Abstract
Invasion by alien plant species can alter soil biogeochemical processes, including phosphorus (P) cycling. Plant litter and root exudates have been proposed to influence soil chemistry either directly through the release of diverse metabolites or indirectly by modifying the rhizosphere microbiome. Notably, some seed endophytic bacteria co-dispersed with seeds possess phosphate-solubilizing activity (PSA), suggesting their potential contribution to soil P dynamics. However, this possibility has rarely been tested. In this study, we conducted in vitro PSA assays on bacterial strains isolated from seeds of the invasive Lactuca serriola. To comprehensively assess their capacity, both individual isolates and their synthetic consortia were examined. Individual isolates exhibited variable PSA, and two isolates showed synergistic PSA when combined with other isolates. Based on these results, we constructed dual-strain consortia containing either of the synergistic strains with another isolate and inoculated them onto L. serriola seeds. Plants were then grown under P-deficient conditions, and both plant and soil traits were measured. Seed inoculation with specific dual-strain consortia significantly increased soil P, and these effects exceeded those of individual strains, indicating synergistic interactions between bacterial partners. The plant root-to-shoot ratio was negatively associated with soil P. Our results imply that plants harboring specific seed endophytic bacteria can enhance soil P under P-limiting conditions. In addition, they suggest the importance of bacterial interactions when evaluating the effects of bacteria on plant and soil traits.
Introduction
The invasion of alien plant species is suggested to exert diverse effects on natural ecosystems, including alterations in both biodiversity and ecosystem functioning1,2. Invasive plants can influence soil biogeochemical cycles through the release of secondary metabolites in plant litter and root exudates, which modify soil nutrient dynamics and soil microbial communities3,4. In particular, plant invasion can alter soil phosphorus (P) cycling, often resulting in increased soil P levels, especially in P-deficient environments5. Given that P is a vital macronutrient involved in key physiological processes in plants, and that approximately 40% of arable land soils are considered P-deficient6,7, elucidating the ecological mechanisms underlying invasion-induced shift in P cycling is essential to understand the broader impacts of invasive plants on natural ecosystem.
It has been proposed that plants can influence soil available phosphorus (AP) both directly and indirectly under P-deficient conditions. Plants can secrete organic acids, protons, and phosphatases from their roots8,9. These exudates can lower the rhizosphere pH, thereby facilitating the solubilization of inorganic P compounds and activating acid phosphatases that release phosphate ions from organic P compounds6,7. In addition, root exudates can modify rhizosphere microbial communities, particularly increasing populations of mycorrhizal fungi and rhizobacteria with phosphate-solubilizing activities10,11,12.
Seed endophytic bacteria—microorganisms residing within plant seeds—have recently gained attention as potential phosphate-solubilizing bacteria (PSB)13,14,15. Seed endophytes are a unique group of vertically transmitted microbes that colonize internal seed tissues and are inherited by successive plant generations15. Due to their co-dispersal with seeds and early presence during seed germination, seed endophytes are likely to exhibit high host compatibility and early root colonization15,16,17. Given these characteristics, seedborne PSB may contribute to the influence of invasive plants on soil P, but their functional roles under P-deficient conditions remain largely unexplored.
While PSB are commonly identified using selective growth media to assess the solubilization capacity of individual strains, limitations of this approach have been also pointed out. First, it is well established that inoculation of plant growth promoting (PGP) bacteria often yields inconsistent outcomes under field conditions, and in vitro performance does not reliably predict plant responses in complex soil environments18. This underscores the importance of evaluating microbial functionality through soil-based in planta assays. Secondly, microbial communities composed of multiple strains frequently produce non-linear outcomes that differ from the effects observed with single-strain inoculations, and may display synergistic or emergent interactions, whereby functional outcomes exceed the additive contributions of individual members19,20. Synergistic interactions may arise through mechanisms such as cross-feeding, niche complementarity, or signal-mediated cooperation. Conversely, antagonistic interactions can occur, whereby beneficial traits are diminished due to microbial competition or incompatibility. As a strategy to enhance inoculant performance and predictability, trait-based design of synthetic microbial communities (consortia) has been proposed to investigate how trait complementarity or interference among strains influences microbial contributions to plant growth and nutrient acquisition21,22,23. Given the diversity of seed endophytic bacteria14,24, evaluating the performance of microbial consortia derived from these endophytes is needed to assess their potential to influence soil phosphorus dynamics.
In this study, we employed seed endophytic bacteria isolated from seeds of Lactuca serriola, a widely distributed invasive species25,26, to investigate their potential to alter soil AP. We first quantitatively assessed the PSA and other plant growth-promoting traits of the seed-borne bacterial isolates under in vitro conditions. Subsequently, bacterial isolates were inoculated onto seeds, and plants were grown under P-deficient conditions to evaluate their effects on soil properties and plant performance. A synthetic soil substrate containing insoluble tricalcium phosphate (Ca3(PO4)2) was used, and a low phosphate level was maintained by applying phosphate-free Hoagland’s solution.
Both single strains and synthetic communities were tested to evaluate potential microbial interactions. Two types of consortia were constructed for the in vitro PSA assay: an “All” consortium containing all tested bacterial strains, and a set of corresponding “Dropout” consortia, each omitting one specific strain. When the PSA of a Dropout consortium was lower than that of the All consortium, the omitted strain was considered as a candidate exhibiting synergistic interactions with the other strains in the All consortium. Dual-strain consortia, consisting of one candidate strain and another strain, were subsequently constructed to further evaluate their combined effects on soil and plant characteristics. Synergistic interactions were defined as cases in which trait value of a consortium exceeded that of its individual constituent strains, whereas antagonistic interactions were identified when the consortium performed worse than either strain alone. Soil AP was measured using Olson’s method27, which, despite its limitations, is widely employed in both ecological and agricultural studies28.
Specifically, we addressed the following questions: (1) Do bacterial strains isolated from invasive L. serriola seeds exhibit PSA under in vitro conditions, and their consortia show synergistic interactions? (2) Do seed inoculations with seed-borne bacteria and their consortia influence soil AP and plant traits under P-deficient conditions? (3) Is altered soil AP associated with plant growth and soil characteristics?
Results
Phosphate-solubilizing activity and other PGP traits of seed-borne bacteria
PGP traits of consortia were evaluated separately based on the source of constituent strains, either from the SD or GG plant populations. For SD-source strains, ANOVA revealed significant differences in PSA among Single, Dropout, and All consortia (F = 25.23, p < 0.001), as well as among individual strains and their consortia (F = 585.24, p < 0.001) (Fig. 1a). Certain strains exhibited synergistic effects when assembled in consortia, with the All consortium demonstrating higher PSA than both the Single and Dropout consortia. K. cowanii SD1, Xanthomonas spp. SD2, Cronobacter dublinensis subsp. lausannensis SD7, and Pantoea dispersa SD25 exhibited this synergistic enhancement (Fig. 1a). The GG-source strains also exhibited differential PSA among consortium types (F = 31.62, p < 0.001) and among individual strains and consortia (F = 223.40, p < 0.001). Unlike the SD-source strains, the GG-source strains did not exhibit clear evidence of synergistic interactions (Fig. 1b).
Phosphate solubilizing activities of bacterial isolates and their consortia. (a) of SD-source isolates, and (b) GG-source isolates. “All” refers to the consortium containing all isolated strains, “Dropout” refers to the consortium containing all but one specific strain, and “Single” refers to each of individual strains. Names of bacterial strains are presented in Table S1. Different letters indicate significant differences (p < 0.05) among bacterial treatments based on Tukey’s multiple comparison test.
Other PGP traits also varied among individual strains and their consortia in both SD-source strains (ACC deaminase activity, F = 51.04, p < 0.001; IAA production, F = 159.73, p < 0.001; siderophore production, F = 1.80, p = 0.086) and GG-source strains (ACC deaminase activity, F = 5.05, p < 0.001; IAA production, F = 157.87, p < 0.001; siderophore production F = 2.36, p = 0.005) (Fig. S1, S2). As with PSA, synergistic effect was observed in Paenibacillus hunanensis SD13 for ACC deaminase activity. In contrast, antagonistic interactions were also detected. For instance, in Stenotrophomonas maltophilia SD8, the All consortium exhibited lower IAA production than both the Single and Dropout consortia, indicating negative interactions between S. maltophilia SD8 and the other SD strains (Fig. S1). Additionally, Dropout consortia excluding Xanthomonas spp. SD2 or S. maltophilia SD8 showed higher ACC deaminase activities compared to the All consortium, and the Single treatment of C. dublinensis subsp. lausannensis SD7 showed greater IAA production, suggesting additional patterns of antagonistic interaction among strains. Similar antagonistic interactions were also observed for ACC deaminase activity in Paenibacillus hunanensis SD13 (Fig. S1) and for IAA production in Enterobacter hormaechei subsp. steigerwaltii GG20 (Fig. S2).
Evaluation of dual-strain consortia
Comparisons among the Single, Dropout, and All consortia revealed several instances of synergistic interactions among bacterial strains (Fig. 1). Since the synergistic effects of K. cowanii SD1 and Xanthomonas spp. SD2 were evident for PSA, they were selected as core members for further tests. Eleven dual-strain consortia were constructed, each formed by pairing K. cowanii SD1 or Xanthomonas spp. SD2 with one of the remaining SD-source isolates. Among K. cowanii SD1-based consortia, the combination with Pseudomonas spp. SD10 exhibited a synergistic increase in PSA, with a value significantly greater than those of either strain alone (Fig. 2). The consortium comprising K. cowanii SD1 and P. dispersa SD25 also showed increased activity, although the difference was not statistically significant. In the dual consortia containing Xanthomonas spp. SD2, the combination with P. dispersa SD25 demonstrated a synergistic increase, exceeding the activity of each strain. PSA in the other combinations were comparable to those of the individual co-inoculated strains.
Phosphate solubilizing activities of dual-strain consortia and single strains. Averages and standard errors are provided. Dual-strain consortia consisted of either Kosakonia cowanii SD1 or Xanthomonas spp. SD2 combined with another SD-source isolate. SD1 and SD2 were chosen due to their evident synergistic effects for phosphate solubilizing activity (Fig. 1). Names of bacterial strains are given in Table S1. Different letters indicate significant differences (p < 0.05) among bacterial treatments based on Tukey’s multiple comparison tests.
Plant and soil responses to the bacterial inoculation
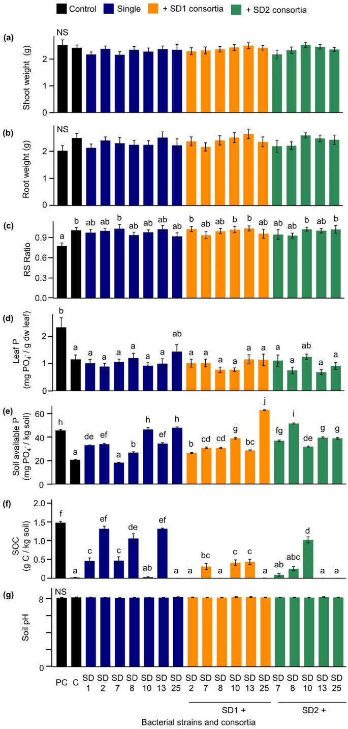
Results of ANOVA showed no significant effect of bacterial treatment on shoot fresh weight (F = 1.04, p = 0.412) or root fresh weight (F = 1.13, p = 0.317) (Fig. 3a, b). In contrast, a significant effect of bacterial treatment was detected for the root-to-shoot (RS) ratio (F = 1.73, p < 0.05) and leaf P concentration (F = 4.30, p < 0.001), which is likely due to differences between plants under the P-sufficient condition (PiControl) and the other bacterial treatments under P-deficient conditions (Fig. 3c, d). Plants under P-deficient conditions tended to exhibit higher RS ratios and lower leaf P concentration compared to PiControl plants. Among plants grown under P-deficient conditions, twelve out of eighteen bacterial treatments reduced the RS ratio compared to the uninoculated control, although the differences were not statistically significant (Fig. 3c).
Soil AP differed significantly among bacterial treatments (F = 307.05, p < 0.001), and all bacterial treatments, except for the C. dublinensis subsp. lausannensis SD7 single inoculation, increased soil AP compared to the uninoculated control (C) under the P-deficient condition (Fig. 3e). The consortium comprising K. cowanii SD1 and P. dispersa SD25 exhibited the highest AP level (63.01 ± 0.28 mg/kg soil), followed by the combination of Xanthomonas spp. SD2 and S. maltophilia SD8 (51.55 ± 0.56 mg/kg soil). In both cases, AP levels were significantly greater than those observed in either of the single-strain inoculations, indicating synergistic effects on soil AP. Other dual-strain combinations showed variable levels of AP but did not exhibit synergistic trends. SOC also differed significantly among bacterial treatments (F = 73.78, p < 0.001) (Fig. 3f). Soils in the dual-consortia treatments contained amounts of organic carbon similar to or lower than those in individual bacterial inoculations, indicating no synergistic effects. Soil pH did not differ significantly among bacterial treatments (F = 0.56, p = 0.932) (Fig. 3g).
Plant traits and soil characteristics in response to dual-strain inoculation under phosphorus (P)-deficient conditions. Plants traits included (a) shoot fresh weight, (b) root fresh weight, (c) root-to-shoot (RS) ratio, and (d) leaf P concentration. Soil characteristics included (e) soil available P, (f) soil organic carbon (SOC), and (g) soil pH. Averages and standard errors are provided. Dual-strain consortia consisted of either Kosakonia cowanii SD1 or Xanthomonas spp. SD2 combined with another SD-source isolate. Plants without bacterial inoculation under P-sufficient (PC) and deficient (C) conditions are included as controls. Different letters indicate significant differences (p < 0.05) among bacterial treatments based on Tukey’s multiple comparison tests and NS indicates nonsignificant differences. Names of bacterial strains are given in Table S1.
Relationship between soil AP and other measured traits
When plant traits and soil characteristics under P-deficient conditions were examined, regression analyses revealed that soil AP was negatively associated with the RS ratio (regression coefficient (SE) = − 0.00098 (0.00043), t = − 2.82, p < 0.05) and SOC (regression coefficient (SE) = − 0.019 (0.008), t = − 2.27, p < 0.05) (Fig. 4). No other measured traits showed significant regression coefficients (Fig. S3).
Results of regression analysis for (a) plant root-to-shoot ratio and (b) soil organic carbon in relation to soil available phosphorus. Dots represent the averages of bacterial treatments, with standard errors shown. The black line indicates the fitted regression line, with the regression coefficient (β) and standard error provided. Pots under the P-deficient condition were analyzed. Initial leaf length was included as a covariate in the model. * p < 0.05.
Discussion
Bacterial strains isolated from invasive L. serriola seeds exhibited variable PSA, and their consortia demonstrated synergistic PSA in in vitro assays. When seeds inoculated with SD-source individual strains and dual-strain consortia were grown under P-deficient conditions, most bacterial treatments increased soil AP compared to the uninoculated control, and some dual-strain consortia exhibited synergistic effects. Notably, dual consortia consisting of strains with high PSA did not necessarily lead to increased soil AP. Increased soil AP was negatively associated with soil organic carbon and with the plant RS ratio.
Effects of individual bacterial isolates on soil AP
When individual bacterial strains (Single treatment) were examined, they exhibited substantial variation in PSA (Fig. 1). In contrast, when SD-source isolates were inoculated onto L. serriola seeds and the inoculated seeds were grown under P-deficient conditions, most strains, except C. dublinensis subsp. lausannensis SD7, increased soil AP compared to the uninoculated control (Fig. 3e). This suggests that the seed inoculation of seed endophytic bacteria from invasive L. serriola have the capacity to enhance soil AP. Given that seed-borne bacteria can become major constituents of the rhizosphere microbiome17, they may serve as ecological players contributing to invasive plant-soil interactions.
In this study, we inoculated seed-borne bacteria onto seeds and did not include a control with bacteria in the absence of plants. Although this design reflects the natural association of seed endophytic bacteria, it limits our ability to distinguish microbial effects from plant-mediated influences on soil available phosphorus (AP). Seed-inoculated bacteria may colonize the rhizosphere16,17 and solubilize phosphate (PO₄³⁻) from insoluble tricalcium phosphate (Ca3(PO4)2), but they may also affect plant responses to P limitation. Inoculation with non-pathogenic microbes is known to trigger induced systemic resistance, which alters the expression related to plant stress tolerance29. As a consequence, inoculated plants often respond more readily to future stress—an effect referred to as “priming”30,31. If such priming occurred in this study, changes in soil AP may have resulted from plant responses rather than direct bacterial activity. While previous studies using soil microbes have shown that bacterial inoculation onto plants can modify soil AP32, the relative contributions of direct microbial processes versus plant-mediated priming remain unclear.
Plausible plant-microbe interactions in the rhizosphere make the interpretation of results even more complex. For example, root exudates have been shown to stimulate the expression of phosphate solubilization genes, including those encoding glucose dehydrogenase and phosphatases, even in strains that remain inactive under in vitro conditions33. Plant-derived signals such as organic acids and flavonoids can also activate otherwise quiescent microbial pathways34,35. Additionally, rhizosphere factors like redox gradients may alter microbial behavior, leading to trait expression that is not observed in axenic cultures36. More studies that can disentangle effects of plants, microbes, and their interactions on soil chemistry is required.
This study employed an artificial soil system, consisting of a sterile 3:1 mixture of vermiculite and sand supplemented with insoluble tricalcium phosphate. This simplified system allows clearer detection of experimental effects but somewhat overlooks the physical and chemical complexity of natural soils. For instance, vermiculite-sand substrates were used to minimize edaphic influences on microbial activity, yet soil AP may depend on physical soil properties37. Tricalcium phosphate is a common form of insoluble phosphate in soil and has been widely used to assess the ability of bacteria to facilitate plant uptake of insoluble phosphate38, although other forms such as metal phosphates are also abundant in natural soils39. Additional studies using natural soils are required to gain a more complete understanding of the role of seed endophytic bacteria.
Synergistic interaction of bacterial isolates
PGP activities of the consortia depended on the composition of testing strains, with both synergistic and antagonistic interactions observed in consortia composed of SD-source strains. Notably, the All consortium exhibited higher PSA than the Single and Dropout consortia of K. cowanii SD1, Xanthomonas spp. SD2, C. dublinensis subsp. lausannensis SD7, and P. dispersa SD25, indicating synergistic interactions with other SD-source strains (Fig. 1a). Although these bacterial species have not previously been reported to exhibit synergistic interactions with others, members of the genera Kosakonia and Xanthomonas have been shown to contribute positively to consortium performance. For example, Kosakonia oryzendophytica can enhance plant nutrient uptake and biomass accumulation when combined with other PGP bacteria40, and Xanthomonas species are components of beneficial rhizospheric microbial communities involved in nutrient cycling41.
Due to their strong synergistic effects on PSA, we constructed dual consortia by pairing either K. cowanii SD1 or Xanthomonas spp. SD2 with another SD-source bacterial strain for further analyses. The PSA of the dual consortia (52.26–654.28 soluble PO4− mg l− 1) was lower than that of the All consortium (1465.55 ± 42.98 soluble PO4− mg l− 1) (Figs. 1 and 2), suggesting that more than three strains may be required to form a consortium functionally equivalent to the All consortium. Despite this limitation, we conducted in planta experiments using dual consortia, as they can provide insights for evaluating the synergistic effects of dual-strain combinations. The results showed that dual inoculations of seed endophytes, specifically K. cowanii SD1 with P. dispersa SD25, and Xanthomonas spp. SD2 with S. maltophilia SD8, significantly increased soil AP compared to single-strain inoculations under P-deficient conditions (Fig. 3e).
Consortia composed of strains that individually induced high soil AP did not always produce greater soil AP than those composed of strains with low soil AP. For instance, although S. maltophilia SD8 inoculation resulted in lower soil AP than most other strains (except C. dublinensis subsp. lausannensis SD7) when tested individually, its co-inoculation with Xanthomonas spp. SD2 produced the highest soil AP among consortia containing Xanthomonas spp. SD2 (Fig. 3e).
These results emphasize the importance of empirically validating consortia performance, as functional outcomes cannot be reliably inferred from individual strain traits alone42,43. Synergistic interactions are hypothesized to arise from mechanisms such as “cross-feeding” or “division of labor”, in which one consortium member utilizes metabolites produced by others, resulting in collectively enhanced trait expression44,45,46,47. Microbial PSA is known to depend on the production of low-molecular-weight organic acids and the expression or activity of phosphatases10,48. In consortia composed of bacterial and fungal species, PSA has been shown to increase synergistically, either through enhanced organic acid production49 or elevated phosphatase activity50, compared to monocultures. According to the cross-feeding hypothesis, metabolites produced by one member may stimulate organic acid production or phosphatase activity in others, although future research is needed to elucidate the underlying molecular mechanisms.
Spatial differentiation at the microscale may also contribute to the differences between individual- and consortium-level effects. Co-inoculated strains can occupy distinct spatial niches in nutrient-limited environments. Such spatial separation can minimize direct competition and facilitate the maintenance of complementary functions, including organic acid excretion and phosphatase activity51,52. The presence of plants can further enhance spatial heterogeneity in soil, allowing microbial consortia to exploit heterogeneous P pools more effectively than monocultures, which may account for the differential outcomes in soil AP compared to in vitro conditions.
Soil and plant responses to microbial treatment
We initially expected a positive association between SOC and soil AP, as both plants and PSB can produce organic acids to facilitate phosphate solubilization under P-deficient conditions7,11. Additionally, plants may release more organic carbon molecules into the soil, which could promote PSB growth and thereby enhance soil P availability6,9. Contrary to our expectations, we observed a negative association between SOC and soil AP. Given that bacterial inoculation did not alter soil pH (Fig. 3g) and soil pH was not correlated with soil AP (Fig. S3d), it is likely that the production of organic acids by plants and microbes was minimal.
Previous studies have suggested that PSA requires metabolic investment by bacteria, including the production of organic acids and phosphatases, which may lead to the consumption of SOC as a carbon and energy source53,54,55. As the artificial soil medium used in this study was supplemented with nutrients via Hoagland’s solution, most of the SOC likely originated from plant root exudates. While microbial inoculations increased soil AP, it may have also led to a reduction in SOC as a byproduct, thereby resulting in the observed negative correlation between SOC and AP in the soil.
In response to P-deficient conditions, L. serriola exhibited a higher RS ratio compared to PiControl plants grown under the P-sufficient condition (Fig. 3c). An increased RS ratio is a typical plant response to low soil P through enhanced root development6,8. The RS ratio varied among bacterial treatments under P-deficient condition while the differences were not significant (Fig. 3c). However, a negative association between soil AP and the RS ratio was detected (Fig. 4a). Given that bacterial inoculations altered soil AP under P-deficient conditions (Fig. 3e), this correlation suggests that bacterial effects on soil AP may, in turn, influence the RS ratio.
While some bacterial treatments increased soil AP compared to the uninoculated control under P-deficient conditions, it did not affect leaf P concentration (Fig. 3d). In addition, soil AP was not associated with leaf P concentration. The discrepancy between soil AP and plant absorption of P has been reported, and microbial uptake of P is suggested to contribute to this mismatch56. Because microorganisms absorb P for their own growth, and the absorbed P is not immediately available to plants, plants must compete with microbes for soil AP. In the rhizosphere, where plants take up P, microbial density increases due to plant exudates, which leads to lower AP levels compared to soil farther from the root zone57. This competition may constrain plant P acquisition. Additionally, reduced transporter expression, or limited internal sink strength have also been suggested to constrain plant P absorption6,7.
In the case of plant biomass, the shoot and root biomass of L. serriola remained unchanged in response to P-deficient conditions and variations in soil AP (Fig. 3a, b). This pattern is likely attributable to luxury phosphorus uptake, whereby plants grown in P-rich environments accumulate excess P beyond immediate growth needs, storing it in vacuoles or older tissues for later use58,59. Such buffering responses can mask the short-term effects of low soil AP. Because L. serriola germinants were grown in the P-sufficient commercial soil for one week, they may have stored P in vacuoles for subsequent use. In addition, plant responses to P deficiency may vary with developmental stage60, so the lack of biomass response in L. serriola at current developmental stage may not reflect responses at later stages. A longer-term experiment is needed to evaluate biomass responses to P deficiency and microbially altered soil AP.
Alternatively, the limited biomass response may be attributed to the method used for measuring soil AP, namely the Olsen method27. Although widely adopted, recent studies have shown that Olsen’s method does not consistently correlate with crop yield and have suggested that methods using radioactive phosphate isotopes provide more accurate estimates of plant-available P28. The discrepancy is thought to arise from the dissolution of otherwise unavailable P forms and the secondary adsorption of orthophosphate ions during extraction. However, it is also worth noting that Olsen’s P measurements are highly correlated with isotopic methods when soil types are comparable37. Given that we applied the same soil (a 3:1 mixture of vermiculite and sand) to all test pots, and that tricalcium phosphate was the sole P source, the Olsen P values are likely to reflect, at least relatively, the amount of available P in the test soil.
Conclusion
The effects of invasive plants on soil characteristics have been studied for decades, with recent research suggesting that invasions can lead to increased soil nutrient levels. These effects are typically attributed to the chemical properties of the plants themselves and their interactions with soil microbes. Our findings demonstrate that seed endophytic bacteria can enhance soil available phosphorus (AP) under P-deficient conditions, with certain bacterial consortia exhibiting synergistic effects. This implies that seed endophytic bacteria may act as a third contributing factor to the impact of invasive plants on soil nutrient cycling in invaded habitats.
Materials and methods
Bacterial strains and consortia preparation
Permission to collect L. serriola was given by the Ministry of Environment, Korea. All bacterial strains used in this study were previously isolated from surface-sterilized seeds of L. serriola from two L. serriola populations in South Korea, Seongdong-ri, Muan-gun (SD) and Gagok-dong, Suncheon-si (GG)24. In short, seeds were pulverized and mixed with sterile distilled water. A 100 µl aliquot of the mixture was plated onto five different solid media: R2A (#218263, Difco), potato dextrose agar (PDA; #213400, Difco), King’s B agar (KB; #60786, Sigma-Aldrich), LB agar (#7279, Acumedia), and commercial nutrient agar. The plates were incubated at 25 °C for one month, after which 129 morphologically distinct colonies were isolated, and identified using 16 rDNA sequencing. Considering phylogenetic and functional diversity of isolates, we selected seven isolates from the SD population and twelve from the GG population. They belong to thirteen genera: Bacillus, Cellulosimicrobium, Cronobacter, Curtobacterium, Enterobacter, Enterococcus, Exiguobacterium, Kosakonia, Paenibacillus, Pantoea, Pseudomonas, Stenotrophomonas, and Xanthomonas. The full list of strains along with their taxonomic identities is provided in Table 1. The isolates used in this study have been deposited in the Korean Collection for Type Cultures (KCTC), and their 16 S rDNA sequences have been deposited in the National Center for Biotechnology Information (NCBI) GenBank. The KCTC accession numbers and 16 S rDNA sequence accession numbers are provided in Table 1.
All isolates were initially cultured in Luria-Bertani (LB) broth at 28 °C with shaking at 180 rpm until reaching the mid-logarithmic phase. Bacterial cell densities (CFU ml− 1) were determined by measuring optical density at 600 nm using a BioSpectrometer basic (Eppendorf, Hamburg, Germany) and pre-established calibration curves. The cell suspension of each isolate containing 108 CFU was centrifuged, and the resulting cell pellet was washed three times with sterile distilled water to remove residual LB components. The washed pellet was then resuspended in 100 µl phosphate-buffered saline and used to construct bacterial consortia.
Two types of artificial consortia were established. For each plant population (SD or GG), an “All” consortium comprising all isolates was constructed by mixing equal cell number of 108 CFU per isolate. The “Dropout” consortium was prepared in the same manner, except that one isolate was omitted and the remaining isolates were mixed in equal proportions of 108 CFU per isolate. For example, the SD All consortium comprised all seven SD-source isolates, whereas the Kosakonia cowanii SD1 Dropout consortium excluded K. cowanii SD1 but included the other six SD-source isolates. A cell suspension of each isolate containing 108 CFU was used as a single-strain control (“Single”). In total, seven Dropout, one All, and seven Single bacterial suspensions were prepared for the SD population, and twelve Dropout, one All, and twelve Single were prepared for the GG population. For the in vitro assays, cells in each prepared Single, Dropout and All consortia were harvested and subsequently transferred to the respective assay media.
Measurement of PGP traits
Four PGP traits of bacterial consortia were evaluated quantitatively: PSA, the 1-aminocyclopropane-1-carboxylic acid (ACC) deaminase activity, indole-3-acetic acid (IAA) production and siderophore production. PSA was evaluated based on the ability of bacterial isolates to solubilize insoluble tricalcium phosphate (Ca3(PO4)2), following the colorimetric method described by Oteino et al.61 with slight modifications. Prepared bacterial consortium were inoculated into National Botanical Research Institute’s phosphate (NBRIP) broth medium (10 g l− 1 glucose, 5 g l− 1 MgCl2·6H2O, 0.25 g l− 1 MgSO4·7H2O, 0.2 g l− 1 KCl, and 0.1 g l− 1 (NH4)2SO4) containing 5 g l− 1 Ca3(PO4)2 (pH 6.75 ± 0.25 before autoclaving), and incubated at 30 °C with shaking at 150 rpm for 6 days62. Cultures were then centrifuged at 13,000 rpm for 10 min, and 100 µl of the supernatant was transferred into glass tubes containing 4.2 ml of distilled water, 500 µl of 2.5% ammonium molybdate in 5 N sulfuric acid, and 200 µl of α-amino-naphthol solution (195 ml of 15% NaHSO3, 5 ml of 20% Na2SO3, and 0.5 g of 1,2,4-aminonaphtholsulfonic acid). The mixture was incubated at room temperature for 30 min. The absorbance was measured at 660 nm, and soluble phosphate concentrations were calculated using a standard curve of known concentrations of soluble phosphate.
The ACC deaminase activity was determined by quantifying the amount of α-ketobutyrate, a byproduct generated by the enzyme cleavage of ACC63 with modifications by Vega-Celedón et al.64. The IAA production was quantified using a colorimetric method based on the reaction with Salkowski’s reagent65 with minor modifications by Barra et al.66, and the siderophore production was assessed using a Chrome Azurol S (CAS) liquid assay67. Detailed methods were presented in Supplementary Information.
Construction of dual-strain consortia
K. cowanii SD1 and Xanthomonas spp. SD2 exhibited significant synergistic effects in PSA when co-inoculated with other SD-source isolates (See Results). To further evaluate their interactive effects, dual-strain consortia were constructed. Either K. cowanii SD1 or Xanthomonas spp. SD2 was paired with one of the other SD-source isolates. Each consortium was prepared by mixing equal cell numbers of the paired strains (108 CFU per strain). A cell suspension of each isolate containing 108 CFU was used as a control. For the in vitro phosphate solubilization assay, the same procedure used for the Single, Dropout, and All consortia was applied. For seed inoculation, cells in each prepared dual-strain consortium and control were harvested by centrifugation, and the pellet was washed three times with sterile distilled water. The washed pellet was then resuspended in sterile 0.9% NaCl solution and used immediately for seed treatment.
Bacterial inoculation to L. serriola and plant growth condition
To evaluate the effects of bacterial dual consortia on plant growth and soil characteristics under P-deficient conditions, L. serriola was grown following bacterial inoculation. We used L. serriola seeds collected from Eumnae-ri, Seosan-si, South Korea (36.71 °N, 126.55 °E) due to a shortage of seeds from SD populations. Permission to collect L. serriola was given by the Ministry of Environment, Korea. Experimental researches using this plant complied with relevant institutional and national guidelines and legislation. Seeds from four maternal plants were used. Before bacterial inoculation, seeds were surface-sterilized using 3% sodium hypochlorite for 3 min, followed by three rinses with sterile distilled water. Chloramphenicol (500 µg ml− 1) and tetracycline (6 µg ml− 1) were additionally applied to seeds for 20 min, and seeds were rinsed three times with sterile distilled water.
After stratification at 4 °C for one week, seeds were immersed overnight in 1 ml of the prepared bacterial suspension in 0.9% NaCl. A total of 18 bacterial treatments were applied, including seven single-strain inoculants, six K. cowanii SD1-based dual consortia, and five Xanthomonas spp. SD2-based dual consortia. Control seeds were immersed in 1 ml of 0.9% NaCl without bacterial cells. One day after inoculation, seeds were rinsed three times with sterile water to remove excess bacterial cells.
Inoculated seeds were sown in trays with 105 holes filled with sterile commercial soil (Shinsung mineral, Goesan, Korea) and maintained in a growth chamber at 22 °C under a 16 h light/8 h dark photoperiod with a photosynthetically active radiation (PAR) intensity of 100 µmol m− 2 s− 1. One week after germination, five seedlings with similar sizes from each maternal plant were randomly assigned to each bacterial treatment, resulting in a total of 400 experimental pots (4 maternal plants × 20 treatments × 5 replicates). Seedlings were transplanted into plastic pots (8 cm × 7.5 cm × 6 cm) containing a sterile 3:1 mixture of vermiculite (Green Fire Chemicals, Hongseong, Korea) and sand (Glpark, Seoul, Korea). During transplantation, roots were gently freed from the commercial soil to minimize residual soil effects. Plants were grown under the same growth chamber conditions as those used for seed germination.
To impose P-deficient conditions, each pot was supplied once per week with 50 ml phosphate-free Hoagland’s solution (1.25 mM KNO3, 1.5 mM Ca(NO3)2, 0.75 mM MgSO4, 0.05 mM H3BO3, 0.01 mM MnCl2, 0.002 mM ZnSO4, 0.0015 mM CuSO4, 0.075 mM NH4Mo7O24, 0.074 mM Fe-EDTA). For the P-sufficient condition (PiControl) as a control, soluble phosphate was supplied to each pot using 50 ml Hoagland solution containing 0.5 mM KH2PO4. All pots under P-deficient conditions contained 15.5 mg of tricalcium phosphate (Ca3(PO4)2) mixed into the soil, whereas PiControl pots did not. During the experimental period, all pots were watered twice weekly with sterile water.
Plant traits and soil characteristics measurement
All plants were harvested four weeks after transplantation. Forty-eight individuals died during the experiment, resulting in a total of 352 plants harvested. Leaf length of each seedling was recorded at the time of transplantation into plastic pots. Shoots and roots were carefully separated and immediately weighed to determine shoot and root fresh weight. The root-to-shoot (RS) ratio was calculated by dividing root fresh weight by shoot fresh weight. To measure P concentration in plant leaves, the harvested leaves were oven-dried at 70 °C for 72 h and ground into a fine powder. The molybdenum blue method was used following acid digestion with a mixed solution of perchloric acid and sulfuric acid (HClO4:H2SO4 = 10:1, v/v)68. Absorbance was measured at 660 nm, and phosphorus concentration was expressed as milligrams of phosphorus per grams of leaf dry weight (mg P g− 1 dw leaf)61,62.
Soils were collected after plant harvest, homogenized, air-dried, and stored at room temperature prior to analysis. Soil available phosphorus (AP) concentration was measured using the Olsen P method27. Briefly, 5 g of air-dried soil was mixed with 100 ml of 0.5 M NaHCO3 solution (pH 8.5) and shaken for 30 min. The suspension was filtered, and the phosphate content of the filtrate was determined using the molybdenum blue method at 660 nm. Soil organic carbon (SOC) content was determined using the Walkley–Black colorimetric method69. In short, 1 g of soil was oxidized with 10 ml of 0.167 M K2Cr2O7 and 20 ml of concentrated H2SO4. After 10 min, 100 ml of distilled water was added to stop the reaction. The solution was filtered, and the absorbance of the supernatant was measured at 610 nm. Glucose standards corresponding to 0.5–4 mg of carbon were used to generate a calibration curve. In addition, soils without any treatments were analyzed in parallel, and SOC values for all experimental treatments were corrected by subtracting the background absorbance of the soil materials. Corrected values less than zero were set to zero. Soil pH was measured following the protocol described by the Rural Development Administration70. A 1:5 (w/v) ratio of soil to distilled water was used, and samples were equilibrated for 1 h before measurement with a pH meter.
Statistical analyses
All statistical analyses were performed using R software version 4.3.1 (R Foundation for Statistical Computing, Vienna, Austria). Since bacterial consortia consisted of strains from the same source populations, separate analyses were conducted for each source population. To compare PGP trait values among bacterial treatments, one-way analyses of variance (ANOVA) were performed, followed by Tukey’s Honestly Significant Difference (HSD) tests for post hoc multiple comparisons. First, we assessed the differences among consortium types–Single, Dropout, and All treatments. Second, to examine strain-specific effects, one-way ANOVAs were conducted with each bacterial strain, rather than consortium type, included as the independent variable. PSA and ACC deaminase activity were log-transformed to meet the assumption of normality. The same model was used to compare PSA in dual-strain combinations, using raw PSA values instead of log-transformed ones. The car package was used for ANOVAs and the multcomp package was used for the HSD tests.
To assess in planta effects of dual-strain combinations, we conducted analysis of covariance (ANCOVA) with leaf length before phosphate treatment as a covariate to control for initial plant size, followed by Tukey’s HSD tests. The RS ratio and leaf P concentration were log-transformed to meet normality assumption. A significant effect of bacterial treatment on soil AP was detected (see Results). To further explore the relationship between soil AP and other soil and plant traits, linear regression analyses were performed. For each bacterial treatment, average values were calculated, and regression coefficients were estimated by regressing average soil AP against corresponding average plant and soil trait values, with initial plant size included as a covariate. Data from the PiControl treatment were excluded to focus on trait relationships under P-deficient conditions.
Data availability
The datasets generated and analyzed during the current study are available in Figshare (https://doi.org/10.6084/m9.figshare.29832692.v1). The 16 S rDNA sequences of the bacterial isolates have been deposited in NCBI GenBank under the accession numbers MT778997, MT785552, MT779759, MT779764, MT785434, MT779806, MT780130, MT781352, MT784948, MT781353, MT781354, MT784947, MT781362, MT781365, MT781366, MT781398, MT781399, MT781467, and MT781469.
Abbreviations
- AP:
-
Available phosphorus
- P:
-
Phosphorus
- PGP:
-
Plant growth promoting
- PSA:
-
Phosphate solubilizing activity
- PSB:
-
Phosphate solubilizing bacteria
- SOC:
-
Soil organic carbon
References
Pyšek, P. et al. Scientists’ warning on invasive alien species. Biol. Rev. 95, 1511–1534 (2020).
Roy, H. E. et al. IPBES invasive alien species assessment: summary for policymakers. IPBES (2023).
Liao, C. et al. Altered ecosystem carbon and nitrogen cycles by plant invasion: a meta-analysis. New Phytol. 177, 706–714 (2008).
Dassonville, N. et al. Impacts of alien invasive plants on soil nutrients are correlated with initial site conditions in NW Europe. Oecologia 157, 131–140 (2008).
Weidenhamer, J. D. & Callaway, R. M. Direct and indirect effects of invasive plants on soil chemistry and ecosystem function. J. Chem. Ecol. 36, 59–69 (2010).
Balemi, T. & Negisho, K. Management of soil phosphorus and plant adaptation mechanisms to phosphorus stress for sustainable crop production: a review. J. Soil. Sci. Plant. Nutr. 12, 547–562. https://doi.org/10.4067/S0718-95162012005000015 (2012).
Vance, C. P., Uhde-Stone, C. & Allan, D. L. Phosphorus acquisition and use: critical adaptations by plants for securing a nonrenewable resource. New Phytol. 157, 423–447. https://doi.org/10.1046/j.1469-8137.2003.00695.x (2003).
Péret, B. et al. Root architecture responses: in search of phosphate. Plant Physiol. 166, 1713–1723. https://doi.org/10.1104/pp.114.244541 (2014).
Lynch, J. P. Root phenes for enhanced soil exploration and phosphorus acquisition: tools for future crops. Plant Physiol. 156, 1041–1049. https://doi.org/10.1104/pp.111.175414 (2011).
Rodrı́guez, H. & Fraga, R. Phosphate solubilizing bacteria and their role in plant growth promotion. Biotechnol. Adv. 17, 319–339. https://doi.org/10.1016/S0734-9750(99)00014-2 (1999).
Sharma, S. B., Sayyed, R. Z., Trivedi, M. H. & Gobi, T. A. Phosphate solubilizing microbes: sustainable approach for managing phosphorus deficiency in agricultural soils. SpringerPlus 2, 587. https://doi.org/10.1186/2193-1801-2-587 (2013).
Khan, M. S., Zaidi, A. & Wani, P. A. Role of phosphate solubilizing microorganisms in sustainable agriculture – A review in Sustainable agriculture (eds. Lichtfouse, E., Navarrete, M., Debaeke, P., Souchère V. & Alberola, C.) 551–570 (Springer, 2009).
Hardoim, P. R. et al. The hidden world within plants: ecological and evolutionary considerations for defining functioning of microbial endophytes. Microbiol. Mol. Biol. Rev. 79, 293–320. https://doi.org/10.1128/mmbr.00050-14 (2015).
Johnston-Monje, D. & Raizada, M. N. Conservation and diversity of seed associated endophytes in Zea across boundaries of evolution, ethnography and ecology. PLoS One. 6, e20396. https://doi.org/10.1371/journal.pone.0020396 (2011).
Truyens, S., Weyens, N., Cuypers, A. & Vangronsveld, J. Bacterial seed endophytes: genera, vertical transmission and interaction with plants. Environ. Microbiol. Rep. 7, 40–50. https://doi.org/10.1111/1758-2229.12181 (2014).
Jeong, S. et al. Genotype-specific plastic responses to seed bacteria under drought stress in Lactuca serriola. Microorganisms 10, 1604. https://doi.org/10.3390/microorganisms10081604 (2022).
Garrido-Sanz, D. & Keel, C. Seed-borne bacteria drive wheat rhizosphere microbiome assembly via niche partitioning and facilitation. Nature Microbiology, 1130–1144 (2025). https://doi.org/10.1038/s41564-025-01973-1
Bashan, Y., de-Bashan, L. E., Prabhu, S. R. & Hernandez, J. P. Advances in plant growth-promoting bacterial inoculant technology: formulations and practical perspectives (1998–2013). Plant. Soil. 378, 1–33. https://doi.org/10.1007/s11104-013-1956-x (2014).
Foster, K. R. & Bell, T. Competition, not cooperation, dominates interactions among culturable microbial species. Curr. Biol. 22, 1845–1850. https://doi.org/10.1016/j.cub.2012.08.005 (2012).
Freilich, S. et al. Competitive and cooperative metabolic interactions in bacterial communities. Nat. Commun. 2, 589. https://doi.org/10.1038/ncomms1597 (2011).
Li, Q. et al. Isolation of a novel Bacillus subtilis HF1 strain that is rich in lipopeptide homologs and has strong effects on the resistance of plant fungi and growth improvement of broilers. Front. Microbiol. 15, 1433598. https://doi.org/10.3389/fmicb.2024.1433598 (2024).
Mehlferber, E. C. et al. A cross-systems primer for synthetic microbial communities. Nat. Microbiol. 9, 2765–2773. https://doi.org/10.1038/s41564-024-01827-2 (2024).
Bai, Y. et al. Functional overlap of the Arabidopsis leaf and root microbiota. Nature 528, 364–369. https://doi.org/10.1038/nature16192 (2015).
Jeong, S., Kim, T. M., Choi, B., Kim, Y. & Kim, E. Invasive Lactuca serriola seeds contain endophytic bacteria that contribute to drought tolerance. Sci. Rep. 11, 13307. https://doi.org/10.1038/s41598-021-92706-x (2021).
Chadha, A. & Florentine, S. Biology, ecology, distribution and control of the invasive weed, Lactuca serriola L. (wild lettuce): a global review. Plants 10, 2157. https://doi.org/10.3390/plants10102157 (2021).
Hooftman, D. A. P., Oostermeijer, J. G. B. & den Nijs, J. C. M. Invasive behaviour of Lactuca serriola (Asteraceae) in the Netherlands: spatial distribution and ecological amplitude. Basic Appl. Ecol. 7, 507–519. https://doi.org/10.1016/j.baae.2005.12.006 (2006).
Olsen, S. R., Cole, C. V., Watanabe, F. S. & Dean, L. A. Estimation of available phosphorus in soils by extraction with sodium bicarbonate (US Government Printing Office, 1954).
Braun, S. et al. Assessing the ability of soil tests to estimate labile phosphorus in agricultural soils: Evidence from isotopic exchange. Geoderma 337, 350–358 (2019).
Kaleh, A. M., Singh, P., Ooi Chua, K. & Harikrishna, J. A. Modulation of plant transcription factors and priming of stress tolerance by plant growth-promoting bacteria: a systematic review. Ann. Botany. 135, 387–402 (2025).
Conrath, U. et al. Priming: getting ready for battle. Mol. Plant Microbe Interact. 19, 1062–1071 (2006).
Beckers, G. J. & Conrath, U. Priming for stress resistance: from the lab to the field. Curr. Opin. Plant. Biol. 10, 425–431 (2007).
Mao, J. et al. Rhizobium inoculation improves yield advantages and soil Olsen phosphorus by enhancing interspecific facilitation in intercropping. Plant. Soil. 506, 359–373 (2025).
Ahemad, M. & Kibret, M. Mechanisms and applications of plant growth promoting rhizobacteria: current perspective. J. King Saud University-Science. 26, 1–20. https://doi.org/10.1016/j.jksus.2013.05.001 (2014).
Beneduzi, A., Ambrosini, A. & Passaglia, L. M. P. Plant growth-promoting rhizobacteria (PGPR): their potential as antagonists and biocontrol agents. Genet. Mol. Biology. 35, 1044–1051. https://doi.org/10.1590/S1415-47572012000600020 (2012).
Vacheron, J. et al. Plant growth-promoting rhizobacteria and root system functioning. Front. Plant Sci. 4, 356. https://doi.org/10.3389/fpls.2013.00356 (2013).
Jacoby, R., Peukert, M., Succurro, A., Koprivova, A. & Kopriva, S. The role of soil microorganisms in plant mineral nutrition-current knowledge and future directions. Front. Plant Sci. 8, 1617. https://doi.org/10.3389/fpls.2017.01617 (2017).
Morel, C., Plénet, D. & Mollier, A. Calibration of maize phosphorus status by plant-available soil P assessed by common and process-based approaches. Is it soil-specific or not? Eur. J. Agron. 122, 126174 (2021).
Varga, T. et al. Endophyte-promoted phosphorus solubilization in Populus. Front. Plant Sci. 11, 567918 (2020).
Bashan, Y., Kamnev, A. A. & de-Bashan, L. E. Tricalcium phosphate is inappropriate as a universal selection factor for isolating and testing phosphate-solubilizing bacteria that enhance plant growth: a proposal for an alternative procedure. Biol. Fertil. Soils. 49, 465–479 (2013).
Sherpa, M. T., Sharma, L., Bag, N. & Das, S. Isolation, characterization, and evaluation of native rhizobacterial consortia developed from the rhizosphere of rice grown in organic state Sikkim, India, and their effect on plant growth. Front. Microbiol. 12, 713660. https://doi.org/10.3389/fmicb.2021.713660 (2021).
Kour, D. et al. Potassium solubilizing and mobilizing microbes: Biodiversity, mechanisms of solubilization, and biotechnological implication for alleviations of abiotic stress in New and future developments in microbial biotechnology and bioengineering (eds. Rastegari, A. A., Yadav, A. N. & Yadav, N.) 177-202 (Elsevier, 2020).
Großkopf, T. & Soyer, O. S. Synthetic microbial communities. Curr. Opin. Microbiol. 18, 72–77. https://doi.org/10.1016/j.mib.2014.02.002 (2014).
Vishwakarma, K. et al. Revisiting plant-microbe interactions and microbial consortia application for enhancing sustainable agriculture: a review. Front. Microbiol. 11, 560406. https://doi.org/10.3389/fmicb.2020.560406 (2020).
Liao, C., Wang, T., Maslov, S. & Xavier, J. B. Modeling microbial cross-feeding at intermediate scale portrays community dynamics and species coexistence. PLoS Comput. Biol. 16, e1008135. https://doi.org/10.1371/journal.pcbi.1008135 (2020).
Roell, G. W. et al. Engineering microbial consortia by division of labor. Microb. Cell. Fact. 18, 35. https://doi.org/10.1186/s12934-019-1083-3 (2019).
Santoyo, G. et al. Plant growth stimulation by microbial consortia. Agronomy 11, 219. https://doi.org/10.3390/agronomy11020219 (2021).
Singh, A. et al. Enhancing plant growth promoting rhizobacterial activities through consortium exposure: a review. Front. Bioeng. Biotechnol. 11, 1099999. https://doi.org/10.3389/fbioe.2023.1099999 (2023).
Yu, X., Liu, X., Zhu, T. H., Liu, G. H. & Mao, C. Isolation and characterization of phosphate-solubilizing bacteria from walnut and their effect on growth and phosphorus mobilization. Biol. Fertil. Soils. 47, 437–446. https://doi.org/10.1007/s00374-011-0548-2 (2011).
Braz, R. R. & Nahas, E. Synergistic action of both Aspergillus niger and Burkholderia cepacea in co-culture increases phosphate solubilization in growth medium. FEMS Microbiol. Lett. 332, 84–90. https://doi.org/10.1111/j.1574-6968.2012.02580.x (2012).
Fitriatin, B. N., Mulyani, O., Herdiyantoro, D., Alahmadi, T. A. & Pellegrini, M. Metabolic characterization of phosphate solubilizing microorganisms and their role in improving soil phosphate solubility, yield of upland rice (Oryza sativa L.), and phosphorus fertilizers efficiency. Front. Sustainable Food Syst. 6, 1032708. https://doi.org/10.3389/fsufs.2022.1032708 (2022).
Borer, B., Ciccarese, D., Johnson, D. & Or, D. Spatial organization in microbial range expansion emerges from trophic dependencies and successful lineages. Commun. biology. 3, 685. https://doi.org/10.1038/s42003-020-01409-y (2020).
Mitri, S., Clarke, E. & Foster, K. R. Resource limitation drives spatial organization in microbial groups. ISME J. 10, 1471–1482. https://doi.org/10.1038/ismej.2015.208 (2016).
Wang, X. et al. Microbial carbon and phosphorus metabolism regulated by C:N:P stoichiometry stimulates organic carbon accumulation in agricultural soils. Soil Tillage. Res. 242 https://doi.org/10.1016/j.still.2024.106152 (2024).
Mou, Z. et al. Nutrient availability and stoichiometry mediate microbial effects on soil carbon sequestration in tropical forests. Soil Biol. Biochem. 186. https://doi.org/10.1016/j.soilbio.2023.109186 (2023).
Spohn, M. & Kuzyakov, Y. Phosphorus mineralization can be driven by microbial need for carbon. Soil Biol. Biochem. 61, 69–75. https://doi.org/10.1016/j.soilbio.2013.02.013 (2013).
Richardson, A. E. et al. Plant and microbial strategies to improve the phosphorus efficiency of agriculture. Plant. Soil. 349, 121–156. https://doi.org/10.1007/s11104-011-0950-4 (2011).
Chen, C. R., Condron, L. M., Davis, M. R. & Sherlock, R. R. Phosphorus dynamics in the rhizosphere of perennial ryegrass (Lolium perenne L.) and radiata pine (Pinus radiata D. Don). Soil Biol. Biochem. 34, 487–499. https://doi.org/10.1016/S0038-0717(01)00207-3 (2002).
Veneklaas, E. J. et al. Opportunities for improving phosphorus-use efficiency in crop plants. New Phytol. 195, 306–320. https://doi.org/10.1111/j.1469-8137.2012.04190.x (2012).
Rao, I. M. & Terry, N. Leaf phosphate status, photosynthesis, and carbon partitioning in sugar beet: I. changes in growth, gas exchange, and Calvin cycle enzymes. Plant Physiol. 90, 814–819. https://doi.org/10.1104/pp.90.3.814 (1989).
Schillaci, M. et al. Time-resolution of the shoot and root growth of the model cereal Brachypodium in response to inoculation with Azospirillum bacteria at low phosphorus and temperature. Plant. Growth Regul. 93, 149–162. https://doi.org/10.1007/s10725-020-00675-4 (2020).
Oteino, N. et al. Plant growth promotion induced by phosphate solubilizing endophytic Pseudomonas isolates. Front. Microbiol. 6, 745. https://doi.org/10.3389/fmicb.2015.00745 (2015).
Nautiyal, C. S. An efficient microbiological growth medium for screening phosphate solubilizing microorganisms. FEMS Microbiol. Lett. 170, 265–270. https://doi.org/10.1016/s0378-1097(98)00555-2 (1999).
Penrose, D. M. & Glick, B. R. Methods for isolating and characterizing ACC deaminase-containing plant growth-promoting rhizobacteria. Physiol. Plant. 118, 10–15. https://doi.org/10.1034/j.1399-3054.2003.00086.x (2003).
Vega-Celedón, P. et al. Microbial diversity of psychrotolerant bacteria isolated from wild flora of Andes Mountains and Patagonia of Chile towards the selection of plant growth-promoting bacterial consortia to alleviate cold stress in plants. Microorganisms 9, 538. https://doi.org/10.3390/microorganisms9030538 (2021).
Patten, C. L. & Glick, B. R. Role of Pseudomonas putida indoleacetic acid in development of the host plant root system. Appl. Environ. Microbiol. 68, 3795–3801. https://doi.org/10.1128/aem.68.8.3795-3801.2002 (2002).
Barra, P. J. et al. Formulation of bacterial consortia from avocado (Persea americana Mill.) and their effect on growth, biomass and superoxide dismutase activity of wheat seedlings under salt stress. Appl. Soil. Ecol. 102, 80–91. https://doi.org/10.1016/j.apsoil.2016.02.014 (2016).
Schwyn, B. & Neilands, J. B. Universal chemical assay for the detection and determination of siderophores. Anal. Biochem. 160, 47–56. https://doi.org/10.1016/0003-2697(87)90612-9 (1987).
Zasoski, R. J. & Burau, R. G. A rapid nitric-perchloric acid digestion method for multi‐element tissue analysis. Commun. Soil Sci. Plant Anal. 8, 425–436. https://doi.org/10.1080/00103627709366735 (1977).
Walkley, A. & Black, I. A. An examination of the Degtjareff method for determining soil organic matter, and a proposed modification of the chromic acid titration method. Soil Sci. 37, 29–38. https://doi.org/10.1097/00010694-193401000-00003 (1934).
Rural Development Administration. Methods of Soil Chemical Administration. Report No. 11-1390802-000282-01 (Rural Development Administration, 2010).
Acknowledgements
The authors thank Dr. Hor-Gil Hur, Dr. Jiyoung Lee, and Dr. Tae-Young Kim for their insightful comments.
Funding
This research was supported by the National Research Foundation of Korea (NRF) grant funded by the Korean government (MSIT) (RS-2024-00456189, RS-2025-00558787).
Author information
Authors and Affiliations
Contributions
T-M.K. and E.K.: Conceptualization; T-M.K., S.J., B.C., and Y.K.: Methodology and investigation; T-M.K.: Analysis and writing; E.K.: Resources and supervision; T-M.K.: Writing-original draft; T-M.K. and E.K: Writing-review and editing. All the authors read and approved the final manuscript.
Corresponding author
Ethics declarations
Competing interests
The authors declare no competing interests.
Additional information
Publisher’s note
Springer Nature remains neutral with regard to jurisdictional claims in published maps and institutional affiliations.
Supplementary Information
Below is the link to the electronic supplementary material.
Rights and permissions
Open Access This article is licensed under a Creative Commons Attribution-NonCommercial-NoDerivatives 4.0 International License, which permits any non-commercial use, sharing, distribution and reproduction in any medium or format, as long as you give appropriate credit to the original author(s) and the source, provide a link to the Creative Commons licence, and indicate if you modified the licensed material. You do not have permission under this licence to share adapted material derived from this article or parts of it. The images or other third party material in this article are included in the article’s Creative Commons licence, unless indicated otherwise in a credit line to the material. If material is not included in the article’s Creative Commons licence and your intended use is not permitted by statutory regulation or exceeds the permitted use, you will need to obtain permission directly from the copyright holder. To view a copy of this licence, visit http://creativecommons.org/licenses/by-nc-nd/4.0/.
About this article
Cite this article
Kim, TM., Jeong, S., Choi, B. et al. Seed endophytic bacteria from invasive Lactuca serriola increase soil available phosphorus under phosphorus deficiency. Sci Rep 16, 8748 (2026). https://doi.org/10.1038/s41598-026-40933-5
Received:
Accepted:
Published:
Version of record:
DOI: https://doi.org/10.1038/s41598-026-40933-5



