values and standard errors (SE) were calculated for each treatment. ANOVA was performed to determine the significance of the factors studied and their interaction. When significant differences were detected (P < 0.01), mean comparisons were carried out using the least significant differences (LSD) test. All statistical analyses were performed using GenStat 18th edition. Data are presented as means ± standard error (SE). The figures were constructed using Excel 2021.
Data availability
Data will be made available on request.
Abbreviations
- BHI:
-
Brain Heart Infusion
- AST:
-
Antibiotic susceptibility test
- CLSI:
-
Clinical and Laboratory Standards Institute
- MDR:
-
Multidrug-resistant
- AE%:
-
Antibiotic effectiveness percentage
- SaO:
-
Salvia officinalis L
- MNPs:
-
Metal nanoparticles
- MIC:
-
Minimum inhibitory concentration
- Fe3O4NPs:
-
Magnetite nanoparticles
- SeNPs:
-
Selenium nanoparticles
- HPLC:
-
High-performance liquid chromatography
- DLS:
-
Dynamic light scattering
- XRD:
-
X-ray diffraction
- FT-IR:
-
Fourier transform infrared spectroscopy
- TEM:
-
Transmission electron microscope
References
O’Neill, J. Tackling drug-resistant infections globally: final report and recommendations. Review on Antimicrobial Resistance. Wellcome Trust & HM Government. https://amr-review.org/sites/default/files/160525_Final%20paper_with%20cover.pdf (2016).
Al-Mohammadi, A. R. et al. Potential use and chemical analysis of some natural plant extracts for controlling Listeria spp. Growth in vitro and in food. Foods 13 (18), 2915. https://doi.org/10.3390/foods13182915 (2024).
Enan, G. et al. Controlling bacterial biofilm formation by native and methylated lupine 11S globulins. Front. Microbiol. 14, 1259334. https://doi.org/10.3389/fmicb.2023.1259334 (2023).
Sitohy, M. et al. Mapping pathogenic bacteria resistance against common antibiotics and their potential susceptibility to methylated white kidney bean protein. BMC Microbiol. 24 (1), 49. https://doi.org/10.1186/s12866-024-03202-x (2024).
Sitohy, M. et al. Silver-protein nanocomposites as antimicrobial agents. Nanomaterials 11 (11), 3006. https://doi.org/10.3390/nano11113006 (2021).
Enan, G. et al. Inhibition of Staphylococcus aureus LC554891 by Moringa Oleifera seed extract either singly or in combination with antibiotics. Molecules 25 (19), 4583. https://doi.org/10.3390/molecules25194583 (2020).
Tang, K. W. K., Millar, B. C. & Moore, J. E. Antimicrobial resistance (AMR). Br. J. Biomed. Sci. 80, 11387. https://doi.org/10.3389/bjbs.2023.11387 (2023).
Xie, L. et al. An efficient voltammetric sensing platform for trace determination of Norfloxacin based on nanoplate-like α-zirconium phosphate/carboxylated multiwalled carbon nanotube nanocomposites. Microchem J. 206, 111451. https://doi.org/10.1016/j.microc.2024.111451 (2024).
Vivas, R., Barbosa, A. A. T., Dolabela, S., Jain, S. & S. & Multidrug-resistant bacteria and alternative methods to control them: an overview. Microb. Drug Resist. 25 (6), 890–908. https://doi.org/10.1089/mdr.2018.0319 (2019).
Gupta, V. & Datta, P. Next-generation strategy for treating drug-resistant bacteria: antibiotic hybrids. Indian J. Med. Res. 149 (2), 97–106 (2019).
Kalaba, M. H., El-Sherbiny, G. M., Ewais, E. A., Darwesh, O. M. & Moghannem, S. A. Green synthesis of zinc oxide nanoparticles (ZnO-NPs) by Streptomyces baarnensis and its active metabolite (Ka): a promising combination against multidrug-resistant ESKAPE pathogens and cytotoxicity. BMC Microbiol. 24, 254. https://doi.org/10.1186/s12866-024-03392-4 (2024).
Mourad, A. N. et al. Green synthesis of selenium nanoparticles and their conjugation with antibacterial proteins for enhancing antibacterial activity. Bioorg. Chem. 160, 108443. https://doi.org/10.1016/j.bioorg.2025.108443 (2025).
Laganà, A. et al. Antibacterial activity of nanoparticles and nanomaterials: a possible weapon in the fight against healthcare-associated infections. Eur. Rev. Med. Pharmacol. Sci. 27, 3645–3663 (2023).
Mohammed, H. A. et al. Solid lipid nanoparticles for targeted natural and synthetic drug delivery in high-incidence cancers and other diseases: roles of Preparation methods and lipid composition. Transl Med. Commun. 8, 20220517. https://doi.org/10.1515/ntrev-2022-0517 (2023).
Khudier, M. A. et al. Antibacterial activity of green-synthesized selenium nanoparticles using Vaccinium arctostaphylos (L.) fruit extract. Cogent Food Agric. 9, 2245612. https://doi.org/10.1080/23311932.2023.2245612 (2023).
Haji, A. A. et al. Green synthesis of magnetite nanoparticles mediated Fumaria officinalis L. plant as sustainable and renewable adsorbing materials. Separations 10 (9), 518. https://doi.org/10.3390/separations10090518 (2023).
Guo, J., Wang, R., Tjiu, W. W., Pan, J. & Liu, T. Synthesis of Fe nanoparticles@graphene composites for environmental applications. J. Hazard. Mater. 225, 63–73. https://doi.org/10.1016/j.jhazmat.2012.04.065 (2012).
Mahdi, A. A. et al. Green biosynthesis of magnetite nanoparticles via Neem extracts: effect on molecular and biochemical characteristics of Stevia rebaudiana callus. IOSR J. Biotechnol. Biochem. 7 (5), 40–58 (2021).
Saif, S., Tahir, A. & Chen, Y. Green synthesis of iron nanoparticles and their environmental applications and implications. Nanomaterials 6, 209. https://doi.org/10.3390/nano6110209 (2016).
Nguyen, T. H., Vardhanabhuti, B., Lin, M. & Mustapha, A. Antibacterial properties of selenium nanoparticles and their toxicity to Caco-2 cells. Food Control. https://doi.org/10.1016/j.foodcont.2017.01.018 (2017).
El-Saber, M. M. Effect of biosynthesized Zn and se nanoparticles on the productivity and active constituents of Garlic subjected to saline stress. Egypt. J. Desert Res. 71 (1), 99–128 (2021).
Bao, P. et al. Characterization and potential applications of a selenium nanoparticle-producing and nitrate-reducing bacterium Bacillus oryziterrae sp. nov. Sci. Rep. 6, 34054. https://doi.org/10.1038/srep34054 (2016).
El-Fadl, A., El-Saber, R. E., Ahmed, M. M., Elaziem, M. E. A. A., El-Sayed, A. A. & T. M. & Impact of SeNPs@Moringa on growth and secondary metabolites in white Poplar (Populus Alba L.) callus. Curr. Mater. Sci. 15 (2), 175–191. https://doi.org/10.2174/2666145414666211125093640 (2022).
Garza-García, J. The role of selenium nanoparticles in agriculture and food technology. Biol. Trace Elem. Res. 200 (5), 2528–2548. https://doi.org/10.1007/s12011-021-02847-3 (2022).
Boroumand, S., Safari, M., Shaabani, E., Shirzad, M. & Faridi-Majidi, R. Selenium nanoparticles: synthesis, characterization and study of their cytotoxicity, antioxidant and antibacterial activity. Mater. Res. Express. 6, 0850858. https://doi.org/10.1007/s12011-021-02847-3 (2019).
Darwesh, O. Development of nanocomposite-selenium filter for water disinfection and bioremediation of wastewater from hg and AgNPs. Sci. Rep. 14, 21443. https://doi.org/10.1038/s41598-024-70120-3 (2024).
Armendáriz-Barragán, B. et al. Plant extracts: from encapsulation to application. Expert Opin. Drug Deliv. 13 (8), 1165–1175. https://doi.org/10.1080/17425247.2016.1182487 (2016).
Lu, Y. & Foo, L. Y. Polyphenolics of Salvia—a review. Phytochemistry 59 (2), 117–140. https://doi.org/10.1016/S0031-9422(01)00415-0 (2002).
Zorzi, G. K., Carvalho, E. L. S., Von Poser, G. L. & Teixeira, H. F. On the use of nanotechnology-based strategies for association of complex matrices from plant extracts. Rev. Bras. Farmacogn. 25 (4), 426–436. https://doi.org/10.1016/j.bjp.2015.07.015 (2015).
Husni, P. & Ramadhania, Z. M. Plant extract loaded nanoparticles. Indones J. Pharm. 3 (1), 38–49. https://doi.org/10.24198/idjp.v3i1.34032 (2021).
Ghosh, S., Sarkar, B., Ranadheera, C. S. & Thongmee, S. Synergistic effects of plant extracts and nanoparticles for therapy. In: Nanotechnology and In Silico Tools. 75–87. https://doi.org/10.1016/B978-0-443-15457-7.00003-4 (Elsevier, 2024).
Das, P., Ghosh, S. & Nayak, B. Phyto-fabricated nanoparticles and their anti-biofilm activity: progress and current status. Front. Nanotechnol. 3, 739286. https://doi.org/10.3389/fnano.2021.739286 (2021).
Swidan, N. S., Hashem, Y. A., Elkhatib, W. F. & Yassien, M. A. Antibiofilm activity of green synthesized silver nanoparticles against biofilm associated enterococcal urinary pathogens. Sci. Rep. 12 (1), 3869. https://doi.org/10.1038/s41598-022-07831-y (2022).
Kaliappan, K. et al. Systematic antimicrobial, biofilm, free radical Inhibition and tyrosinase Inhibition assessments of efficient green silver nanoparticles from the aqueous root extract of Cyphostemma adenocaule (CA). RSC Pharm. 2 (1), 147–162. https://doi.org/10.1039/D4PM00173G (2025).
Lambert, P. A. Cellular impermeability and uptake of biocides and antibiotics in Gram-positive bacteria and mycobacteria. J. Appl. Microbiol. 92, 46S–54S. https://doi.org/10.1046/j.1365-2672.92.5s1.7.x (2002).
Nikaido, H. Molecular basis of bacterial outer membrane permeability revisited. Microbiol Mol. Biol Rev. 67, 593–656. https://doi.org/10.1128/mmbr.67.4.593-656.2003 (2003).
Hickson, K. S., Livermore, D. M. & Bonomo, R. A. Emerging antimicrobial therapies for Gram-negative infections in human clinical use. Nat. Rev. Microbiol. 23 (2), 89–105. https://doi.org/10.1038/s44259-025-00087-2 (2025).
Breijyeh, Z., Jubeh, B. & Karaman, R. Resistance of Gram-negative bacteria to current antibacterial agents and approaches to resolve it. Molecules 25 (6), 1340. https://doi.org/10.3390/molecules25061340 (2020).
Guo, Y. et al. Novel metallo-β-lactamase inhibitors restore the efficacy of carbapenems against resistant bacteria. Br. J. Pharmacol. 181 (2), 365–379. https://doi.org/10.1111/bph.16210 (2024).
Abed, M. & &Yousuf, S. A review on meropenem. Res. J. Pharm. Technol. 14 (9), 5034–5038 (2021).
Monari, S. et al. Bioaccessibility and biological activities of phytochemicals from wild plant infusions and decoctions before and after simulated in vitro digestion. Plant. Foods Hum. Nutr. 80–81. https://doi.org/10.1007/s11130-025-01327-6 (2021).
Bozin, B., Mimica-Dukic, N., Simin, N. & Anackov, G. Characterization of the volatile composition of essential oils of some lamiaceae spices and the antimicrobial and antioxidant activities of the entire oils. J. Agric. Food Chem. 54 (5), 1822–1828. https://doi.org/10.1021/jf051922u (2006).
Delamare, A. P. L., Moschen-Pistorello, I. T., Artico, L., Atti-Serafini, L. & Echeverrigaray, S. Antibacterial activity of the essential oils of Salvia officinalis L. and Salvia triloba L. cultivated in Southern Brazil. Food Chem. 100 (2), 603–608. https://doi.org/10.1016/j.foodchem.2005.09.078 (2007).
Speranza, B. et al. Sage and lavender essential oils as potential antimicrobial agents for foods. Microbiol. Res. 14 (3), 1089–1113. https://doi.org/10.3390/microbiolres14030073 (2023).
Danaei, M. et al. Impact of particle size and polydispersity index on the clinical applications of lipidic nanocarrier systems. Pharmaceutics 10 (2), 57. https://doi.org/10.3390/pharmaceutics10020057 (2018).
Pasieczna-Patkowska, S., Cichy, M. & Flieger, J. Application of fourier transform infrared (FTIR) spectroscopy in characterization of green synthesized nanoparticles. Molecules 30 (3), 684. https://doi.org/10.3390/molecules30030684 (2025).
Asab, G., Zereffa, E. A. & Abdo Seghne, T. Synthesis of Silica-Coated Fe3O4 nanoparticles by microemulsion method: characterization and evaluation of antimicrobial activity. Int. J. Biomaterials. 2020 (1), 4783612. https://doi.org/10.1155/2020/4783612 (2020).
El-Badri, A. M. et al. Comparative efficacy of bio-selenium nanoparticles and sodium selenite on morpho-physiochemical attributes under normal and salt stress conditions, besides selenium detoxification pathways in Brassica Napus L. J. Nanobiotechnol. 20, 163. https://doi.org/10.1186/s12951-022-01370-4 (2022).
Cheng, H. et al. Green synthesis of selenium nanoparticles by grape seed extract synergized with ascorbic acid: Preparation optimization, structural characterization, and functional activity. Foods 14 (17), 3002. https://doi.org/10.3390/foods14173002 (2025).
Çetin, D. P. et al. Alginate and chitosan-coated ferulic acid-loaded selenium nanoparticles: synthesis, characterization, and anticancer activity against MDA-MB-231 breast cancer cells. Med. Oncol. https://doi.org/10.1007/s12032-025-02756-8 (2025).
Hernández-Jaime, A. G. et al. Antioxidant and antimicrobial activity of ferulic acid added to dried meat: shelf-life evaluation. Foods 14 (4), 708. https://doi.org/10.3390/foods14040708 (2025).
Sysak, S. et al. Metal nanoparticle–flavonoid connections: synthesis, physicochemical and biological properties, as well as potential applications in medicine. Nanomaterials 13 (9), 1531. https://doi.org/10.3390/nano13091531 (2023).
Ozdal, M. & Gurkok, S. Recent advances in nanoparticles as antibacterial agents. ADMET DMPK. 10 (2), 115–129. https://doi.org/10.5599/admet.1172 (2022).
Zhang, L., Pornpattananangkul, D., Hu, C. M. & Huang, C. M. Development of nanoparticles for antimicrobial drug delivery. Curr. Med. Chem. 17 (6), 585–594. https://doi.org/10.2174/092986710790416290n (2016).
Rani, K. C., Winantari, A. N., Amrillah, T. & Setyawan, D. Characterization and antibacterial activity of iron oxide nanoparticles synthesized using co-precipitation method. Chem. Phys. Impact. 11, 100943. https://doi.org/10.1016/j.chphi.2025.100943 (2025).
Zúñiga-Miranda, J. et al. Iron oxide nanoparticles: green synthesis and their antimicrobial activity. Nanomaterials 13 (22), 2919. https://doi.org/10.3390/nano13222919 (2023).
Abdelghafar, A. et al. Zinc oxide nanoparticles reduce biofilm formation, synergize antibiotics action and attenuate Staphylococcus aureus virulence in host; an important message to clinicians. BMC Microbiol. 22, 244. https://doi.org/10.1186/s12866-022-02658-z (2022).
Nasaj, M. et al. Vancomycin and nisin-modified magnetic Fe3O4@SiO2 nanostructures coated with Chitosan to enhance antibacterial efficiency against methicillin resistant Staphylococcus aureus (MRSA) infection in a murine superficial wound model. BMC Chem. 18, 43. https://doi.org/10.1186/s13065-024-01129-y (2024).
Giannousi, K. et al. A magnetic nanocarrier of Ciprofloxacin used for restraining the growth of the Multidrug-Resistant Pseudomonas aeruginosa. Inorganics 13 (2), 58. https://doi.org/10.3390/inorganics13020058 (2025).
Zhao, Y. et al. A xanthium sibiricum biomimetic Fe-based medium-entropy alloy with significant antibacterial and mechanical behaviors. Rare Met. 44 (7), 4913–4935. https://doi.org/10.1007/s12598-024-03097-7 (2025).
Abomuti, M. A., Mousa, A. & Al-Othman, B. A. Green synthesis of zinc oxide nanoparticles using Salvia officinalis extract and evaluation of their antimicrobial and antioxidant activities. Inorg. Chim. Acta. 518, 120240. https://doi.org/10.3390/biology10111075 (2021).
Tasnim, N. T., Ferdous, N., Rumon, M. M. H. & Shakil, M. S. The promise of metal-doped iron oxide nanoparticles as antimicrobial agent. ACS Omega. 9, 16–32. https://doi.org/10.1021/acsomega.3c06323 (2024).
Elgushi, A. M. et al. Evaluation of the antibacterial activity of selenium nanoparticles and those conjugated with lysozyme against Bacillus cereus spiked in pasteurized skim milk. Discov Food. 4 (1), 95. https://doi.org/10.1007/s44187-024-00151-2 (2024).
Mahmoud, S. Y. et al. Antimicrobial activity of Whey milk and their fractions against Staphylococcus pasteuri clinical strain. Food Biosci. 53 https://doi.org/10.1016/j.fbio.2023.102741 (2023).
Reller, L. B., Weinstein, M., Jorgensen, J. H. & Ferraro, M. J. Antimicrobial susceptibility testing: a review of general principles and contemporary practices. Clin. Infect. Dis. 49 (11), 1749–1755. https://doi.org/10.1086/647952 (2009).
Clinical and Laboratory Standards Institute (CLSI). Performance standards for antimicrobial susceptibility testing. 34th ed. CLSI supplement M100. Wayne (PA): CLSI; (2024).
Balouiri, M., Sadiki, M. & Ibnsouda, S. K. Methods for in vitro evaluating antimicrobial activity: A review. J. Pharm. Anal. 6 (2), 71–79. https://doi.org/10.1016/j.jpha.2015.11.005 (2016).
Ollanketo, M., Peltoketo, A., Hartonen, K., Hiltunen, R. & Riekkola, M. L. Extraction of Sage (Salvia officinalis L.) by pressurized hot water and conventional methods: antioxidant activity of the extracts. Eur. Food Res. Technol. 215 (2), 158–163. https://doi.org/10.1007/s00217-002-0545-7 (2002).
Boroumand, S., Safari, M., Shaabani, E., Shirzad, M. & Faridi-Majidi, R. Selenium nanoparticles: synthesis, characterization and study of their cytotoxicity, antioxidant and antibacterial activity. Mater. Res. Express. 6 (8), 0850d8 (2019).
Sultana et al. Phytofabrication, characterization, and evaluation of novel bioinspired selenium–iron (Se–Fe) nanocomposites using Allium sativum extract for bio-potential applications. Green. Process. Synth. 12 (1), 20230049. https://doi.org/10.1515/gps-2023-0049 (2023).
Jain, N., Bhargava, A., Majumdar, S., Tarafdar, J. C. & Panwar, J. Extracellular biosynthesis and characterization of silver nanoparticles using Aspergillus flavus NJP08: a mechanism perspective. Nanoscale 3 (2), 635–641. https://doi.org/10.1039/C0NR00656D (2011).
El-Gazzar, N. et al. Assessment the using of silica nanoparticles (SiO2NPs) biosynthesized from rice husks by Trichoderma Harzianum MF780864 as water lead adsorbent for immune status of nile tilapia (Oreochromis niloticus). Saudi J. Biol. Sci. 28 (9), 5119–5130. https://doi.org/10.1016/j.sjbs.2021.05.027 (2021).
Archna, H. R. & Halima, R. A review on green synthesis of silver nanoparticle, characterization and optimization parameters. Int. J. Res. Eng. Technol. 5, 49–53 (2016).
Alagesan, V. & Venugopal, S. Green synthesis of selenium nanoparticle using leaves extract of Withania somnifera and its biological applications and photocatalytic activities. Bionanoscience 9 (1), 105–116. https://doi.org/10.1007/s12668-018-0566-8 (2019).
El-Sayed, A., Enan, G., Al-Mohammadi, A. R. & Moustafa, H. El-Gazzar, N. Detection, purification and Elucidation of chemical structure and antiproliferative activity of taxol produced by Penicillium chrysogenum. Molecules 25 (20), 4822. https://doi.org/10.3390/molecules25204822 (2020).
Lin, Y. L., Juan, I. M., Chen, Y. L., Liang, Y. C. & Lin, J. K. Composition of polyphenols in fresh tea leaves and associations of their oxygen-radical-absorbing capacity with antiproliferative actions in fibroblast cells. J. Agric. Food Chem. 44 (6), 1387–1394. https://doi.org/10.1021/jf950652k (1996).
Kuntić, V. et al. Isocratic RP-HPLC method for Rutin determination in solid oral dosage forms. J. Pharm. Biomed. Anal. 43 (2), 718–721. https://doi.org/10.1016/j.jpba.2006.07.019 (2007).
da Silva, R. S. et al. Antimicrobial activity of Lippia gracilis essential oils on the plant pathogen Xanthomonas Campestris pv. Campestris and their effect on membrane integrity. Pestic Biochem. Physiol. 160, 40–48. https://doi.org/10.1016/j.pestbp.2019.06.014 (2019).
Enan, G., Alalyan, S., Abdel-Salam, H. A. & Debevere, J. Inhibition of Listeria monocytogenes LMG10470 by plantaricin UG1 in vitro and in beef meat. Food/Nahrung. 46 (6), 411–414 https://doi.org/10.1002/1521-3803(20021101)46:6%3C411::aid-food411%3E3.0.co;2-g (2002).
Sitohy, M., Mahgoub, S., Osman, A., El-Masry, R. & Al-Gaby, A. Extent and mode of action of cationic legume proteins against Listeria monocytogenes and Salmonella enteritidis. Probiotics Antimicrob. Proteins. 5 (3), 195–205. https://doi.org/10.1007/s12602-013-9134-2 (2013).
Stepanović, S. et al. Quantification of biofilm in microtiter plates: overview of testing conditions and practical recommendations for assessment of biofilm production by Staphylococci. APMIS 115, 891–899. https://doi.org/10.1111/j.1600-0463.2007.apm_630.x (2007).
Moskowitz, S. M., Foster, J. M., Emerson, J. & Burns, J. L. Clinically feasible biofilm susceptibility assay for isolates of Pseudomonas aeruginosa from patients with cystic fibrosis. J. Clin. Microbiol. 42, 1915–1922. https://doi.org/10.1128/jcm.42.5.1915-1922.2004 (2004).
Acknowledgements
The authors would like to thank the University of Zagazig.
Funding
Open access funding provided by The Science, Technology & Innovation Funding Authority (STDF) in cooperation with The Egyptian Knowledge Bank (EKB).
Author information
Authors and Affiliations
Contributions
GE: Conceptualization, Resources, Writing – review & editing, Supervision. NA: Experimentation, writing, analysis, review, editing, and validation. MM: validation, analysis, investigation, preparation. AO: Conceptualization, Methodology & Investigation. SA: Resources, Writing – review & editing, Supervision. MS: Conceptualization, Resources, Writing – review & editing, Supervision.
Corresponding authors
Ethics declarations
Competing interests
The authors declare no competing interests.
Consent for publication
All participating authors agreed on the publication of the current article.
Ethics approval and consent from the participant
The study did not involve animal or human experimentation.
Additional information
Publisher’s note
Springer Nature remains neutral with regard to jurisdictional claims in published maps and institutional affiliations.
Supplementary Information
Below is the link to the electronic supplementary material.
Rights and permissions
Open Access This article is licensed under a Creative Commons Attribution 4.0 International License, which permits use, sharing, adaptation, distribution and reproduction in any medium or format, as long as you give appropriate credit to the original author(s) and the source, provide a link to the Creative Commons licence, and indicate if changes were made. The images or other third party material in this article are included in the article’s Creative Commons licence, unless indicated otherwise in a credit line to the material. If material is not included in the article’s Creative Commons licence and your intended use is not permitted by statutory regulation or exceeds the permitted use, you will need to obtain permission directly from the copyright holder. To view a copy of this licence, visit http://creativecommons.org/licenses/by/4.0/.
About this article
Cite this article
Enan, G., El-Wafa, N.A., El-Saber, M.M. et al. “Salvia officinalis extract–conjugated magnetite and selenium nanocomposites showed enhanced antibacterial and anti-biofilm activity against multidrug-resistant pathogens”. Sci Rep 16, 9201 (2026). https://doi.org/10.1038/s41598-026-39983-6
Received:
Accepted:
Published:
Version of record:
DOI: https://doi.org/10.1038/s41598-026-39983-6






