Abstract
The decomposition of walnut litter components (leaves, husks, and male inflorescences) were studied to understand the decomposition process and its role in the soil fertility in walnut plantation in the southern Taihang Mountains of Hebei Province, China. The experiment was carried out at a walnut plantation in the southern Taihang Mountains of Hebei Province, China. The analysis focused on the dynamic changes of four mineral elements, trace elements, and lignin. The results showed that during the 300-day decomposition period, the mass residue percentages of the three types of litter were leaves (64.92%), husks (37.90%), and male inflorescences (21.33%). The 120th day was a turning point in the decomposition process. Before this, the decomposition process was active and relatively rapid; after reaching this inflection point, the rate of decomposition tended to stabilize. The Olson model was used to simulate and predict the decomposition process of three types of litter. The order of the decomposition coefficient k for litter types was male inflorescence > husks > leaves. The higher the k value, the greater the decomposition rate. The 50% decomposition time estimates for leaves, husks, and male inflorescences were 1.28a, 0.53a, and 0.39a, respectively, with values of 5.54a, 2.28a, and 1.68a for 95% decomposition, respectively. After 300 days, according to the criterion of NR < 100%, the C, N, P, K, and lignin contents of the three types of litter showed a net release state, with a wave release decomposition form and a small enrichment phenomenon occurring during the process. Compared with the initial state of decomposition, the four trace elements generally exhibited a net release state.
Similar content being viewed by others
Introduction
Litter, also known as organic debris, is a collective term for all organic matter that is composed of dead aboveground plant components. Litter forms a material and energy resource for decomposers, thereby serving to maintain ecosystem functions1. Litter is an important component of forest ecosystems that is closely related to forest stand dynamics, and its decomposition process is the main pathway for nutrient elements to return to the soil2. At the same time, litter is also the main source of food for surface and underground decomposers and thus forms important links in the material cycle and energy flow of forest ecosystems3. The decomposition rate follows a certain temporal pattern, usually in the form of a single peak or a double peak4. On a global scale, many researchers have conducted extensive research on the decomposition rates, characteristics, and nutrient element return patterns of various types of litter under different climate regions, forest types, and land use conditions, and have achieved many important research results5,6,7,8,9,10. Litter is one of the main sources of organic matter in forest soil, and its decomposition is an important process in the biogeochemical cycling of nutrients in forest ecosystems. It is also one of the determining factors in the effective nutrient supply capacity of soil and is closely related to forest productivity. Nutrient element migration model of forest litter during decomposition process. The formula mainly includes: leaching enrichment release mode, enrichment release mode, and direct release mode. The release characteristics of different nutrient elements are different. At present, research on the decomposition of forest litter focuses on exploring influencing factors and distribution patterns, while there are few reports on the dynamic changes in the decomposition process and nutrient cycling mechanisms11. Therefore, conducting in-depth research on this complex process is crucial for the efficient and rational management of forest resources.
Walnut (Juglans regia L.), also known as Qiangtao, is a deciduous tree in the family Juglandaceae. Walnut is distributed in 53 countries and regions on six continents. Walnuts have a long history of cultivation in China. According to FAO (Food and Agriculture Organization of the United Nations) data, China’s walnut harvest area and yield in 2020 accounted for 31.32% and 33.09% respectively, of the global crop. According to the “China Statistical Yearbook 2022” released by the National Bureau of Statistics, the total walnut production in 2021 was 5.4035 million tons, a year-on-year increase of 12.67%. Hebei Province produced 182,200 tons, accounting for 3.37%, ranking sixth among the major production areas in China. In recent years, researchers have conducted in-depth studies on the selection of superior varieties, optimization of cultivation techniques, interpretation of physiological and ecological characteristics, and improvement of agronomic management measures. However, the walnut forest ecosystem faces problems such as declines in soil fertility, decreased productivity per unit area, and insufficient measures for nutrient element supplementation and allocation. Most of the existing research on the decomposition characteristics of litter has focused on timber forests, ecological protection forests, and other types of fields. However, there are very few research reports concerning litter in forests of economically important crops such as walnuts. Therefore, in this study, we selected three types of litter in a walnut artificial forest located in the Taihang Mountains of Hebei Province and conducted a systematic study on their decomposition dynamics. The aim was to elucidate the pattern of nutrient element return in walnut artificial forests. The results can provide a basis for maximizing the economic and ecological benefits of walnut orchards.
Materials and methods
Study site
The experimental area was selected within the Walnut Demonstration Park of Hebei Lvling Fruit Industry Co., Ltd., in Lincheng County, Xingtai City, Hebei Province, China (114° 30’–114° 33’ E and 37° 29’–37° 32’ N). This region has a warm temperate continental monsoon climate, with an average annual temperature of 13 °C, an average annual sunshine time of 2653 h, a frost-free period of 202 days, and an average annual precipitation of 521 mm. Precipitation is concentrated in the summer. The soil type is brown soil, with a soil layer thickness of 40–100 cm. The area has mostly gentle slopes below 10°, and the height range of the poster is 85–135 m. The main variety of walnuts in the park is “Green Ridge,” and planting is largely in a north–south direction, with a dwarfing and dense planting mode. Walnut trees were sampled and planted in 2006, with an age of 13 years (sampled in 2019). The average tree height is 3.5 m.
Experimental design
The experimental materials were three common types of litter from “Green Ridge” walnuts, namely leaves, green husks, and male inflorescences. The field simulation decomposition of litter adopted the net bag method. The three types of walnut litter were collected from August 2019 to April 2020 and stored for future use. Subsequently, 30.0 g of leaves and male inflorescences and 70.0 g of husks were placed into nylon mesh bags with a specification of 100 mesh. The mesh bags were labeled with the type and placement time, and 36 samples were collected for each type of litter. The samples to be decomposed were placed on the ground below randomly selected walnut tree crowns, and existing undecomposed litter and other debris were removed to ensure that the decomposition bags were in full contact with the ground. The mesh bags were fixed in place with a wire clamp.
The decomposition starting point was May 16, 2020, and thereafter three samples of each litter type were retrieved every 60 days over a period of 300 days. To retrieve the samples, any soil or other debris attached to the mesh bag was removed, and the contents were dried at 85 °C to a constant weight. The dry weight of the residue was recorded, and the content was crushed and sieved, then placed in a self-sealing bag. The lignin, N, P, K, Cu, Zn, Fe, Mn, and organic carbon contents were measured.
Determination of the chemical properties of litter
The lignin content was determined using the acetyl bromide method. The organic carbon content was determined by the potassium dichromate dilution heat method. The leaves, husks, and male inflorescences were boiled in concentrated sulfuric acid hydrogen peroxide until clear and then used for the measurements. The nitrogen content was determined using a Kjeldahl nitrogen analyzer. The P content was determined using the molybdenum antimony scandium colorimetric method with a UV spectrophotometer. The contents of Cu, Zn, Fe, and Mn were determined by concentrated sulfuric acid hydrogen peroxide digestion followed by measurement using an acetylene air flame atomic absorption spectrophotometer12.
Data processing
The residual rate of litter quality and the Olson model decomposition index were calculated using Microsoft Excel (Microsoft Corp., USA). Analysis of variance (ANOVA) was performed using SPSS (Statistical Product and Service Solutions, version number is 20.0) software (https://www.ibm.com/products/spss-statistics). Regression analysis on the residual rate of litter and decomposition time and Pearson correlation analysis were performed on each relevant indicator, and the decomposition coefficient k was estimated. Excel software was used for data processing and plotting13,14.
Mass Retention (MR, %) was calculated as
where M0 is the initial mass of litter (g), and Mt is the residual mass of litter after time t (g).
The decomposition dynamic process of litter was described using the Olson exponential decay model:
In the formula, a is the correction coefficient, k is the decomposition coefficient of litter, and t is the decomposition time, usually represented by a.
The calculation formulas for the time required for 50% decomposition of litter (t0.5) and 95% decomposition time (t0.95) are:
The formula for calculating the residual decomposition rate (NR, %) of various elements in litter during the decomposition process is:
where X0 is the initial concentration of a certain element in the litter (mg kg−1), and Xt is the concentration of a certain element in the litter (mg kg−1) after decomposition time t. A value of NR < 100% indicates that the element is in a net release state during the decomposition process; NR > 100% indicates a net enrichment state.
Results and discussion
Dynamic changes in the decomposition of three types of litter
The changes in the quality and residual rate of decomposition residues of three types of litter are illustrated in Fig. 1. There were significant differences in the decomposition times between husks and the leaves and male inflorescences. The difference between leaf litter and male inflorescences was not significant. There were significant differences in residual rate between male inflorescences and leaves and husks at the five decomposition points, while the differences between leaves and husks were not significant. The residual decomposition rates of the three types of litter showed a gradually decreasing trend. During the 300-day decomposition process, the dynamic trends of the three types of litter showed a common pattern, i.e., from 0 to 120 days, the residue rate decreased the most, with leaves at 18.67%, husks at 43.79%, and male inflorescences at 55.17%. During the period from 120 to 300 days, the decomposition rate slowed significantly, with decreases of 17.41% for leaves, 19.31% for husks, and 23.50% for male inflorescences. The 120th day marked a turning point in the decomposition process. Before the inflection point, the decomposition process was relatively rapid; after reaching the inflection point, the decomposition curve tended to flatten.
Changes in residual decomposition rates of three types of litter.
The decomposition process and model predictions for three types of litter
The correlation and regression results for the decomposition models of the three types of litter are listed in Table 1. The Olson decomposition model had a good fit and met the model requirements. The relationship between the decomposition coefficients k of three types of litter was in the order male inflorescences (1.7852) > husks (1.3140) > leaves (0.5412). The regression model was used to predict the future decomposition process. The estimated times required for 50% decomposition of leaves, husks, and male inflorescences were 1.28a, 0.53a, and 0.39a, respectively, while 95% decomposition would require 5.54a, 2.28a, and 1.68a, respectively.
Release characteristics of mineral elements
The decomposition and release of four mineral elements in the three types of litter were relatively complex, showing different patterns of change (Fig. 2).
Changes in residual decomposition rates of C N P K element in three types of litter.
The residual rate of leaf-type carbon (C) after 60 days was 90.98%, and the residual rate after 300 days was 87.79%. The intermediate decomposition process was relatively stable, with small fluctuations. The overall change trends of husks and male inflorescences were element release. The male inflorescences continued to release C from 96.24 to 18.50%, while husks showed a continuous release of C before 240 days, from 70.50 to 26.34%. However, C enrichment occurred thereafter, and the residual rate increased to 44.24% after 300 days.
For nitrogen (N), the leaf litter had a similar trend as for C, with a slight fluctuation in the residual rate from 77.71% at 60 days to 72.43% at 300 days, with a slight fluctuating trend during the process. Husk litter continued to release N from 65.88% at 60 days to 23.40% at 240 days, and then began to show element enrichment, reaching 38.88% at 300 days. The male inflorescence litter showed a sustained and stable state of N release, from 88.25% to 11.93%.
For phosphorus (P), leaf litter exhibited a pattern of P release, with the residual rates decreasing from 73.79% at 60 days to 29.17% at 300 days, with a slight fluctuation in the intermediate times. During the decomposition period of 60–120 days, the residual rate of husk litter decreased from 24.60 to 13.62%. From then until 300 days, the residual rate remained stable with little fluctuation and finally reached 11.80%. During the period of 0–60 days, the male inflorescence litter experienced net enrichment of P, increasing from 100 to 116.25%, and then began to release during 60–120 days, with the largest decrease reaching 59.6%. This was followed by a slightly decreasing trend.
For potassium (K), the trend for leaf litter is similar to those for C and N, and the residual rate decreased from 58.71 to 47.81%. The changes in husks and male inflorescences were similar, and the changes in C were also similar. The male inflorescences continued to release K from 68.26 to 10.79%; husks also showed continuous release before 240 days, decreasing from 57.90 to 17.03%, and then showed a slight enrichment, with a final residual rate of 24.46%.
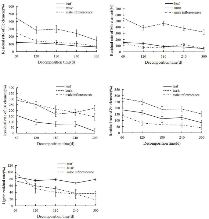
Release characteristics of trace elements and lignin
The release of various trace elements and lignin varied among the three types of litter (Fig. 3). Overall, all three types of litter showed a continuous decrease in residual rates of Fe, as Fe continued to be released. We note that Fe underwent different degrees of net enrichment during the decomposition process. The leaves showed a net release during 0–180 days, with a maximum of 121.54% and a minimum of 100.36%. The husk litter showed a net enrichment throughout the entire period, with a maximum of 444.79% and a minimum of 149.70%. The male inflorescences reached a maximum enrichment value of 246.75% at 60 days, and then the percentage gradually decreased, with a net release state of 71.91% at 300 days.
Changes in residual decomposition rates of Fe Cu Zn Mn and Lignin elements in three types of litter.
The overall trend of Mn in leaf litter was “enrichment release,” with a net enrichment before 120 days and a net release thereafter. The husk litter exhibited a net enrichment state throughout the entire decomposition period, but the rate showed an alternating pattern. The pattern of variation in male inflorescence litter was similar to that of husks, but the enrichment peak was only 143.98%, and there were three net release values during the process; the value at 300 days was 50.66%.
Copper (Cu) showed an overall pattern of enrichment release in leaf litter, reaching a maximum enrichment value of 157.00% at 60 days, and Cu continued to be released, reaching 17.09%. The husk litter showed a net enrichment during the entire decomposition period, but the rate showed a trend of rising–falling–rising, with a maximum residual rate of 289.71% and a minimum of 167.09%. The overall decomposition of male inflorescences showed a net enrichment, reaching a peak of 313.47% at 60 days. Afterward, the enrichment rate continued to decrease, finally reaching 143.50%.
For Zn, the decomposition and release trends of the three types were basically the same, and the residual rate showed a stepwise downward trend. The leaf litter showed net enrichment before 240 days, and the release rate exceeded the enrichment rate thereafter, reaching the lowest value of 81.45% at 300 days. Husk litter Zn decreased from 277.64% at 60 days to 151.62% at 300 days. The male inflorescences exhibited net enrichment from 0 to 60 days, followed by a continuous increase in the release rate, reaching the lowest value of 40.71% at 300 days.
Lignin showed a net release state at all stages. The leaf litter lignin decreased from 86.62% to 78.61%, with a relatively small overall change and a trend toward a stable release state. The husk litter showed a continuous release state, and the residual rate decreased from 74.47% to 35.94%. Within the first 120 days, the residual rate of male inflorescence litter varied by 49.10%, and within the 180 days thereafter, the variation was 33.14%, with a gradually slowing release rate.
The carbon-to-nitrogen ratio, the carbon-to-phosphorus ratio, and the nitrogen-to-phosphorus ratio of the three types of litter exhibited different trends and patterns with decomposition time (Figs. 4, 5, 6). The correlation between C/N and decomposition time for the three types of litter could be described using an exponential model and showed a continuous upward trend during the decomposition period. The C/P situation was relatively complex, and the leaf litter showed an exponential upward trend; the husk litter showed a cubic regression relationship, with the carbon-to-phosphorus ratio increasing initially, then decreasing, and then increasing again, showing a clear fluctuation trend with peaks and troughs. The male inflorescence litter followed a quadratic regression relationship, with no significant fluctuation trend and overall showing an upward and then downward trend. The N/P variation shows an exponential upward trend for leaf types, a trinomial regression relationship for husk litter, and a linear downward trend for male inflorescence types.
Changes in carbon to nitrogen ratio in three types of litter.
Changes in carbon phosphorus ratio in three types of litter.
Changes in nitrogen phosphorus ratio in three types of litter.
Analysis of the factors affecting the decomposition coefficients (K) of three types of litter
As shown in Table 2, the decomposition coefficient k was positively correlated with the decomposition time, nitrogen content, carbon content, lignin content, and C/P, while negatively correlated with litter residue, phosphorus content, C/N, and lignin/nitrogen. The coefficient was significantly positively correlated with litter residue (p < 0.05).
Discussion
Litter decomposition is a relatively complex physical and chemical process that is influenced and constrained by various factors15. The data from this study show that after 10 months of decomposition under natural conditions, the residual mass proportions of the three types of litter, from high to low, were leaves (64.92%) > husks (37.90%) > male inflorescences (21.33%). The decomposition degree of husks and male inflorescences exceeded 60%. This result is related to two factors: the chemical properties of the three types of litter in their initial state and the environmental conditions of the sample area, with moderate sunlight, mild temperature and humidity changes, and adequate microbial activity. It should be noted that the decomposition dynamics of the three types of litter showed a common pattern, i.e., from 0 to 120 days, the residual proportions of the litter rapidly decreased, while the decomposition rate gradually increased; from 120 to 300 days, the residual rate slowly decreased; the decomposition rate gradually decreased, and the decomposition process tended to stabilize. At 120 days, there was an inflection point in the decomposition process; this was consistent with previous research results. The reason for the result was that the experimental decomposition started in May of that year, and the 120th day was in September. This period is the active period for tree development and growth, with frequent exchange of nutrients above and below ground. Microbial activity is the highest at this time of the year, and thus the rate of decomposition continued to increase, reaching a peak at around the 120th day. Subsequently, changes in the environmental conditions not conducive to decomposition gradually increased, and the decomposition rate slowed.
The decomposition of litter is a dynamic process, and most researchers use mathematical models to describe and predict the decomposition process. In terms of the fitting effect of model regression, the Olson model is the current optimal choice. Specifically, in this study, the correlation coefficients of the Olson regression equation results for leaves, husks, and male inflorescences were 0.977, 0.895, and 0.921, respectively, indicating a high degree of fit. This model can be used for both simulation and prediction. The 50% decomposition of leaves, husks, and male inflorescences required 1.28a, 0.53a, and 0.39a, respectively, while the 95% decomposition required 5.54a, 2.28a, and 1.68a, respectively. Table 3 lists the region where this study was located and the seven geographical regions cover the Northeast, Northwest, North China, South China, Southwest, and Southeast regions nationwide, reflecting the Olson model prediction data of multiple tree species and litter types under various climatic conditions. The data in the table also indicate a trend where the decomposition process is constrained, and the decomposition cycle is long in regions with relatively prominent climate and environmental factors (such as the Northeast and Southwest regions). In areas with relatively average environmental factors, microbial activity is high; decomposition is relatively rapid, and the decomposition cycle is short, as in the husks and male inflorescences in this study. The data also confirm the conclusion that different types of litter components from the same tree species have different decomposition rates21.
The return of litter is still an important source of soil organic carbon accumulation and an important ecological process for maintaining the above ground and underground carbon pools in the symbiotic system between plants and soil. During the decomposition process of different types of litter, various macroelements, trace elements, and metal elements re-enter the aboveground underground nutrient cycling system. Understanding the decomposition characteristics of different types of litter is of fundamental significance for optimizing daily nutrient management and continuously restoring and improving soil fertility in walnut orchards. The decomposition process of litter is accompanied by the release or enrichment of nutrients such as C, N, P, and K. These processes are significant for nutrient cycling in artificial forest ecosystems22,23,24. In this study, the decomposition and release of four mineral elements in the three types of litter were relatively complex and did not show consistent patterns of change. Existing research results indicate that the release of nutrients from litter generally manifests as three types: the direct release mode, the enrichment release mode, and the leaching enrichment release mode. In this study, the release characteristics of C and N elements in the three types of litter were consistent. The leaf litter showed a leaching enrichment release pattern for C and N, while the husk litter showed a slightly different release enrichment pattern. The male inflorescences showed a direct release pattern, consistent with the results of other researchers25,26,27. As the main component of organic matter in litter, C does not show a stable and continuous release during the decomposition process. In the early stages of decomposition, there is a continuous loss by leaching; as this process weakens, C appears to be enriched and then is continuously released. The N element exhibits two release characteristics in both the husk and male inflorescence litter that may be directly related to the initial N content of the two types of litter. The initial N content in leaves was significantly lower than that in the husks and male inflorescences types (Table 4), making it difficult to meet the N demand of microorganisms for decomposition activity. Microorganisms absorb N from the environment for transformation, leading to enrichment. The initial N content in husks and male inflorescences was relatively high, sufficient to meet the requirements for microbial decomposition. N is released as the decomposition process continues. Compared with other nutrient elements, the leaching of P displays a higher release rate in the early stages. When the decomposition reaches a certain level, the release rate significantly slows and tends to a stable value. The data from this study confirm this pattern28,29.
The return of trace elements from litter to the soil is an important pathway for nutrient cycling in ecosystems. The release/enrichment characteristics of trace elements are an important way to measure their ability to return elements and are a key process in promoting and maintaining soil plant element cycling30,31. In this study, during a 10-month decomposition cycle, the four trace elements of the three types of litter showed an overall release pattern, consistent with many existing research results32,33,34. However, there were some exceptions, such as the residual rate of Fe in husks at 300 days being 149.70%, and the residual rate of Mn in husks at 300 days being 319.68%. Although there was an enrichment phenomenon, the change trend indicated that if the decomposition cycle is extended, the overall residual rate still showed a continuous decrease, while the element content showed a release trend. During the decomposition of litter, most of these trace elements can combine with humic substances and form relatively stable complexes35, or they can be fixed by microbial decomposition activity36. As decomposition proceeds, these substances are ultimately released through mineralization, and these intermediate links lead to enrichment or fluctuating release during the decomposition process36.
Lignin degradation is carried out under the combined effects of litter substrate quality, soil biological activities, and abiotic factors37. In this study, lignin in the three types of litter showed relatively stable release characteristics. Lignin is a substance that is difficult for microorganisms to decompose, and thus a high lignin content will inhibit decomposition38,39. The initial lignin content of male inflorescences was the lowest, and the decomposition rate was the highest; the initial content of husks was greater than that of leaves, although the difference was not significant, but the decomposition rate of husk type was significantly higher than that of leaves. This may be because lignin was not a key determinant of litter under the specific environmental conditions of this study, and the final result was also constrained by other factors. The fluctuating enrichment phenomenon that occurred during the decomposition process was because microorganisms can form lignin analogs through decomposition activities, resulting in lignin enrichment. The degradation of lignin is carried out by fungi and bacteria, and the number and activity of microbial decomposers directly affect the degradation process40.
Different parts of plants have different decomposition rates due to their properties. The study on the decomposition rate of root, stem, and leaf litter of five grassland plants found that the decomposition rate of stems and leaves was significantly positively correlated with their initial N and P content, while the decomposition rate of roots was significantly negatively correlated with the initial C/N ratio41. Related research has shown that under the same environmental conditions, the decomposition rate of litter is closely related to its initial chemical properties. Generally, low-quality litter decomposes faster, while high-quality litter is more difficult to decompose42. Litter has a higher level of C components (such as lignin) or a higher C/N and C/P ratio, usually manifested as a slow decomposition rate and a long decomposition cycle. If the N/P ratio is high, decomposition proceeds more rapidly43,44. As shown in Table 4, the initial N contents were significantly higher in male inflorescences and husks than in leaves, while the C/N ratio showed an opposite relationship. The decomposition rate was in the order of male inflorescences > husks > leaves. This result confirms a widely recognized rule by most researchers, i.e., the quality of litter substrate is the best predictor of the decomposition coefficient. The initial N content of litter and the C/kN ratio are significantly correlated with litter decomposition, with a higher N content; the lower the C/N ratio, the faster the decomposition of litter45,46.
The decomposition process of litter is influenced by both external environmental factors and internal component factors47. External environmental factors include temperature, humidity, rainfall, wind speed, soil structure, and microbial species and activity48, while internal component elements refer to initial chemical and physical properties. In this study, the correlation between initial chemical properties and decomposition rate was explored. The analysis results confirmed that the higher the N content and the lower the C/N ratio, the greater the decomposition rate. This pattern has been repeatedly confirmed in many studies12,15,19,22,26,27.
Conclusion
-
1.
During the 300-day decomposition period, the mass residues of the three types of litter ranked from high to low were as follows: leaves (64.92%) > husks (37.90%) > male inflorescences (21.33%). The 120th day was a turning point in the decomposition process. Before the turning point, the decomposition process was active and rapid; after reaching the inflection point, the rate of decomposition tended to slow.
-
2.
The Olson model was used to fit and predict the decomposition process of three types of litter. The correlation analysis indicated a high fitting degree. The estimates of the decomposition coefficient k of litter were as follows: male inflorescences (1.7852) > husks (1.3140) > leaves (0.5412). The higher the k value, the faster the decomposition. The decomposition of 50% of leaves, husks, and male inflorescences required 1.28a, 0.53a, and 0.39a, respectively, while the 95% decomposition required 5.54a, 2.28a, and 1.68a, respectively.
-
3.
After 300 days of decomposition, according to the criterion of NR < 100%, the C, N, P, K, and lignin contents of the three types of litter all showed a net release, with a fluctuating pattern and a slight enrichment phenomenon occurring during the process. Compared with the initial state of decomposition, the four trace elements generally showed a net release pattern.
-
4.
Based on Pearson correlations with three types of litter decomposition indices, the decomposition coefficient k was positively correlated with the decomposition time, nitrogen content, carbon content, lignin content, and C/P ratio while being negatively correlated with litter residue, the phosphorus content, the C/N ratio, and the lignin/nitrogen ratio, consistent with most research results.
-
5.
In future research, more attention should be paid to the element return, absorption, and decomposition processes and driving factors of the plant litter soil ecological complex, providing reference for nutrient management and soil fertility improvement in walnut orchards.
Data availability
All data generated or analysed during this study are included in this published article.
References
Aw, L. et al. Effects of temperature and moisture on litter decomposition in an alpine meadow. Acta Ecol. Sin. 41(17), 6846–6853 (2021).
Balasubramanian, D., Arunachalam, K., Das, A. K. & Arunachalam, A. Decomposition and nutrient release of Eichhornia crassipes (Mart.) Solms under different trophic conditionsin wetlands of eastern Himalayan foothills. Ecol. Eng. 44, 111–122 (2012).
Cusack, D. F. et al. Controls on long-term root and leaf litter decomposition in neotropical forests. Global Change Biol. 15, 1339–1355 (2009).
Crawford, E. R., Day, F. P. & Atkinson, R. B. Influence of environment and substrate quality on root decomposition in naturally regenerating and restored Atlantic white cedar wetlands. Wetlands 27(1), 1–11 (2007).
Berg, B., Sun, T. & Johansson, B. M. Temporal dynamics of climate and needle litter chemistry in driving decomposition along the entire decomposition process for Norway spruce. Plant Soil. https://doi.org/10.1007/s11104-025-07637-7 (2025).
Gautam, K. M. & Berg, B. Editorial: Plant litter decomposition: Patterns, processes, and element cycling. Front. Environ. Sci. https://doi.org/10.3389/fenvs.2025.1562030 (2025).
Gautam, K. M., Lee, K., Berg, B., Byeong-Yeol, S. & Jeh-Yeong, Y. Trends of major, minor and rare earth elements in decomposing litter in a cool temperate ecosystem, South Korea. Chemosphere 2019, 222214–222226 (2019).
Berg, B. et al. Calcium in decomposing foliar litter—A synthesis for boreal and temperate coniferous forests. For. Ecol. Manag. 403, 137–144 (2017).
Bradford, A. M., Berg, B., Maynard, S. D., William, R. W. & Stephen, A. W. Understanding the dominant controls on litter decomposition. J. Ecol. 104(1), 229–238 (2016).
Jitendra, A. et al. Forests litter dynamics and environmental patterns in the Indian Himalayan region. For. Ecol. Manag. 499, 56 (2021).
Dos Santos, F. A. L., Bianchini, I., Pimenta, C. M. M., Soares, C. B. P. & Mangiavacchi, N. The flow velocity as driving force for decomposition of leaves and twigs. Hydrobiologia 703(1), 59–67 (2013).
Ge, X. M. et al. Litterfall biomass and decomposition characteristics in a poplar plantation ecosystem. Ecol. Environ. Sci. 26(9), 1457–1464 (2017).
Huangfu, C. H. & Wei, Z. S. Nitrogen addition drives convergence of leaf litter decomposition rates between Flaveria bidentis and native plant. Plant Ecol. 219, 1355–1368 (2018).
Istvan, F., Zsolt, K. & Varga, C. Variability of organic matter inputs affects soil moisture and soil biological parameters in a European detritus manipulation experiment. Ecosystems 15(5), 792–803 (2012).
Gao, H. Y. Decomposition Characteristics of Common Plant Litters in the Stipa Breviflora Desert Grassland of Inner Mongolia (Inner Mongolia Agricultural University, 2019).
Liu, T., Sun, S. Q. & Qiu, Y. Dynamics and differences in the decomposition of litters from three dominating plants in subalpine ecosystems in Western Sichuan, China. Mount Ain Res. 35(5), 663–668 (2017).
Lai, Y. R. Release Characteristics of Silicon and Other Elements During the Litter Decomposition of 12 Tree Species in Northern Fujian Province (Fujian Normal University, 2021).
Li, F., Hu, T. X., Zhao, B. Q., Yang, Z. & Sun, L. Study on the dynamic changes of litter decomposition in burned areas in Great Xing’an Moutains. For. Eng. 34(5), 31–38 (2018).
Li, Y. H. et al. Decomposition of mixed leaf litter of Larix kaempferi plantation in eastern montane region of Liaoning Province. Chin. J. Ecol. 36(11), 3049–3055 (2017).
Li, Q., Zhou, D. W. & Chen, X. Y. The accumulation, decomposition and ecological effects of above-ground litter in terrestrial ecosystem. Acta Ecol. Sin. 34(14), 3807–3819 (2014).
Lan, Y., Cui, B. S. & You, Z. Y. Litter decomposition of six macrophytes in a eutrophic shallow lake (Baiyangdian Lake, China). Clean: Soil, Air, Water 40, 1159–1166 (2012).
Meng, Z. J. & Wan, F. Decomposition characteristics of different litter in the desert steppe under enclosure measures. Res. Soil Water Conserv. 35(1), 319–325 (2021).
Paul, L., Kalidas, U., Kumar, U. S., Sahoo, U. K. & Singson, L. Effect of legume leaf mulch and fertilizer on soil quality and rice yield for small scale production. Acta Ecol. Sin. 43(5), 861–868 (2023).
Paul, L., Bandi, G., Kalidas, U., Singson, L. & Sahoo, U. K. Leaf litter decomposition and nutrient release dynamics of; Flemingia semialata; Roxb. -A potential woody perennial species for mountain agroforestry. J. Sustain. For. 42(5), 472–486 (2023).
Moore, T. R., Trofymow, J. A., Prescott, C. E. & Titus, B. D. Nature and nurture in the dynamics of C,N and P during litter decomposition in Canadian forests. Plant Soil 339(1–2), 163–175 (2011).
Rustad, L. E. & Cronan, C. S. Element loss and retention during litter decay in a red spruce stand i. Revue Canadienne De Recherche Forestière 18(7), 947–953 (1988).
Shen, F. F. et al. Litter decomposition in a Chinese fir plantation in response to nitrogen deposition. Acta Ecol. Sin. 39(21), 8078–8090 (2019).
Tan, F. Y. et al. Dynamic changes of litterfall and its decomposition of three forest types in coastal sandy land, Southwest China. J. Agric. Sci. 36(7), 1513–1521 (2023).
Tate, K. R., Parshotam, A. & Ross, D. J. Soil carbon storage and turnover in temperate forests and grasslands-a New Zealand perspective. J. Biogeogr. 22(4/5), 695–700 (1995).
Wang, H. et al. Litter decomposition characteristics of Salix psammophila and Populus simonii in a coal mining subsidence area. Bull. Soil Water Conserv. 42(5), 73–79 (2022).
Wang, W. X. et al. Effects of simulated drought and phosphorus addition on leaf litter decomposition in a lowland tropical rainforest. Acta Ecol. Sin. 42(15), 6160–6174 (2022).
Wang, Y. N., Liu, X. & Wang, Z. Y. Litterfall decomposition and turnover of two Reaumuria soongorica communities in the Sangong River basin. Ecol. Sci. 42(3), 92–97 (2023).
Wrubleski, D. A., Murkin, H. R., Van der Valk, A. G. & Nelson, J. W. Decomposition of emergentmacrophyte roots and rhizomes in a northern prairie marsh. Aquat. Bot. 58(2), 121–134 (1997).
Wang, F. F., Yan, J. G., Ma, X., Qiu, D. D. & Cui, B. S. Decomposition characteristics of vegetation litter of Suaeda salsa and Spartina alterniflora in saltmarsh of the Yellow River Estuary, China. J. Nat. Resour. 35(2), 480–492 (2020).
Wu, L. J. et al. Litter decomposition of seven common colored-leaf tree species of western Sichuan. Chin. J. Appl. Environ. Biol. 27(3), 625–631 (2021).
Xiang, Y. The Decomposition Charactersitics of Grass Litter and Its Effects on Soil Properties in Loess Hilly Region (Northwest A&F University, 2018).
Xuluc-Tolosa, F. J., Vester, H. F. M., Ramriez-Marcial, N. & Castellanos-Albores, D. L. Leaf litter decomposition of tree species in three successional phases of trpoical dry secondary forest in Campeche. For. Ecol. Manag. 174(13), 401–402 (2003).
Yue, X. J. et al. Characteristics of litter decomposition and ecological stoichiometry of different forests on coastal sandy land in Fujian Provience. Res. Soil Water Conserv. 28(4), 77–83 (2021).
Yang, J. J., Zhou, Z. L., Lyu, R. H., Liang, J. Y. & Wang, X. Dynamic decomposition of foliar litters of three plant species in arid habitats. Arid Zone Res. 36(4), 916–923 (2019).
Zhao, X. X. et al. Research progress on home-field advantage of leaf litter decomposition. Chin. J. Plant Ecol. 47, 597–607 (2023).
Liu, G. D., Sun, J. F., Tian, K., Derong, X. & Xingzhong, Y. Long-term responses of leaf litter decomposition to temperature, litter quality and litter mixing in plateau wetlands. Freshwater Biol. 62(1), 178–190 (2017).
Zhou, T. Y., Xiao, Y., Huang, Q. Y., Xie, C. & Luo, Y. Forest litter decomposition: Research progress and prospect. Chin. Agric. Sci. Bull. 38(33), 44–51 (2022).
Zhang, H. H. et al. Response of chemical composition and ecological stoichiometric characteristics of three types of litter to simulated nitrogen deposition in the Changbai Mountain tundra. Acta Ecol. Sin. 42(21), 8795–8808 (2022).
Zhang, D., Man, X. L., Liu, S. Q. & Xu, Z. P. Litter decomposition and nutrient release of typical forest communities in non-growing season in cold temperate zone. J. Beijing For. Univ. 44(3), 65–74 (2022).
Zhu, W. N. et al. Decomposition characteristics of leaf litters and roots of six main plant species and their relationships with functional traits in Stipa grandis steppe. Chin. J. Plant Ecol. 45, 606–616 (2021).
Zhang, Y. et al. Research progress on influencing factors of litter decomposition in forest ecosystem. Environ. Ecol. 5(4), 45–56 (2023).
Zhang, S. Z. et al. Decomposition characteristics of mixed litter on the improved grassland on the Northern Slope of the Tianshan Mountains. Acta Agrestia Sin. 29(1), 10–16 (2021).
Zhou, S. X. et al. Effects of simulated nitrogen deposition on lignin and cellulose degradation of foliar litter in natural evergreen broad-leaved forest in rainy Area of Western China. Chin. J. Appl. Ecol. 27(5), 1368–1374 (2016).
Funding
This work was supported by the Hebei Province Innovation Capability Enhancement Plan Project(20536807D). We thank LetPub (www.letpub.com.cn) for its linguistic assistance during the preparation of this manuscript.
Author information
Authors and Affiliations
Contributions
Conceptualization: Xingrui Zhang, Guohui Qi, Li Dan, Liying Chen, Haoan Luan. Data curation: Xingrui Zhang, Haoan Luan. Formal analysis: Xingrui Zhang. Funding acquisition: Haoan Luan,Guohui Qi. Investigation: Xingrui Zhang, Li Dan, Liying Chen. Methodology: Xingrui Zhang, Haoan Luan. Resources: Xingrui Zhang. Software: Xingrui Zhang. Supervision: Xingrui Zhang, Guohui Qi, Li Dan, Liying Chen, Haoan Luan. Visualization: Xingrui Zhang,Haoan Luan. Writing—original draft: Xingrui Zhang. Writing—review & editing: Xingrui Zhang, Guohui Qi, Haoan Luan.
Corresponding authors
Ethics declarations
Ethical approaval
The “leaves, green husks, and male inflorescence” used in this study were authorized and licensed by Lvling Fruit Industry Co., Ltd. in Xingtai City, Hebei Province, China.
Competing interests
The authors declare no competing interests.
Additional information
Publisher’s note
Springer Nature remains neutral with regard to jurisdictional claims in published maps and institutional affiliations.
Rights and permissions
Open Access This article is licensed under a Creative Commons Attribution 4.0 International License, which permits use, sharing, adaptation, distribution and reproduction in any medium or format, as long as you give appropriate credit to the original author(s) and the source, provide a link to the Creative Commons licence, and indicate if changes were made. The images or other third party material in this article are included in the article’s Creative Commons licence, unless indicated otherwise in a credit line to the material. If material is not included in the article’s Creative Commons licence and your intended use is not permitted by statutory regulation or exceeds the permitted use, you will need to obtain permission directly from the copyright holder. To view a copy of this licence, visit http://creativecommons.org/licenses/by/4.0/.
About this article
Cite this article
Zhang, X., Li, D., Chen, L. et al. Decomposition dynamics and nutrient release of walnut orchard litter in the Taihang Mountains, China. Sci Rep 16, 10397 (2026). https://doi.org/10.1038/s41598-026-40404-x
Received:
Accepted:
Published:
Version of record:
DOI: https://doi.org/10.1038/s41598-026-40404-x








