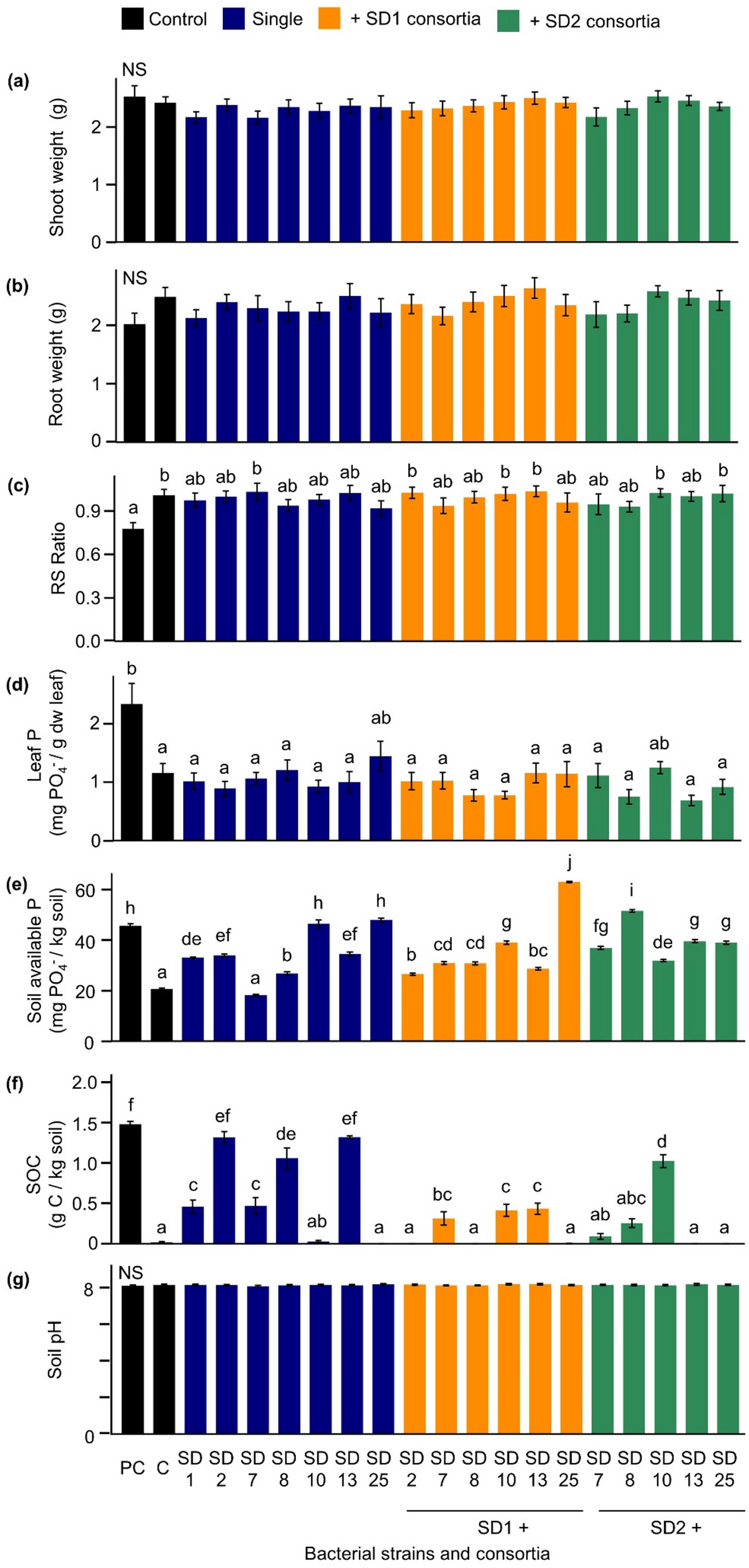
Fig. 3

Plant traits and soil characteristics in response to dual-strain inoculation under phosphorus (P)-deficient conditions. Plants traits included (a) shoot fresh weight, (b) root fresh weight, (c) root-to-shoot (RS) ratio, and (d) leaf P concentration. Soil characteristics included (e) soil available P, (f) soil organic carbon (SOC), and (g) soil pH. Averages and standard errors are provided. Dual-strain consortia consisted of either Kosakonia cowanii SD1 or Xanthomonas spp. SD2 combined with another SD-source isolate. Plants without bacterial inoculation under P-sufficient (PC) and deficient (C) conditions are included as controls. Different letters indicate significant differences (p < 0.05) among bacterial treatments based on Tukey’s multiple comparison tests and NS indicates nonsignificant differences. Names of bacterial strains are given in Table S1.