Abstract
This study introduces a sustainable and cost-efficient approach for developing multifunctional composite insulators designed for electromagnetic wave (EMW) shielding in the X-band (8.2–12.4 GHz) and thermal insulation. The proposed materials target applications as exterior building coatings with combined thermal, moisture-resistant, and electromagnetic protective capabilities. The composites were fabricated using recycled polystyrene (PS) as the polymer matrix and a copper–nickel metal–organic framework (Cu-Ni MOF) grown in situ on porous carbon (POC) derived from waste polyethylene terephthalate (PET). Sample preparation was carried out via the solution-casting technique using the green solvent of D-Limonene, with varying filler loadings of 2, 5, 8, and 15 wt%. The highest shielding effectiveness was obtained approximately 42 dB for the composite containing15 wt% Cu-Ni-MOF at only 2 mm thickness, corresponding to 99.94% attenuation of incident EMW radiation. For this sample, thermal conductivity was measured 0.132 W·m− 1·K− 1 at 30 °C which is 27.5% lower than that of pure polystyrene (0.182 W. m⁻¹. K⁻¹)—demonstrating enhanced thermal insulation. These findings underline the potential of PS/Cu-Ni MOF/POC composites as environmentally friendly, versatile materials for energy-efficient and EM-shielding architectural applications.
Introduction
The increasing consumption of plastics, such polystyrene (PS), polyethylene terephthalate (PET) and polyethylene (PE) results in the accumulation of a large volume of polymer waste in the environment1. Improper management of these wastes has led to increasing environmental concerns and has become one of the serious challenges of the current century1,2. According to statistics, global PS consumption in 2022 was estimated at about 11 million tons, remaining on an upward trend3,4.
Currently, the recycling of many high-value polymers faces significant economic and technical challenges, often due to the use of toxic and costly solvents, low process efficiency, and unwanted degradation of polymer chains during reprocessing4,5. In response to this challenge, converting polymer waste into high-value materials can not only help reduce environmental impacts but also pave the way for the production of advanced materials with specific functions4. Meanwhile, a major obstacle to the development of green recycling processes is the limited solubility of many polymers in green and cost-effective solvents. Furthermore, although green solvents have been proposed as safe and sustainable alternatives, these technologies are still in the early stages of development6.
Alongside this environmental challenge, today’s world is also facing a growing problem: increased electromagnetic pollution resulting from the rapid expansion of wireless technologies, mobile phones, telecommunications equipment, and internet networks7. These waves may not only disrupt the performance of sensitive electronic equipment but also have harmful effects on human health if exposure is prolonged7,8. Conventional coatings and shielding materials for absorbing electromagnetic waves are often expensive or environmentally unfriendly. Temporarily, the demand for effective, lightweight, inexpensive, and sustainable absorbing materials has received increasing attention9.
In this context, the combination of two of today’s most pressing challenges—namely, managing polymer waste and combating electromagnetic pollution—has created a unique opportunity to develop technological and sustainable solutions. In this regard, the use of recycled polymers to produce new nanocomposites capable of absorbing waves is considered an efficient approach10. The use of metal–organic frameworks (MOFs) as active adsorbents is one of the innovative approaches in this context. In recent years, MOFs have gained a prominent role in various fields, such as adsorption, energy storage, and more, due to their porous structure, high specific surface area, and structural tunability10,11,12. However, their development faces challenges because of the low electrical conductivity and reliance on complex and expensive organic ligands13.
To overcome these limitations, various strategies have been proposed, including the combination of MOFs with materials such as carbon nanotubes (CNTs), graphene oxide (GO), and conductive polymers8,9. Moreover, the synthesis of multi-metallic MOFs and doping with ions such as Ni, Mn, and Al enhances electronic coupling between metal nodes and significantly improves conductivity10. However, one of the major challenges in using MOFs is the high cost of the ligands employed in their synthesis, which are often not cost-effective10.
In this regard, the use of simple and readily available ligands, such as 1,4-benzenedicarboxylic acid (terephthalic acid) extracted from the recycling of PET, can be considered an effective solution to reduce both production costs and enhance the industrial potential of MOFs11. From an environmental perspective, this approach also provides a sustainable pathway for the reuse of waste PET (WPET) and helps prevent its further accumulation in nature.
Following this approach, extensive research has been conducted on the preparation of electromagnetic-wave-shielding coatings based on PS14,15,16,17. Accordingly, a group of researchers investigated the thermal and electromagnetic performance of these materials by preparing polystyrene microsphere-based (PSMS) nanocomposites and combining them with multi-walled carbon nanotubes (MWCNTs) and polyaniline (PANI). The results showed that the PSMS/PANI/MWCNT nanocomposite exhibits an electromagnetic interference shielding effectiveness of approximately 23.2 dB18. In 2020, a group of researchers designed a flexible PANI-based composite paper with electromagnetic interference (EMI) shielding properties to address the flexibility challenge of polyaniline (PANI). In this study, porous PET fibers were used as a framework, and a thin layer of PANI was polymerized in situ on them. This structure demonstrated EMI shielding effectiveness (EMI SE) of up to 23.95 dB at a thickness of only 0.29 mm, and its high flexural durability was attributed to the strong interfacial bonding and porous design19. A research team investigated the properties of PS-based nanocomposites by synthesizing graphene through the catalytic reduction of carbon dioxide (dry ice) in the presence of a magnesium flame and nickel and zinc metals, and by preparing multi-walled carbon nanotubes (MWCNTs) from Pongamia oil via chemical vapor deposition (CVD). The results showed that the PS/graphene nanocomposite with 10 wt% graphene exhibited an electrical conductivity of approximately 7.07 S/cm and an EMI SE of 31 dB, which was remarkable to that of the PS/MWCNT samples20. Next, other researchers prepared PS/single-walled carbon nanotube (SWCNT) nanocomposites at concentrations of 0.1, 2, and 5 wt% and investigated their performance in the X-band frequency range (8.2–12.4 GHz). The results disclosed that with increasing the content of SWCNT, EMI SE increased significantly from 3 to 16 dB for the sample with 0.1 and 5 wt% SWCNT, respectively. This improvement was mainly attributed to the high electrical conductivity, high dielectric loss, and multiple reflections caused by the nanoscale fillers21.
This research aims to develop both green and multifunctional insulators for external building shields providing simultaneous moisture resistant cover, thermal and electromagnetic insulation. The novelty of this work lies in the integration of recycled materials. To achieve this aim, waste polystyrene (WPS) was selected as a polymer matrix, and a Cu-Ni bimetallic metal–organic framework (MOF) was prepared using terephthalic acid obtained from recycled PET, which not only reduces the cost but also promotes efficient waste utilization. The MOF was subsequently grown on porous carbon (POC) derived from PET for improving its surface area. The final nanocomposite was fabricated via solution casting using the green solvent of D-Limonene, ensuring an eco-friendly and cost-effective process. This approach demonstrates a practical and scalable strategy for producing high-performance, multifunctional materials suitable for building exterior applications, highlighting environmental significance.
Experimental section
Synthesis of 1,4-benzenedicarboxylic acid (terephthalic acid) from PET recycling
First, waste PET (WPET) bottles were collected from single-use water and beverage containers, and after washing and drying, were cut into small pieces. Next, 5 g of PET pieces were placed in a Teflon-coated stainless-steel autoclave along with 10 mL of ethylene glycol (EG) (manufactured by Dr. Mojallaly Company) and 100 mL of water, and heated to 210 °C for 8 h to carry out the hydrolysis process22. After the reaction, the product was centrifuged, washed twice with ethanol, and dried in an oven at 80 °C for 12 h. The obtained product is terephthalic acid in the form of white powder22.
Preparation of POC from WPET
After washing, drying, and grinding of collected disposable PET bottles to a particle size of 4–5 mm, the carbonization process was conducted at 700 °C for 2 h under a 99.9% Argon atmosphere with a heating rate of 10 °C/min. KOH was used in a 1:4 ratio for activation, and after drying at 105 °C, the samples were heated again at 800 °C for 2 h under Argon flow. The final product was washed with 1 M HCl solution (manufactured by Dr. Mojalali Company) and distilled water, and then dried at 120 °C23.
In situ synthesis of Cu-Ni MOF on POC substrate derived from recycled PET
To synthesize the Cu-Ni bimetallic MOF, 0.25 g of nickel nitrate hexahydrate (Merck, Germany) was first stirred with 0.414 g of p-benzenedicarboxylic acid derived from PET waste and 1.44 g of copper nitrate trihydrate (Merck, Germany) in 50 mL of N, N-dimethylformamide (DMF) (Dr. Mojallaly Company). Then, 0.2 g of POC prepared in the previous step was gradually added to the solution and uniformly dispersed using ultrasonication for 30 min. Afterward, 0.14 g of NaOH (Merck, Germany) was dissolved in 5 mL of distilled water and added dropwise to the mixture. The mixture was heated at 100 °C for 8 h in a Teflon-lined 80 mL autoclave. After the reaction, the blue-green precipitate was centrifuged, thoroughly washed with DMF and ethanol, and dried in an oven at 80 °C for 12 h. The resulting product consisted of MOF grown on a POC substrate24.
Extraction of d-limonene as a green solvent from orange peel by steam distillation
To extract D-Limonene, approximately 100 g of orange peel was thinly sliced and chopped into small pieces. The chopped peel was then transferred into a round-bottom flask, and about 300 mL of distilled water was added. The distillation system was assembled, and the mixture of orange peel and water was moderately heated until the steam released the volatile essential oils from the peel and carried them over during distillation. At the distillation outlet, the collected liquid consisted of two phases: an aqueous phase and an oily layer, which contained the D-Limonene. Using a separatory funnel, the oily layer was separated from the aqueous phase and collected in a vial. To remove any remaining water, a small amount of anhydrous sodium sulfate was added to the D-Limonene and stirred for a few minutes. The solution was then filtered, and the dry D-Limonene was stored in a clean, capped glass container25.
Preparation of PS/Cu-Ni MOF nanocomposite insulator by solution casting method
Initially, WPS was completely dissolved in the extracted D-Limonene green solvent at 90 °C to obtain a uniform polymer solution. After ensuring complete dissolution of the polymer, the previously synthesized (Cu-Ni/POC MOF) fillers were separately added to the polymer solution at four different weight percentages: 2, 5, 8, and 15%. Then, each of these mixtures was subjected to ultrasonication (Topsonics 20 kHz, 200 W) at a power of 20 watts for 7 min to achieve uniform distribution and proper dispersion of the particles in the polymer solution. Next, the nanocomposite deposition process was carried out using the solution casting method, in which the polymer solution containing the nanoparticles was poured dropwise into methanol (antisolvent) using a pipette. This resulted in coagulation and the formation of composite precipitates, which were collected from the antisolvent medium and dried in an oven at 60 °C for 3 h. Finally, a hot press was used to mold and prepare the samples. The specimens were molded at 160 °C under a pressure of 3 tons in the dimensions of 22.86 × 10.86 mm. According to the supplier data sheet, the molecular weight (Mw) of PET bottle-grade (820- Tondguyan Petrochemical Co.) and PS (Polynar Petrochemical Co.) are 20,000 and 280,000 g/mol, respectively. In Fig. 1, the scheme of the preparation steps for fillers and nanocomposite is displayed. In Table 1, nanocomposite insulators with different weight percentages, along with the code for each sample, are presented.
Scheme of the steps for preparing Terephthalic acid and Cu-Ni MOF on POC and PS/Cu-Ni/POC MOF nanocomposite using the solution casting method.
Characterization
The morphology of the Cu-Ni and PS/Cu-Ni MOF composite was investigated separately using a field emission scanning electron microscopy (FESEM-MIRA3 TESCAN) after coating the samples with a thin layer of gold by sputtering (NanoStructured Coatings Co. DSCT-300). The microstructure of the POC phase plates and the PS/Cu-Ni MOF composite was analyzed using an X-ray diffractometer (XRD, Tongda model TD-3700, China) over a 2θ range of 10–60°. FT-IR spectroscopy (TENSOR 27 spectrometer, Bruker, Germany) was employed to characterize the functional groups and verify the successful formation of the synthesized composites. The thermal conductivity of the prepared composite insulators was measured using a solid thermal conductivity tester (homemade AKG400) in accordance with ASTM D547026.
The density of nanocomposite samples was measured according to ASTM D792 and ISO 1183-1 standards. Thermal gravimetric analysis (TGA) of the samples was conducted to determine their degradation temperatures. The analysis was performed using a Mettler Toledo TGA instrument (Switzerland) at a heating rate of 10 °C/min under a nitrogen (N₂) atmosphere, over a temperature range of 50–700 °C. The NMR spectra were recorded using a 250 MHz NMR spectrometer (Bruker Avance III, Germany). Tensile and flexural tests were performed to evaluate the mechanical properties of the prepared specimens.
Environmental durability is a crucial requirement for polymeric composites intended for outdoor applications, where prolonged exposure to moisture environments can significantly affect structural and functional performance. Therefore, water absorption behavior was determined by ASTM D570 tests.
Mechanical stability is another important factor regarding the outdoor applications of prepared composites as these materials must withstand environmental loads, handling, and long-term service conditions without failure, therefore, the structural integrity of the developed composites, tensile, flexural and hardness tests were performed. Tensile testing was carried out using a Spiko two-column universal testing machine (Iran) with a maximum load capacity of 10 tons, at a crosshead speed of 5 mm/min, in accordance with ASTM D638. Flexural tests were conducted following ASTM D7264. The hardness of the samples was measured using the Vickers microhardness method by Sinowon Manual (MHV-1000). Subsequently, flexural tests were also performed on the samples, and the results were consistent with those obtained from the stress–strain curves.
Fire safety is a key parameter for polymeric materials intended for building and insulation applications. Thus, flammability evaluation was performed using the UL-94 vertical burning test standard.
(SEA) (SER) 27.
Investigation of electromagnetic interference shielding effectiveness
Electromagnetic interference (EMI) shielding effectiveness (SE) describes the ability of a material to attenuate incident electromagnetic waves (EMWs). It is defined as the logarithmic ratio between the incident power Pi and the transmitted power Pt, expressed in decibels (dB) as follows:[27]
According to the classical Schelkunoff theory, the total shielding effectiveness can be decomposed into three physically distinct contributions: reflection loss (SER), absorption loss (SEA), and multiple reflection loss (SEM) [27]:
Absorption loss
The attenuation of EMWs inside a shielding material is governed by the propagation constant \(\gamma\), defined as:
where \(\omega = 2 \pi f\), \(\mu\)is the magnetic permeability, \(\sigma\)is the electrical conductivity, and \(\epsilon={\epsilon}^{{\prime}}-j{\epsilon}^{{\prime}{\prime}}\)is the complex permittivity.
The electric field inside a material of thickness \(t\)decays exponentially as:
Thus, the absorption loss is given by:
Reflection loss
Reflection occurs due to the impedance mismatch between free space and the shielding material. The intrinsic impedance of a material is expressed as:
The reflection coefficient at the air–material interface is:
where \({\eta}_{0}\)is the intrinsic impedance of free space.
Multiple reflection loss
When the material thickness is comparable to or smaller than the skin depth, multiple internal reflections may contribute to shielding effectiveness. The transmitted electric field considering multiple reflections is given by:
Accordingly, the multiple reflection loss term can be expressed as:
For sufficiently thick or highly lossy materials, the term \({e}^{-2 \gamma t}\)approaches zero, and therefore \(S{E}_{M}\) can be neglected.
Calculation theory based on S-parameters
In practical measurements, EMI shielding effectiveness is often evaluated using S-parameters obtained from a vector network analyzer (VNA). The power transmission and reflection coefficients are defined as:
The power conservation relation is:
Based on Calculation theory, the total shielding effectiveness can be expressed as:
which can be decomposed into reflection and absorption terms as:
where
It should be emphasized that \(S{E}_{R}^{{\prime}}\)and \(S{E}_{A}^{{\prime}}\), derived from Calculation theory, are not equivalent to the physically defined reflection loss \(S{E}_{R}\)and absorption loss \(S{E}_{A}\)in Schelkunoff theory, although they may exhibit similar numerical values under certain conditions.
Dielectric loss contribution
The effective electrical conductivity associated with dielectric loss can be expressed as:
where \({\epsilon}_{0}\)is the permittivity of free space and \({\epsilon}^{{\prime}{\prime}}\)is the imaginary part of the complex permittivity.
Results and discussion
Structural characterization of synthesized terephthalic acid using 1H-NMR
The chemical structure and purity of the synthesized terephthalic acid were confirmed using ¹H NMR spectroscopy, as shown in Fig. 2. The ¹H NMR spectrum of the extracted terephthalic acid, recorded at 250 MHz in DMSO‑d₆, displays a single sharp singlet at a chemical shift of 8.010 ppm, which is definitively assigned to the four magnetically equivalent aromatic protons of the symmetrical benzene ring. This downfield shift, relative to simple aromatic protons, is characteristic and results from the strong electron-withdrawing effect of the two para‑carboxylic acid groups. The absence of any extraneous signals in the aliphatic or other aromatic regions confirms the high chemical purity of the compound. The spectral simplicity directly validates the successful derivation and purification of the terephthalic acid ligand from recycled WPET, a critical prerequisite for the subsequent synthesis of a well-defined and structurally ordered Cu-Ni metal-organic framework (MOF). This confirmed purity ensures the formation of a MOF with a regular crystalline architecture22.
¹H NMR spectrum of the synthesized terephthalic acid.
Microscopic analysis of POC and Cu-Ni MOF grown on porous carbon
Figure 3 shows SEM images of POC, the Cu-Ni MOF, and the MOF grown on a POC substrate. Micrographs (Fig. 3a and b) show a porous structure at the microscale, characterized by numerous interconnected pores. This structural formation is attributed to the activation process of POC, in which KOH not only reacts with the materials on the carbon surface but also penetrates its internal structure, leading to the formation of a porous network24. Figure 3c and d show the structure of the synthesized Cu-Ni MOF in the absence of any carbon substrate. In image 2c, the regular, blade-shaped crystal planes with sharp, compact edges are clearly visible. The morphology of the Cu-MOF structures confirms the presence of high crystal order and directional growth. The presence of nickel ions in the structure not only did not hinder crystal growth but also accommodated it within the MOF without causing any disruption24.
In image Fig. 3d, the same blade-like structure, shown in a wider view, exhibits a uniform distribution of plates on the sample surface. This structural uniformity confirms the successful and homogeneous synthesis of the Cu-Ni MOF and directly indicates the free growth of MOF crystals in the reaction medium. In images 3e and f, the distinct change in the material’s morphology indicates the presence of a porous carbon substrate during the synthesis process. In contrast to the lamellar and crystalline structure of the pure sample, a highly dense and nested structure is observed in these images, suggesting the non-directional and multi-point growth of the MOF on the carbon surface. This striking morphological difference strongly supports the absence of free growth in the solution phase and the growth and nucleation of MOF nuclei at multiple points on the carbon surface24.
This type of heterogeneous nucleation is a key feature of syntheses carried out on porous solid supports. As a result, the presence of a carbon substrate has disrupted the growth of MOF crystals, leading to a denser structure with a higher specific surface area24. Additionally, in (Fig. 3e and f), the uniform dispersion of MOF clusters across the surface designates a proper distribution of active sites on the carbon substrate and the successful attachment of the MOF to its surface. This is of great practical value, as increasing the contact area and expanding the porous structure can enhance performance in EM waves absorption28.
FE-SEM micrographs of synthesized materials: morphology of (a, b) POC (c, d) pure Cu-Ni MOF, and (e, f) Cu-Ni MOF grown on POC.
Energy dispersive X-ray analysis
Figure 4, shows the elemental distribution maps of the Cu-Ni MOF and Cu-Ni/POC MOF samples to investigate the uniformity of their constituent elements obtained from energy dispersive X-ray (EDS). In Fig. 4a, the elemental maps of the pure Cu-Ni MOF sample are presented. The uniform distribution of copper (Cu) and nickel (Ni), along with oxygen (O) and carbon (C), indicates the stability of the MOF structure and the homogeneous dispersion of the elements. The uniform presence of Ni across the entire surface of the sample confirms its incorporation into the crystal structure, although its density is lower than that of Cu.
In Fig. 4b, the elemental map of the Cu-Ni MOF grown on POC is shown. The higher concentration of carbon compared to the pure sample indicates the presence of a carbon substrate. Additionally, the uniform distribution of Cu and Ni along the carbon substrate clearly demonstrates that the MOF synthesis was successfully carried out on the carbon surface. In Fig. 5, the EDS spectrum of the Cu-Ni/POC MOF sample shows the presence of four main elements C, O, Cu, and Ni in the MOF structure.
According to the weight table obtained from the spectrograph, Cu has the highest contribution at 54.55 wt%, which is fully consistent with the nature of the Cu-MOF. The high percentage of Cu in the EDS results confirms the dominant structure of the Cu-MOF with partial reinforcement by Ni24. In the elemental mapping, Cu is densely distributed throughout the sample, confirming the accuracy of this dominant composition. Ni is present at 0.93 wt%, which seems negligible but effective amount for enhancing the magnetic properties of the material24. This small amount is likely incorporated as minor doping into the Cu-MOF structure, without noticeably affecting the crystal shape or order; as seen in the SEM images, the blade-like morphology is still preserved. The relatively high carbon content (27.98%) can be attributed to the presence of organic ligands and POC24. In the elemental mapping images of carbon, the uniform distribution confirms that the organic ligands are well dispersed throughout the structure and effectively coordinated with the metals.
Oxygen plays a key role in the structure, comprising 15.5 wt%. In MOFs, oxygen acts as a bridge between the metal and the ligand through coordination bonds such as Cu–O and Ni–O. The significant amount of oxygen detected in EDS proves that the metal–organic framework is well formed and that metal–oxygen bonds are existing in the structure24. In the oxygen elemental map, the uniform distribution of this element on the sample surface further approves the structural uniformity and the successful synthesis of the MOF.
Elemental distribution map of C, O, Ni and Cu elements: (a) Pure Cu-Ni MOF (b) Cu-Ni MOF grown on POC.
EDS spectrum of Cu-Ni MOF grown on POC.
BET analysis of POC and Cu-Ni bimetallic MOF
Figure 6, shows the nitrogen adsorption–desorption plots (a) and pore size distributions (b) for the Cu-Ni MOF and Cu-Ni/POC MOF samples. As shown in plot (a), both samples exhibit type IV isotherms, indicating the presence of a mesoporous structure. However, the Cu-Ni/POC MOF sample exhibits a larger nitrogen adsorption volume than the Cu-Ni MOF across the entire range of partial pressures, indicated an increase in specific surface area and total pore volume due to the presence of POC29. In the Cu-Ni/POC MOF sample, a substantial increase in nitrogen adsorption is observed at higher relative pressures (P/P₀ > 0.8), which can be attributed to the presence of larger mesopores or macropores. This feature can enhance mass transfer and provide a greater active surface area for adsorption24. Graph (b) shows the pore size distribution in terms of pore radius using the BJH model. In both samples, the largest contribution to porosity comes from pores smaller than 5 nm, showing the dominance of micro- and mesopores29.
However, the Cu-Ni/POC MOF sample contains a wider variety of pore sizes and broader pore size distribution (from micro- to mesoporous) than the Cu-Ni MOF, reflecting a more porous and heterogeneous structure. According to the SEM images in Fig. 6b, the Cu–Ni MOF sample were formed a bladed and compact structure, whereas the Cu-Ni/POC MOF sample have a porous and interconnected structure with visible pores, demonstrating the effective incorporation of POC. These differences suggest that the use of recycled POC as a framework has increased the specific surface area and pore volume. The quantitative BET surface area and pore structure parameters of the Cu-Ni MOF and the Cu-Ni/POC MOF composite are tabulated in Table 2.
Nitrogen adsorption - desorption isotherms (BET) and pore size distribution (BJH) plots for Cu-Ni MOF and Cu-Ni/POC MOF samples.
Microscopic analysis of PS/Cu-Ni/POC MOF nanocomposite
SEM images of the cross-section of the 15 wt% PS/Cu-Ni/POC MOF nanocomposite provide invaluable information about the microstructure and the homogeneity of its constituent components. As shown in Fig. 7 (a–d), the SEM images reveal a dense structure with a relatively uniform dispersion of MOF components within the PS matrix. The Cu-Ni MOF particles appear as irregular clusters well distributed throughout the polymer phase. In addition, the presence of a porous three-dimensional carbon network in the composite structure, by creating continuous pathways and a cauliflower-like morphology, increases permeability and effective contact surface area, thereby contributing to a more uniform distribution of the MOF within the polymer phase.
No observation of interfacial cracks or heterogeneous voids in the cross-section also indicates proper adhesion between the components and a successful dispersion process during synthesis. In addition, to investigate the elemental distribution and uniformity of the PS/Cu-Ni/POC MOF nanocomposite, SEM-EDS and map analyses were performed. The corresponding images in Fig. 8 show the presence of key elements, including carbon (C), oxygen (O), copper (Cu), and nickel (Ni), on the sample surface. The EDS results confirm that the chemical composition of the sample is consistent with the predicted structure, and that Cu and Ni, the central metals of the MOF, can be clearly identified. The map analysis also shows a uniform distribution of these elements across the nanocomposite surface. The high density of carbon in the polymer matrix and the three-dimensional carbon structure reflects the dominance of the organic phase in the composition, while Cu and Ni appear as uniformly distributed dots, translating the regular dispersion of MOF particles in the composite matrix. Oxygen is also detected on the material’s surface due to the presence of carboxylate groups in the MOF structure29. The nonappearance of concentrated areas or intense metal accumulations in the elemental maps confirms the successful and homogeneous dispersion of inorganic components within the organic–carbon phase.
FE-SEM micrographs of PS/Cu-Ni/POC MOF composite (15 wt%): cross-sectional images at different magnifications (a–d) showing the dispersion and morphology of Cu-Ni/POC MOF within the PS matrix.
FE-SEM micrographs of PS/Cu-Ni/POC MOF nanocomposite (P4): (a) elemental mapping of the composite; (b) EDS spectrum confirming the elemental composition.
Density measurement of PS/Cu-Ni/POC MOF nanocomposites
Density measurements were carried out to evaluate the effect of incorporating the carbon-supported Cu-Ni MOF, synthesized from PET-derived ligands, into the recycled PS matrix. As presented in Table 3, pure recycled PS exhibited a density of 1.043 g/cm⁻³. Upon addition of the MOF–carbon filler, a gradual decrease in density was observed with increasing filler content. The density decreased from 1.039 g/cm⁻³ for the composite containing 2 wt% filler (P1) to 1.020 g/cm⁻³ for the sample with 15 wt% filler (P4). This trend can be attributed to the porous structure of the carbon-supported MOF, which introduces micro-voids and increases the overall free volume within the polymer matrix. Despite the presence of metallic components (Cu and Ni), the dominant effect of the POC framework leads to a net reduction in composite density. The reduction in density is a desirable feature for insulation applications, as it contributes to lightweight materials without compromising functional performance. Moreover, the gradual and systematic decrease in density indicates good dispersion of the MOF–carbon filler within the PS, without severe agglomeration or phase separation. Overall, the density results confirm that the incorporation of PET-derived MOF–carbon fillers not only enhance multifunctional properties such as thermal, moisture, and electromagnetic shielding, but also maintain a low-density structure suitable for sustainable and lightweight composite insulator applications.
Analysis from X-ray diffraction (XRD)
The X-ray diffraction (XRD) patterns in Fig. 9, show the structural and crystallinity differences among the synthesized samples: Cu-Ni MOF, Cu-Ni/POC MOF, PS/Cu-Ni MOF, and PS/Cu-Ni/POC MOF (15 wt%). In the XRD pattern of the pure Cu-Ni MOF, the presence of several sharp and distinct peaks at 2θ angles, such as 36.33° and 42.24°, reveals crystalline phases associated with Cu–Ni alloys and the ordered structure of the MOF24. The analysis of the Cu-Ni/POC MOF sample shows that in situ growth on the porous carbon substrate results in a relative decrease in the intensity of the MOF crystalline peaks, which can be attributed to interactions between the MOF and the carbon substrate29. A broad peak around 2θ = 26.40° also confirms the existence of amorphous carbon in the final composition. A low percentage of nickel in the lattice did not have a significant effect on the peak shift, and partial Ni substitution in the Cu-MOF structure was not accompanied by the formation of any new phase. Although no distinct peak shift or new phase was detected in the XRD patterns due to the low Ni content and the similar ionic radii of Cu²⁺ and Ni²⁺, complementary EDS/XPS analyses confirmed the presence of Ni in the composite. This suggests that Ni was incorporated in amounts too low to significantly affect the diffraction pattern. Nevertheless, its main function is to improve the electronic, catalytic, and electromagnetic absorption properties rather than to induce major structural changes. In the Cu-Ni/POC MOF composition, in addition to the aforementioned Cu–Ni peaks, a broad peak at around 2θ ≈ 26.40° is observed, corresponding to the (0 0 2) plane of the graphitic structure of amorphous carbon26, revealing the three-dimensional POC structure is well incorporated into the composite. Furthermore, the relative decrease in the intensity of the Cu-Ni MOF peaks in this sample is attributed to a reduction in crystallinity due to surface interactions between the carbon substrate and the MOF, as well as the heterogeneous growth of crystals on the carbon surface29. This observation is also consistent with the SEM images and the elemental distribution in the EDS analysis. In the PS/Cu-Ni MOF sample, the Cu-Ni crystalline peaks are still detectable but exhibit lower intensity than in the pure MOF. The decrease in crystallinity has led to a reduction in peak intensity and slight broadening, which may be due to the dispersion of POC chains within the MOF network and their effect on crystal growth. This structural change can result in a decrease in network order, reduced regular porosity, and alterations in the surface and electronic properties of the material24. In the PS/Cu-Ni MOF sample, the intensity of the main peaks (36.33° and 42.24°) decreased compared to the pure sample, suggesting a reduction in crystallinity due to the PS adding into the MOF. As a result, the incorporation of the polymer disrupted the crystal order and potentially created a more amorphous structure with altered surface properties24.
In the PS/Cu-Ni/POC MOF composition, the XRD pattern shows very broad peaks with lower intensity. A broad peak is observed between 20° and 30°, clearly demonstrating the amorphous nature of the carbon substrate and the structural disorder caused by the simultaneous presence of polymer and carbon in the structure. Additionally, the peaks at low angles, such as 15.37°, 16.52°, and 19.69°, in the samples containing PS and POC may be attributed to structural interactions between the organic component (PS), POC, and the MOF framework29.
The crystallinity indexes derived from the XRD analysis are summarized in Table 4. revealing a clear dependence of crystalline order on composition. The pure Cu-Ni MOF exhibits a low crystallinity index (3.14%), which slightly increases to 4.41% upon incorporation of the porous carbon (Cu-Ni/POC MOF). This modest increase suggests that the carbon framework provides partial structural support and promotes localized ordering of MOF crystallites.
A pronounced increase in crystallinity is observed for the PS/Cu–Ni MOF sample, reaching 43.71%, which can be attributed to the semi-crystalline nature of the polystyrene matrix and the heterogeneous nucleation effect induced by the dispersed MOF particles. In contrast, the simultaneous presence of POC and polymer in the PS/Cu-Ni/POC MOF composite leads to a reduction in crystallinity to 34.91%. As a result, the highly porous and irregular carbon structure disrupts long-range polymer chain ordering and limits crystal growth. Overall, the findings demonstrate that crystallinity can be effectively tuned by controlling the relative contributions of MOF, porous carbon, and polymer phases, enabling a balanced structure with sufficient crystalline domains and enhanced interfacial disorder suitable for multifunctional applications.
XRD patterns of different samples.
Analysis from infrared spectroscopy (FT-IR)
Figure 10 presents the FTIR spectra of the prepared samples in the range of 500–4000 cm⁻¹. Figure 10a presents the FTIR spectra of recycled PET and recycled PS obtained after dissolution in D-Limonene followed by antisolvent casting. The spectra were analyzed to confirm the preservation of the chemical structure of both polymers after the recycling and processing steps.
For recycled PET, the broad absorption band observed at approximately 3439 cm⁻¹ is attributed to the stretching vibration of hydroxyl (–OH) groups, associated with terminal hydroxyl groups and absorbed moisture in recycled PET materials. The band appearing at 1645 cm⁻¹ can be assigned to the carbonyl-related interactions, often reported in recycled or processed PET. Additionally, the peak at 1383 cm⁻¹ corresponds to the bending vibration of –CH groups in the ethylene glycol units of the PET backbone. These characteristic absorptions confirm the integrity of the PET molecular structure and indicate that no significant chemical degradation occurred during dissolution and antisolvent precipitation. The FTIR spectrum of recycled PS exhibits the typical vibrational features of polystyrene. The broad absorption band observed around 3458 cm⁻¹ in the FTIR spectrum of recycled PS is attributed to the stretching vibration of hydroxyl (–OH) groups, which is mainly associated with physically adsorbed moisture on the polymer surface. The absorption band at 3074 cm⁻¹ is assigned to the aromatic C–H stretching vibrations, while the band at 2908 cm⁻¹ corresponds to aliphatic C–H stretching of the polymer backbone. The peak observed at 1599 cm⁻¹ is characteristic of aromatic C = C stretching vibrations in the benzene ring of polystyrene. Furthermore, the band at 1451 cm⁻¹ is related to C–H bending vibrations, and the distinct absorption at 693 cm⁻¹ is attributed to out-of-plane bending of aromatic C–H bonds, which is a fingerprint peak of monosubstituted benzene rings in PS. The weak band around 1952 cm⁻¹ is associated with overtone and combination bands of aromatic ring vibrations, which are commonly observed in polystyrene spectra.
Overall, the FTIR results demonstrate that both recycled PET and PS retain their characteristic chemical structures after processing in d-limonene and antisolvent casting. The absence of new absorption bands or significant peak shifts indicates that no chemical reactions or structural degradation occurred during recycling, confirming that the applied method is a physical recycling process that preserves the polymer backbone. These findings validate the suitability of the recycled polymers for subsequent composite preparation and functional applications.
In the Fig. 10b spectrum of terephthalic acid derived from WPET—the primary organic ligand—distinct absorption peaks appear at 1683 cm⁻¹ (C = O stretching) and at 1424 and 1284 cm⁻¹ (C–O stretching vibrations)24. Following the formation of the Cu-Ni MOF, the C = O band shifts to 1584 cm⁻¹, indicative of coordination between the carboxylate groups and the Cu²⁺/Ni²⁺ ions within the metal–organic network24. Additionally, a band at 1398 cm⁻¹ is observed, which can be attributed to C–H bending or asymmetric COO⁻ stretching24. The absorption features at 880, 874, and 730 cm⁻¹ correspond to out-of-plane bending modes of the benzene ring and metal–oxygen (M–O) vibrations, confirming the successful formation of the MOF structure24.
In the Cu-Ni/POC MOF composite, a broad band centered near 3453 cm⁻¹ reflects O–H stretching vibrations, associated either with hydroxyl groups or with physically adsorbed moisture on the porous carbon surface. The presence of this feature in both the Cu-Ni/POC MOF and PS/Cu-Ni/POC MOF spectra confirms the simultaneous contribution of carbon and polymer phases to the overall structure24. A weak signal at ~ 3571 cm⁻¹ in the pure Cu-Ni MOF, ascribed to N–H or O–H stretching, becomes attenuated or disappears in the composite after further mixing, suggesting chemical stabilization and reduced free functional groups.
The FTIR profile of the PS/Cu-Ni/POC MOF sample, exhibiting characteristic absorption peaks at 3453, 1584, 1398, and 874 cm⁻¹, provides clear evidence of composite formation. The coexistence of vibrational bands from the polymer, carbon, and MOF components confirms the creation of a chemically and physically integrated hybrid structure. The spectral overlaps and shifts in peak positions, especially in the regions around 3453 cm⁻¹ (O–H stretching) and 1683–1398 cm⁻¹ (C = O and COO⁻ vibrations), point to the establishment of coordination and hydrogen-bonding interactions at the MOF–polymer interface rather than solely between MOF particles themselves. The attenuation of the broad O–H/N–H bands (~ 3453 and 3571 cm⁻¹) in the composite suggests active interfacial bonding and enhanced phase compatibility, which likely improves the stability and overall performance of the hybrid material29.
Moreover, these FTIR results are consistent with the XRD observations: the shift of carboxylate-related bands in the FTIR spectra and the appearance of a new diffraction peak at 2θ = 26.40° both verify strong interfacial interactions among the metal–organic framework, porous carbon, and polystyrene. The slight reduction in crystallinity detected by XRD corresponds to the broadening of FTIR bands and the emergence of amorphous features, collectively confirming the successful synthesis of a uniform Cu-Ni/POC MOF composite exhibiting a balanced crystalline–amorphous microstructure.
FTIR spectra of: (a) recycled PET and PS obtained by dissolution in D-Limonene followed by antisolvent casting, (b) synthesized terephthalic acid, pristine Cu-Ni MOF, Cu-Ni/POC MOF, and PS/Cu-Ni/POC MOF (P4).
Hydrophobicity evaluation of PS/Cu-Ni/POC MOF
Surface hydrophobicity plays a crucial role in determining the protective and insulating capacity of polymer-based coatings. To quantify this property, water contact angle (WCA) measurements were performed to examine the surface wettability of the pristine polystyrene (PS) and the PS/Cu-Ni/POC MOF composite (sample P4). As illustrated in Fig. 11, the unmodified Ps exhibited a contact angle of ~ 95°, confirming its inherently hydrophobic character. Upon incorporation of 15 wt% porous carbon and the Cu-Ni MOF framework, the contact angle increased to approximately 103.2°, signifying a distinct improvement in hydrophobicity.
This enhancement can be attributed to concurrent morphological and chemical modifications. The introduction of the three-dimensional porous carbon network embedded with Cu-Ni particles generated microscale and nanoscale surface roughness, reinforcing the intrinsic hydrophobic nature of PS in accordance with the Wenzel and Cassie–Baxter wetting models. The hierarchical surface topography traps air pockets beneath the water droplet, effectively minimizing the solid–liquid interfacial area and thereby elevating the apparent contact angle30. In addition, the porous carbon phase exposes nonpolar carbonaceous domains that lower the surface free energy of the composite—further promoting water repellency and reducing moisture adsorption30. The combined effect of structural roughness and decreased surface energy yields a surface with superior resistance to humidity and environmental degradation30.
The observed high contact angle of 103.2° demonstrates that the composite possesses a low-energy surface with minimal affinity toward water molecules, arising from the nonpolar nature of the Ps chains and the rough, porous texture of the POC component30. Such hydrophobic behavior is highly advantageous for functional applications, including electromagnetic shielding materials, electrical insulators, and moisture-resistant protective coatings. A hydrophobic interface mitigates water adsorption and penetration, a critical criterion for preserving electrical insulation and preventing deterioration under humid conditions. Moreover, enhanced hydrophobicity contributes to improved durability and chemical stability of the coating, ensuring long-term operational reliability. Thus, WCA analysis provides a simple yet powerful method for quantitatively evaluating surface wettability, offering key insights into the functional performance of the developed nanocomposite. These findings are corroborated by FTIR results, which reveal the absence of polar functional groups, collectively confirming the pronounced hydrophobic nature of the PS/Cu-Ni/POC MOF system.
Hydrophobicity behavior of samples, (a) real picture (b) intact PS and (c) PS/Cu-Ni/POC MOF (P4).
Environmental durability and water absorption behavior of PS/Cu-Ni/POC MOF composites
To evaluate the environmental stability of the prepared PS/Cu-Ni/POC MOF (15 wt%) composite as the ideal sample in EMI analysis was subjected to humid conditions by immersing in water in accordance with ASTM D570 for exposure times of 24 h. The results are presented in Table 5.
Following exposure, the composites exhibited negligible changes in appearance, dimensions, and mechanical integrity. The water absorption results revealed a low moisture uptake of approximately 0.6% after 24 h immersion in distilled water indicating low moisture uptake over the tested durations, disclosing effective resistance to water penetration. Besides the hydrophobic nature of the PS matrix, adding hydrophobic MOF particles improved the water resistance of it. No noticeable degradation or delamination of the structure was observed after the analysis. These findings demonstrate that the incorporation of Cu-Ni MOF and the carbon framework contribute to maintaining the structural integrity and functional performance of the composites under humid conditions.
The results of the water absorption tests complement the contact angle measurements, confirming the relatively low affinity of the composite surface toward water. Overall, the stability observed during the ASTM D570 tests and environmental exposure experiments show satisfactory short-term environmental durability, supporting the suitability of the developed composites for outdoor and building-related applications.
The results of the water absorption tests complement the contact angle measurements, confirming the relatively low affinity of the composite surface toward water. Overall, the stability observed during the ASTM D570 tests and environmental exposure experiments show satisfactory short-term environmental durability, supporting the suitability of the developed composites for outdoor and building-related applications.
Following exposure, the composites exhibited negligible changes in appearance, dimensions, and mechanical integrity. The water absorption results revealed a low moisture uptake of approximately 0.6% after 24 h immersion in distilled water indicating low moisture uptake over the tested durations, disclosing effective resistance to water penetration. Besides the hydrophobic nature of the PS matrix, adding hydrophobic MOF particles improved the water resistance of it. No noticeable degradation or delamination of the structure was observed after the analysis. These findings demonstrate that the incorporation of Cu-Ni MOF and the carbon framework contribute to maintaining the structural integrity and functional performance of the composites under humid conditions.
To evaluate the environmental stability of the prepared PS/Cu-Ni/POC MOF (15 wt%) composite as the ideal sample in EMI analysis was subjected to humid conditions by immersing in water in accordance with ASTM D570 for exposure times of 24 h. The results are presented in Table 5.
Mechanical properties of PS/Cu-Ni/POC MOF composites
The corresponding stress–strain curves and mechanical parameters for recycled PS, solvent-cast PS, and PS/Cu-Ni/POC MOF nanocomposites at different filler loadings (2, 5, 8, and 15 wt%) are presented in Fig. 12; Table 6. According to Fig. 12, in the stress-strain curves, the behavior of all samples follows a full elastic pattern, and no plastic area is visible in the diagrams. Based on the mechanical characteristics tabulated in Table 6 (E and), although, according to XRD findings, it is anticipated that neat PS would achieve higher strength after the dissolution and casting process due to enhanced crystallinity, its weakened from 55.8 to 51.4 MPa because of the negligible residual of D-Limonene solvent within structure, confirmed by TGA results. This reduction is intensified by adding MOF up to 2 wt% as the crystallinity of host matrix is decreased. Following that an increase in the concentration of MOF alters the conditions where the forming of interface layers between MOF and PS becomes dominant phenomenon and undervalues the crystallinity influence. This strong interface layers can transmit the load to robust MOFs leading to better mechanical properties31. Herein, we witness the reaches to 53.1 for our ideal composite (15 wt%) which is only reduced by 4.83% in comparison with neat PS. This level of strength appears to be adequate for desired application in building. In terms of other mechanical parameters such as elongation at break and hardness, the same trend is obvious. By adding stronger MOF micro-particles, most of the load is tolerated by them. In addition, it seems that by changing the crystallinity of the matrix, determined by XRD analysis, the possibility of forming an interface layer between the matrix and the particles is strengthened meaning improved results.
Tensile stress–strain curves for different samples.
EMI shielding properties of PS/Cu-Ni/POC MOF nanocomposite
In Fig. 13, the electromagnetic shielding effectiveness of the PS/Cu-Ni/POC MOF nanocomposite with different filler weight percentages (2, 5, 8, and 15%) is shown in the frequency range of 2.8 to 12.4 GHz. As seen in the absorption (SEA) and reflection (SER) plots, increasing the concentration of the conducting component (MOF/POC) results in a significant improvement in shielding performance. For sample P1-P3 values are obtained below 10 dB, whereas for P4 sample is above 35 dB across most of the frequency range. With increasing filler percentage, electrical conductivity and mobile charge carrier density also increased, resulting in a greater contribution of the absorption component to the total shielding effectiveness32. In particular, for the P3 and P4 samples, absorption played a much more dominant role than reflection, which can be attributed to effective wave scattering, dielectric losses in the porous structure, and the presence of electron absorption centers in the MOF32. The data show that, in the P4 sample, the maximum EMI SE reached about 40 dB, equivalent to blocking more than 99.9% of the incoming wave energy and ensuring excellent performance across the entire X-band frequency range. Even the minimum SE value for this sample was about 10 dB, corresponding to a reduction of wave power to 10% of its initial value. As shown in the figures, both absorption and reflection contribute to the total shielding effectiveness, and their relative significance changes with filler loading.
Absorption behavior
The absorption spectra (Fig. 13a) indicate a noticeable enhancement in absorption efficiency with increasing filler content. The P1 sample (2 wt%) exhibits a relatively low and fluctuating absorption intensity throughout the frequency range, suggesting limited formation of conductive and magnetic networks. As the filler content increases to 5 wt% and 8 wt% (P2 and P3), the absorption improves markedly, reflecting better impedance matching and enhanced multiple scattering of electromagnetic waves within the composite.
EMI SE of PS/Cu-Ni MOF/POC nanocomposites as a function of frequency: (a) absorption, (b) reflection, (c) effective absorption, (d) total shielding effectiveness, (e) total electromagnetic wave shielding, (f) real parts, and (g) imaginary parts at frequency 10.04 GHz.
The P4 sample (15 wt%) shows the highest and most stable absorption, confirming that the synergistic effect between Cu-Ni nanoparticles and the porous carbon network facilitates dipole polarization, interfacial polarization, and conductive loss. This demonstrates that absorption is the dominant shielding mechanism, particularly at higher filler loadings33. As summarized in Table 7, the absorption coefficients (A) of all samples are significantly higher than the corresponding reflection coefficients (R) at 10.04 GHz. In addition, the absorption shielding effectiveness (SEA) is markedly greater than the reflection component (SER) for all samples. These results clearly indicate that EMI shielding in the present materials is predominantly governed by absorption rather than reflection.
Electrical conductivity of the prepared composites
In this study, the electrical conductivity of the PS/Cu-Ni/POC MOF nanocomposite was calculated as a function of frequency using the following Eq. (10).
The results of this analysis show that the nanocomposite under study exhibits significant electrical conductivity in these frequency ranges, which is directly related to its ability to attenuate EMW. The Fig. 14 shows that, by increasing the weight content of Cu-Ni MOF and porous carbon within the PS matrix, the electrical conductivity increases from about 0.25 S/m at low filler content to more than 0.5 S/m in samples with higher loading, attributed to the formation of continuous conductive networks and a greater number of effective contact points between conductive particles37. Another contributing factor may be the decreased distance between conductive islands, which intensifies tunneling current and further promotes electron transport across the composite37. Porous carbon plays a key role in this process: its porous structure facilitates uniform dispersion within the polymer matrix, and its internal pores provide suitable conditions for the formation of electron conduction paths and the tunneling effect38. Additionally, the presence of the Cu-Ni bimetallic MOF crystal framework, with charge transfer centers and a high specific surface area, helps to accelerate electron transfer and increase local polarization. The interaction of the porous structure with the electromagnetic field causes slight fluctuations in the conductivity curve with frequency, as phenomena such as wave interference, multiple reflections, and dielectric polarization can occur38.
Overall, the observed increase in electrical conductivity with increasing filler content suggests a favorable synergy among the non-conductive polymer, the conductive MOF framework, and the porous carbon in creating effective electronic networks and attenuating unwanted interference. This feature makes the nanocomposite a suitable candidate for EMI applications and lightweight conductive electronic coatings.
Electrical conductivity (σ) for different fabricated samples.
Thermogravimetric analysis (TGA)
Thermogravimetric analysis (TGA) was conducted to evaluate the thermal stability of the PS/Cu-Ni/POC MOF nanocomposite containing 15 wt% filler to verify the efficiency of solvent removal after processing in D-Limonene. As shown in Fig. 15, the TGA curve exhibits a well-defined multi-step thermal degradation behavior. Notably, no significant weight loss is observed in the low-temperature region below 250 °C, particularly around the boiling point of D-Limonene (176 °C), indicating the effective removal of residual solvent despite the relatively low drying temperature (60 °C) during composite preparation process. Specifically, at 176 °C, a very minor weight loss of 3.52% corresponding to a mass change of only 0.13 mg is observed, which can be attributed to the release of physically adsorbed moisture or trapped gases within the porous carbon structure rather than residual solvent, further confirming the effective elimination of D-Limonene39.
This result confirms that D-Limonene remain negligibly in the composite structure and therefore does not act as a plasticizer affecting the thermal or dielectric performance of the material. The main degradation stage occurs between approximately 280 and 450 °C, with a major weight loss of about 58.12% (≈ 2.17 mg), relating to the thermal decomposition of the PS/Cu-Ni/POC MOF polymer backbone and associated functional groups. At higher temperatures, the weight loss rate significantly decreases, leaving a substantial residual mass of approximately 31.33% (≈ 1.15 mg) ascribed to the thermally stable three-dimensional carbon framework. The high char yield reflects the enhanced thermal stability imparted by the carbonaceous phase and supports its role as a robust reinforcing and functional component in the composite system. In summary, the TGA results confirm both the insignificant remain of the high-boiling solvent and the improved thermal robustness of the PS/Cu-Ni/POC MOF nanocomposite, validating the reliability of the subsequent property evaluations39.
TGA curve of PS/Cu-Ni/POC MOF (15 wt%) composite.
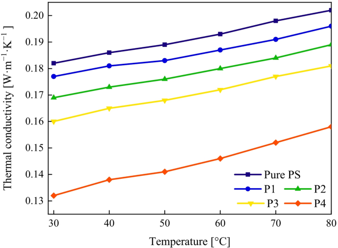
Thermal conductivity coefficient of PS/Cu-Ni/POC MOF nanocomposite
In this work, a sustainable composite composed of recycled polystyrene and a Cu-Ni bimetallic metal–organic framework (MOF), synthesized in situ on porous carbon obtained from polymer waste, was systematically examined to assess its thermal and electromagnetic characteristics. As illustrated in Fig. 16, incorporation of the MOF and porous carbon (POC) into the polymer matrix markedly lowered the thermal conductivity compared with pristine polystyrene. The formulation containing 15 wt% POC with an optimized MOF fraction exhibited the minimum thermal conductivity over the 30–80 °C range. At 30 °C, the composite reached 0.132 W·m− 1·K− 1 versus 0.182 W·m− 1·K− 1 for pure PS—corresponding to a roughly 27.5% enhancement in thermal insulation efficiency. This substantial reduction stems from the hierarchical porosity of the MOF, which disperses thermal phonons by generating discontinuous heat flux pathways and thereby suppresses effective conduction40. Simultaneously, the abundance of crystal interfaces between Cu and Ni ions and their interactions with the POC phase act as additional thermal barriers41. Furthermore, the foam‑like texture of the POC enables air entrapment and further diminishes heat transfer, producing a strong synergistic effect when combined with the MOF40. Remarkably, this multiphase heterogeneous assembly also delivers outstanding electromagnetic shielding capability: the MOF component contributes to electron‑field absorption, while the POC induces multiple internal reflections that efficiently attenuate incident waves. Collectively, these properties underscore the composite’s potential as a lightweight, eco‑friendly, and multifunctional coating for integrated thermal insulation and electromagnetic interference protection in advanced industrial applications.
Thermal conductivity of intact PS and PS/Cu-Ni MOF/POC composites.
Flammability evaluation of PS/Cu-Ni MOF/POC nanocomposites
As illustrated in Fig. 17, the fire resistance of pure PS and PS/Cu-Ni MOF composites were evaluated using the UL-94 vertical burning test to assess their flammability behavior under practical conditions. The corresponding quantitative results are summarized in Table 8.
Based on the UL-94 results, the PS/Cu-Ni/POC MOF composite exhibits improved fire performance compared to neat PS. The pure PS sample ignited after 4 s, with dripping observed at 33 s and a total burning time of 120 s. In contrast, the composite containing 15 wt% Cu-Ni/POC MOF showed a slightly delayed ignition time of 6 s, a significantly reduced dripping time of 14 s, and a much shorter total burning duration of 81 s. These results indicate faster self-extinguishing behavior and enhanced flame-retardant performance for the composite system.
Moreover, qualitative observations after complete combustion further support the enhanced fire resistance of the composite. The pure PS sample was fully consumed and converted into char and ash, whereas the PS/Cu-Ni/POC MOF composite retained part of its structural integrity and did not undergo complete charring. This behavior highlights the protective role of the MOF phase in mitigating thermal degradation and material collapse during burning.
The improved flame retardancy of the composite can be attributed to the presence of the Cu-Ni bimetallic MOF and its carbon-supported architecture. Transition metal centers such as Cu²⁺ and Ni²⁺ are known to promote catalytic charring during thermal decomposition, leading to the formation of a dense and stable carbonaceous islands on the polymer surface. This protective char areas act as an effective physical barrier, restricting heat transfer, oxygen diffusion, and the release of flammable volatile species.
In addition, the porous carbon framework supporting the MOF enhances heat dissipation and reinforces the char structure formed during combustion. The synergistic interaction between the metal nodes and the carbon matrix contributes to improved thermal stability, reduced dripping, and shortened burning time. Furthermore, the aromatic structure of PET-derived terephthalate ligands within the MOF favors char formation under oxidative conditions, further strengthening the flame-retardant behavior of the composite.
Flame test (a) Applying flame to composite sample (b) Dripping (c) Complete burning and quenching (d) Pure PS and PS/Cu-Ni/POC MOF nanocomposites ash after burning test.
Conclusion
In this study, an environmentally friendly, efficient, and cost‑effective nanocomposite was developed and evaluated, consisting of recycled polystyrene, a Cu-Ni metal–organic framework (MOF), and porous carbon derived from PET waste, designed to provide electromagnetic wave (EMW) shielding while enhancing thermal insulation. The composites were fabricated via the solution‑casting technique in the green solvent d‑limonene, emphasizing sustainability by employing waste polystyrene to minimize polymer pollution. Increasing the content of Cu-Ni/POC MOF from 2 to 15 wt% markedly improved the shielding effectiveness within the X‑band frequency range (8.2–12.4 GHz). The composite containing 15 wt% of the hybrid filler exhibited the highest performance, with an EMW attenuation from 10 dB up to ~ 42 dB, corresponding to over 99.9% suppression of wave transmission. Analysis of the absorption and reflection components confirmed that absorption became the dominant shielding mechanism due to the material’s hierarchical porosity, efficient filler dispersion, and abundant active sites within the MOF framework. Electrical conductivity increased gradually with filler loading—from 0.25 S/m at 2 wt% to 0.50 S/m at 15 wt%—reflecting the formation of continuous conductive pathways and enhanced electron tunneling effects. From a thermal standpoint, the composite demonstrated a conductivity of 0.132 W·m− 1·K− 1 at 30 °C, which is approximately 27.5% lower than that of pristine polystyrene (0.182 W·m− 1·K− 1), confirming its excellent thermal insulation behavior. Overall, the PS/Cu-Ni/PC MOF nanocomposite containing 15 wt% filler integrates enhanced electromagnetic shielding, electrical conductivity, and thermal stability, offering a sustainable and multifunctional material solution for protective coatings in electronics, buildings, and radiation‑sensitive environments—particularly those targeting reduced plastic waste and circular use of recycled polymers.
Data availability
Data will be made available upon reasonable request by the corresponding Author (Gholamreza Kiani: [g.kiani@tabrizu.ac.ir](mailto: g.kiani@tabrizu.ac.ir) ).
Abbreviations
- T:
-
Transmission
- R:
-
Reflection
- A:
-
absorption
- SET :
-
Total Shielding effectiveness
- SEA :
-
Shielding by absorption
- SER :
-
Shielding by reflection
- S11 :
-
Ratio of reflected power to incident power in port 1 (dB)
- S21 :
-
Ratio of transmitted power from port 2 to port 1 to incident power in port 1
- Aeff :
-
Effective absorption
- dB:
-
Decibel (unit of shielding effectiveness)
- µr :
-
Relative magnetic permeability
- ԑr :
-
Relative dielectric permittivity
- λ0 :
-
Free space wavelength
- λc :
-
The wavelength of the waveguide
- ԑ0 :
-
Dielectric permittivity of free space
- ԑ″:
-
Dielectric loss (Imaginary permittivity)
- ԑʹ:
-
Dielectric (real) permittivity
- Λ:
-
Effective Wavelength
- Γ:
-
Reflection coefficient
- f:
-
Frequency (GHz)
- σ:
-
Electrical conductivity (S/m)
References
Okan, M., Aydin, H. M. & Barsbay, M. Current approaches to waste polymer utilization and minimization: a review. J. Chem. Technol. Biotechnol. 94 (1), 8–21. https://doi.org/10.1002/jctb.5778 (2019).
Zhang, X., Yin, Z., Xiang, S., Yan, H. & Tian, H. Degradation of polymer materials in the environment and its impact on the health of experimental animals: a review. Polymers 16 (19), 2807. https://doi.org/10.3390/polym16192807 (2024).
Pirzada, A. M. et al. Plastic polymer waste conversion into green by-end products: a review. Int. J. Environ. Waste Manag. 37 (1), 54–71. https://doi.org/10.1504/IJEWM.2025.146392 (2025).
Lei, H., Wang, Z., Li, S. & Zhu, M. Recent advancements in the chemical recycling and biodegradation of post-consumer polystyrene waste. Green Chem. 27 (31), 9357–9413. https://doi.org/10.1039/D5GC02162F (2025).
Guo, J. et al. A facile and environmental friendly approach for recycling waste polystyrene foam. Chem. Eng. J. 506, 160073. https://doi.org/10.1016/j.cej.2025.160073 (2025).
Aparício, S. C., Resende, J. V., Ribeiro, B. D. & Marrucho, I. M. Dissolution-Precipitation of Plastic Waste: Current Position and Potential as Green Recycling Technique. ChemSusChem 18 (11), e202500018. https://doi.org/10.1002/cssc.202500018 (2025).
Zecchi, S. et al. A comprehensive review of electromagnetic interference shielding composite materials. Micromachines 15 (2), 187. https://doi.org/10.3390/mi15020187 (2024).
Hou, X. et al. Recent progress in smart electromagnetic interference shielding materials. J. Mater. Sci. Technol. 186, 256–271. https://doi.org/10.1016/j.jmst.2024.01.008 (2024).
Liu, J. & Nicolosi, V. Electrically insulating electromagnetic interference shielding materials: a perspective. Adv. Funct. Mater. 35 (18), 2407439. https://doi.org/10.1002/adfm.202407439 (2025).
Mohanty, B., Kumari, S., Yadav, P., Kanoo, P. & Chakraborty, A. Metal-organic frameworks (MOFs) and MOF composites based biosensors. Coord. Chem. Rev. 519, 216102. https://doi.org/10.1016/j.ccr.2024.216102 (2024).
Li, J. et al. Recent advances in the synthesis of MOF-based composites for heavy-metal ion adsorption. Coord. Chem. Rev. 545, 217010. https://doi.org/10.1016/j.ccr.2025.217010 (2025).
Sağlam, S., Türk, F. N. & Arslanoğlu, H. Use and applications of metal-organic frameworks (MOF) in dye adsorption. J. Environ. Chem. Eng. 11 (5), 110568. https://doi.org/10.1016/j.jece.2023.110568 (2023).
Poonia, K. et al. Recent advances in Metal Organic Framework (MOF)-based hierarchical composites for water treatment by adsorptional photocatalysis: A review. Environ. Res. 222, 115349. https://doi.org/10.1016/j.envres.2023.115349 (2023).
Kausar, A., Ahmad, S. & Salman, S. M. Effectiveness of polystyrene/carbon nanotube composite in electromagnetic interference shielding materials: a review. Polym.-Plast. Technol. Eng. 56 (10), 1027–1042. https://doi.org/10.1080/03602559.2016.1266367 (2017).
Kausar, A. Influence of interfacial aspects on electromagnetic interference shielding performance of graphene reinforced nanocomposites: an overview. Compos. Interfaces. 29 (13), 1373–1396. https://doi.org/10.1080/09276440.2022.2098618 (2022).
Bheema, R. K. et al. A review on recent progress in polymer composites for effective electromagnetic interference shielding properties–structures, process, and sustainability approaches. Nanoscale Adv. 6 (23), 5773–5802. https://doi.org/10.1039/D4NA00572D (2024).
Yaqoob, S., Ali, Z., Ali, S. & D’Amore, A. A Review on the Rheological Properties of Polystyrene/Carbon Nanotubes Composites: Fundamentals, Preparations, and Interaction Mechanisms. (2024). https://doi.org/10.20944/preprints202411.1997.v1
Akram, Z., Kausar, A. & Siddiq, M. Review on polymer/carbon nanotube composite focusing polystyrene microsphere and polystyrene microsphere/modified CNT composite: preparation, properties, and significance. Polym.-Plast. Technol. Eng. 55 (6), 582–603. https://doi.org/10.1080/03602559.2015.1098696 (2016).
Zhang, Y., Pan, T. & Yang, Z. Flexible polyethylene terephthalate/polyaniline composite paper with bending durability and effective electromagnetic shielding performance. Chem. Eng. J. 389, 124433. https://doi.org/10.1016/j.cej.2020.124433 (2020).
Bagotia, N., Mohite, H., Tanaliya, N. & Sharma, D. K. A comparative study of electrical, EMI shielding and thermal properties of graphene and multiwalled carbon nanotube filled polystyrene nanocomposites. Polym. Compos. 39 (S2), E1041–E1051. https://doi.org/10.1002/pc.24465 (2018).
Malekie, S., Madani, S. S., Molhem, H., Ziaie, F. & Tajudin, S. M. Analysis of the electromagnetic interference shielding effectiveness of polystyrene-SWCNT nanocomposite in X-band frequencies. J. Nanopart. Res. 27 (2), 1–13. https://doi.org/10.1007/s11051-025-06248-8 (2025).
Saad, M., Elhamad, A., Deeb, M. & Alrakkad, H. Preparation and characterization of terephthalic acid from PET plastic waste via low-temperature alkaline hydrolysis. Heliyon 11 (15). https://doi.org/10.1016/j.heliyon.2025.e43928 (2025).
Kaur, B., Singh, J., Gupta, R. K. & Bhunia, H. Porous carbons derived from polyethylene terephthalate (PET) waste for CO2 capture studies. J. Environ. Manage. 242, 68–80. https://doi.org/10.1016/j.jenvman.2019.04.077 (2019).
Gopi, S., Al-Mohaimeed, A. M., Al-onazi, W. A., Elshikh, M. S. & Yun, K. Metal organic framework-derived Ni-Cu bimetallic electrocatalyst for efficient oxygen evolution reaction. J. King Saud University-Science. 33 (3), 101379. https://doi.org/10.1016/j.jksus.2021.101379 (2021).
Siddiqui, S. A., Pahmeyer, M. J., Assadpour, E. & Jafari, S. M. Extraction and purification of d-limonene from orange peel wastes: Recent advances. Ind. Crops Prod. 177, 114484. https://doi.org/10.1016/j.indcrop.2021.114484 (2022).
Wang, H., Chu, W. & Chen, G. A brief review on measuring methods of thermal conductivity of organic and hybrid thermoelectric materials. Adv. Electron. Mater. 5 (11), 1900167. https://doi.org/10.1002/aelm.201900167 (2019).
Wang, X. Y. et al. Electromagnetic interference shielding materials: recent progress, structure design, and future perspective. J. Mater. Chem. C. 10 (1), 44–72. https://doi.org/10.1039/D1TC04702G (2022).
Xu, X. et al. Architectural design and microstructural engineering of metal–organic framework-derived nanomaterials for electromagnetic wave absorption. Small Struct. 4 (1), 2200219. https://doi.org/10.1002/sstr.202200219 (2023).
Giang, P. T. T. et al. Synthesis and characterization of bimetallic Ni-Cu‐BDC from waste plastic as a highly efficient CO2/N2 selective adsorbent. Vietnam J. Chem. 61, 84–89. https://doi.org/10.1002/vjch.202300088 (2023).
Xie, L. H., Xu, M. M., Liu, X. M., Zhao, M. J. & Li, J. R. Hydrophobic metal–organic frameworks: assessment, construction, and diverse applications. Adv. Sci. 7 (4), 1901758. https://doi.org/10.1002/advs.201901758 (2020).
KarimzadGhavidel, A., Opoz, T. T., Mahdavinia, M., Kiani, G. & Moradi, M. Achieving exceptional mechanical and thermal properties in ABS/MWCNTs nanocomposites with minimal CNT loading via electromechanical dispersion technique. Polym. Compos. https://doi.org/10.1002/pc.29602 (2025).
Zhang, X. et al. Carbon-based MOF derivatives: emerging efficient electromagnetic wave absorption agents. Nano-Micro Lett. 13 (1), 135. https://doi.org/10.1007/s40820-021-00658-8 (2021).
Ma, L., Hamidinejad, M., Wei, L., Zhao, B. & Park, C. B. Absorption-dominant EMI shielding polymer composite foams: Microstructure and geometry optimization. Mater. Today Phys. 30, 100940. https://doi.org/10.1016/j.mtphys.2022.100940 (2023).
Lakshmi, K., John, H., Mathew, K. T., Joseph, R. & George, K. E. Microwave absorption, reflection and EMI shielding of PU–PANI composite. Acta Mater. 57 (2), 371–375. https://doi.org/10.1016/j.actamat.2008.09.018 (2009).
Ram, R., Rahaman, M. & Khastgir, D. Electromagnetic interference (EMI) shielding effectiveness (SE) of polymer-carbon composites. In Carbon-containing polymer composites (339–368). Singapore: Springer Singapore. https://doi.org/10.1007/978-981-13-2688-2_10 (2018).
Yu, W. C. et al. Superior and highly absorbed electromagnetic interference shielding performance achieved by designing the reflection-absorption-integrated shielding compartment with conductive wall and lossy core. Chem. Eng. J. 393, 124644. https://doi.org/10.1016/j.cej.2020.124644 (2020).
Verma, R., Mishra, M., Dhar, R. & Dabrowski, R. Enhancement of electrical conductivity, director relaxation frequency and slope of electro-optical characteristics in the composites of single-walled carbon nanotubes and a strongly polar nematic liquid crystal. Liq. Cryst. 44 (3), 544–556. https://doi.org/10.1080/02678292.2016.1225842 (2017).
Chung, D. D. L. A perspective on the electromagnetic interference shielding behavior of nickel-coated filamentary carbons. Carbon, 120604. (2025).
Yadav, N., Dabrowski, R. & Dhar, R. Effect of alumina nanoparticles on dielectric permittivity, electrical conductivity, director relaxation frequency, threshold and switching voltages of a nematic liquid crystalline material. Liq. Cryst. 41 (12), 1803–1810. https://doi.org/10.1080/02678292.2014.950619 (2014).
Erickson, K. J. et al. Thin film thermoelectric metal–organic framework with high Seebeck coefficient and low thermal conductivity. Adv. Mater. 27 (22), 3453–3459. https://doi.org/10.1002/adma.201501078 (2015).
Murzaev, R. T., Krylova, K. A. & Baimova, J. A. Thermal expansion and thermal conductivity of Ni/graphene composite: Molecular dynamics simulation. Materials 16 (10), 3747. https://doi.org/10.3390/ma16103747 (2023).
Acknowledgements
This article is part of a broader-scope PhD research project conducted at the University of Tabriz, Iran. The authors gratefully acknowledge the support and resources provided by the University of Tabriz during the course of this doctoral study. Special thanks are extended to the academic staff and laboratory technicians whose insights and assistance contributed to the successful completion of this work. The authors also appreciate the time and effort of the reviewers in evaluating this manuscript.
Author information
Authors and Affiliations
Contributions
Mahsa Mahdavinia: validation, edit and writing, experience, Gholamreza Kiani: supervision, experience, Edit and writing, Expert of SPR instrumentAyub Karimzad Ghavidel: validation, software, prediction, edit and writingHassan Nasiri: supervision, software, prediction, edit and writing.
Corresponding author
Ethics declarations
Competing interests
The authors declare no competing interests.
Additional information
Publisher’s note
Springer Nature remains neutral with regard to jurisdictional claims in published maps and institutional affiliations.
Rights and permissions
Open Access This article is licensed under a Creative Commons Attribution-NonCommercial-NoDerivatives 4.0 International License, which permits any non-commercial use, sharing, distribution and reproduction in any medium or format, as long as you give appropriate credit to the original author(s) and the source, provide a link to the Creative Commons licence, and indicate if you modified the licensed material. You do not have permission under this licence to share adapted material derived from this article or parts of it. The images or other third party material in this article are included in the article’s Creative Commons licence, unless indicated otherwise in a credit line to the material. If material is not included in the article’s Creative Commons licence and your intended use is not permitted by statutory regulation or exceeds the permitted use, you will need to obtain permission directly from the copyright holder. To view a copy of this licence, visit http://creativecommons.org/licenses/by-nc-nd/4.0/.
About this article
Cite this article
Mahdavinia, M., Kiani, G., Ghavidel, A.K. et al. Sustainable composite insulator for thermal, moisture, and electromagnetic shielding using recycled waste polymers/bimetallic MOF-grown porous carbon. Sci Rep 16, 11252 (2026). https://doi.org/10.1038/s41598-026-41505-3
Received:
Accepted:
Published:
Version of record:
DOI: https://doi.org/10.1038/s41598-026-41505-3
















