Abstract
Despite many experimented works on the conductivity of carbon black (CB)-polymer nanocomposites (PCBs), the modeling methodology in this field is imperfect requiring more development. The current article suggests a simple and accurate equation for the electrical conductivity of PCBs by CB radius, interphase depth, tunneling characteristics (λ), percolation onset, network percentage and interfacial tension. At the first step, the impact of model’s parameters on the PCB conductivity is designed and justified. Then, the offered model is validated by the real data of numerous samples with dissimilar polymer media and CB nanoparticles. Bigger tunnels with the smaller widest weaken the conductivity, however the peak conductivity of 11.5 S/m is attained at tunneling distance (λ) of 2 nm and contact diameter (d) of 45 nm, while λ > 5 nm or d < 20 nm produce an insulating sample. Also, higher polymer surface energy (γp) and poorer CB surface tension (γf) reduce the conductivity and an insulated sample is detected at γp > 30 mN/m and γf < 45 mN/m. Nevertheless, the supreme conductivity of 1.6 S/m is gained by the lowest γp = 20 mN/m and the top γf = 60 mN/m. Hence, both tunneling dimensions and surface tensions of components manipulate the conductivity of PCBs.
Similar content being viewed by others
Introduction
Carbon black (CB) nanoparticles can be used as a conductive filler in the polymer composites, since their immense surface, high electrical conductivity, and good stiffness introduce a big improvement in the composite’s performance1,2,3,4,5,6. The nanocomposites containing CBs are not conductive when the CBs are dispersed in the samples before percolation onset. However, at a critical volume percentage of CBs referred to as the percolation threshold, CBs crate a continuous network, facilitating the transfer of electrons7. Undoubtedly, the size of nanoparticles, their dispersion quality and their surface energy are the most critical factors influencing the percolation onset8,9.
Many researchers have reported that CBs can improve the characteristics of polymer nanocomposites1,10,11. CBs were reported to improve the tear resistance, tensile strength, and stiffness of rubbers12,13. Also, the conductive CBs can improve the conductivity of nanocomposites, which provide their applications in energy storage, electronic packaging, electromagnetic interference shielding and sensors14,15. Hilarius team16 reported that CB nanoparticles (particle size of 30–35 nm) cause the percolation onset of 5 wt% in the polycarbonate composites and can yield the conductivity of 1 S/m at 10 wt% CB. Additionally, Chen et al.17 obtained the electrical percolation threshold by 1.5 wt% CB (particle size of 20–40 nm) in the PS/PP (60 wt%/40 wt%) composites. Also, the conductivity of this system raised to 0.1 S/m at 3.5 wt% of CB. These data reveal that a low volume of CB nanoparticles can reach the percolation onset to create the network and provide the conductivity in the composites.
The electrical conduction of polymer CB nanocomposites (PCBs) depends on numerous factors like the type, size, structure, distribution, and conductivity of CBs1,18. Moreover, the electron tunneling through the nearby nanoparticles is the main mechanism for the conductivity phenomenon in nanocomposites19,20. Actually, electron transfer through the narrow tunneling spaces occurs in the PCBs and thus the PCB conductivity depends on numerous factors like tunneling resistance, contact diameter and tunneling distance21,22. Accordingly, the characteristics of tunneling region mainly govern the conductivity in the PCBs and their controlling is essential to attain a stronger charge transfer.
The network of nanoparticles is crucial to provide charge transfer in the nanocomposites23,24,25. However, the interphase around nanoparticles can shorten the space among nanoparticles and contribute to the network26,27. Actually, the interphase produces the network beside nanoparticles and its size significantly handles the percolation onset, network concentration and nanocomposite conductivity28,29. Although the interphase role in the nanocomposite conductivity was reflected in the samples with carbon nanofiber23 and graphene29, the interphase impact on the PCB conductivity was ignored in the earlier reports. Consequently, the stimuli of both interphase and tunnels should be reflected in the conductivity of PCBs.
From the modeling vision, the earlier studies have focused on the conductivity of PCBs using power-law Eqs16,17,30. Actually, they fitted the experimental data of conductivity to this model by CB concentration, percolation onset and an exponent. However, the tunneling and interphase characteristics were ignored by this model. Therefore, the power-law model is an imperfect methodology to estimate the conductivity of PCBs. Also, Shao model18 for PCB conductivity considered the CB size, interphase thickness, and contact area, but it ignored the important terms such as CB/interphase nets and tunneling distance. Actually, the previous models have ignored the characteristics of tunnels and interphase regions, which are incomplete and unacceptable. Undoubtedly, an accurate and comprehensive model is valuable in this field to optimize the conductivity of PCB samples for developed usages.
The current paper aims to develop an accurate but simple model for forecasting of conductivity in the PCBs by the nanoparticle size, interfacial energy between components, tunneling features and interphase thickness. Our model also considers the percolation onset, effective filler concentration due to interphase and percentage of CBs in the network. The stimuli of all factors on the conductivity are plotted to clarify the validity of the proposed model. Besides, the proposed model is confirmed by the lab-measured conductivity of several samples and the tunneling characteristics are estimated. Generally, both parametric investigations and real conductivities of actual samples are utilized to approve the suggested model. The current model is operative to control the main variables influencing the conductivity of PCBs.
Model advancement
As mentioned, only the networked nanoparticles can provide and control the conductivity of PCB samples. Also, the conductivity for PCBs has a nonlinear relation with the CB concentration31,32. So, the PCB conductivity can be linked to the network volume fraction (ϕN) by a simple equation as:
revealing a nonlinear link between PCB conductivity and the volume percentage of CB/interphase net. Undoubtedly, Y has the dimension of S/m, but k is a dimensionless factor. Now, mathematical analyses and comparison to the real conductivity results are applied to extract the formulations for Y and k.
Figure 1 clarifies the exact roles of both Y and k in the conductivity of PCBs at ϕN = 0.1 according to Eq. 1. Figure 1a reveals that Y directly handles the conductivity and a higher Y usually enhances the conductivity. Y = 0 expectedly causes no conductivity, but Y = 50 S/m can improve the conductivity to 0.5 S/m. Therefore, it is essential to optimize the Y to attain more conductivity. Figure 1b represents the correlation between the conductivity and k. As shown, less amount of k is desirable to improve the conductivity, but more k highly weakens the conductivity. k = 1 maximizes the conductivity to 2.5 S/m, but the conductivity is 0 at k > 4. Hence, k conversely manages the conductivity and its controlling is necessary for improving the conductivity. This explanation can guide to design the products with more conductivity.
Impressions of (a) Y and (b) k on the PCB conductivity using Eq. (1).
The tunneling features mainly manage the PCB conductivity9,26. Accordingly, Y can be linked to the tunneling features like tunnelling distance (λ), contact diameter (d) and polymer tunnel resistivity (p). Slimmer tunnels with higher contact width produce a poorer tunnelling resistance growing the conductivity of samples27,33. Also, p directly controls the tunnelling resistance, as a higher p prevents the charge transfer through tunnels and limits the conductivity. Really, Y conversely depends on the tunnelling resistance, which can be expressed by the tunnelling characteristics as:
which has S/m dimension supposing d (nm), λ (nm) and p (Ω.m). Equation 2 reveals that the dimensions of tunnels significantly manage the Y. d represents the effective contact cross-section among neighboring CBs providing the electron transfer. CBs may be aggregated/agglomerated in the samples, demonstrating that d does not depend on the CB radius.
The interfacial tension among polymer and filler (γpf) also influences the nanocomposite conductivity, since it manipulates the dispersion of nanoparticles and controls their contacts, which governs the charge transferring26. A less polymer surface tension (γp) is desirable to enhance the interfacial tension, due to their high difference with filler surface energy (γf). Furthermore, the percolation onset (\(\:{\varphi\:}_{p}\)) is another important factor, since it manages the creation and size of network in the nanocomposites9,27. So, k can be connected to these parameters as:
which is a dimensionless factor depending on the surface energies of components and percolation onset.
γ pf can be estimated by the following equation34:
Also, the percolation onset can be linked to the features of CBs and interface/interphase. There is an inverse relation relationship between the percolation onset and interphase size (t), since a bigger interphase reduces the distance among nanoparticles and facilities their networking23. Also, the interfacial tension inversely handles the percolation onset, as higher interfacial tension produces the agglomerated nanoparticles with numerous contacts26. However, an increase in the CB radius (R) and polymer surface tension raises the percolation threshold, since they limit the contact area among nanoparticles. Based on this explanation, the percolation threshold is expressed by the following equation:
which will be confirmed by the experimented ranges of various samples in Sect. 3.2.
The interphase formation originates from interfacial energy and interactions among the polymer and nanoparticles35,36,37,38. However, both interphase depth and interfacial energy are considered in the developed methodology. Although the interfacial energy affects the interphase size, it manipulates the dispersion of nanoparticles and the extent of networks in the samples. Actually, both interphase depth and interfacial energy manage the size of networks and percolation onset regulating the nanocomposite conductivity. Furthermore, quantum tunneling probability strongly depends on the interfacial energy states, such as barrier height and electronic density of states, but the dimensions of tunnels and the polymer tunneling resistivity are the independent parameters manipulating the charge transfer in the samples. Also, the interphase is often described as consisting of bonded/bound/loose layers reflecting strong interfacial interactions near the filler and a weakly constrained outer region39. This concept is considered in the proposed model by interphase depth near the nanoparticles.
Equation (4) develops the Eq. (5) to:
Equations (4) and (6) develop k (Eq. 3) to this form:
Substituting of Eqs. (2) and (7) into Eq. (1) produces an advanced model for PCB conductivity as:
which explicitly links the conductivity of PCBs to tunneling characteristics, percolation onset, interfacial tension and network volume percentage.
ϕN also depends on the percolation onset and effective CB amount, which are expressed by the size of CB and interphase, interfacial tension as well as CB concentration.
The interphase area grows the effectiveness of nanoparticles for the reinforcing and networking, since the interphase can contribute to the network of filler, and increase its size9,27. The effective volume portion of nanoparticle (ϕeff) considers the interphase contribution by:
where \(\:{\varphi\:}_{f}\:\)represents the filler concentration.
The proportion of networked nanoparticles in the samples, denoted by f is defined as40:
which can be calculated by CB and interphase/interface characteristics assuming Eqs. 6 and 9.
f determines the volume percentage of CB/interphase network in the PCBs by:
which can be expanded using Eqs. 9 and 10 as:
revealing that \(\:{\varphi\:}_{N}\) can be calculated by the meaningful and obtainable parameters for CB and interphase. When \(\:{\varphi\:}_{N}\) from Eq. 12 is switched to Eq. 8, the PCB conductivity is easily estimated using the expressive and significant variables. The developed model properly integrates the key parameters, such as CB size, interphase size, surface energies of polymer and CB, contact diameter, tunneling size, the percentage of CBs within the network, and percolation onset. Notably, there is no model that concurrently considers all these factors within a simple model for the conductivity of PCBs.
Results and discussion
Evaluation of parameters
The advanced model may be used to examine the impressions of all factors on the PCB conductivity (shortened as conductivity here). R = 15 nm, t = 10 nm, λ = 4 nm, ϕf = 0.04, p = 150 Ω.m, γp = 35 mN/m, and γf = 55 mN/m are supposed as the medium levels in all estimations.
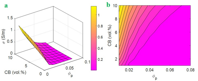
Figure 2 discloses how the ϕp and ϕf as percolation onset and CB volume percentage influence the conductivity. ϕp = 0.01 and ϕf = 0.1 optimize the conductivity to 1.2 S/m, but ϕp > 0.07 produces an insulated system. The lowest level of percolation onset and the highest amount of CB yield the highest conductivity for the samples. However, high ranges of ϕp cannot improve the charge transfer in the PCB. Actually, smaller amounts of CB and higher range of percolation onset decrease the conductivity.
Depiction of conductivity by (a) 3-D image and (b) contour design at various levels of ϕp and ϕf.
The percolation onset controls the amount of network in the PCBs assuming Eq. 12. A lower ϕp reveals that more CBs participate in the network, but less number of CBs are dispersed in the system. Since a bigger network intensifies the charge transfer, a lower ϕp provides a significant improvement in the conductivity. Conversely, a higher ϕp causes less number of CBs in the network restricting the charge transfer, because a shorter network cannot develop the conductivity. This trend was stated in the earlier reports on the conductivity of nanocomposites23,41, verifying the advanced model.
At lower amount of CBs, the particles are dispersed in the system and cannot form a network. So, the conductivity remains minimal due to the absence of effective paths for electron transfer. However, higher amount of CBs reach and proceed the percolation onset producing the effective network for conductivity. Actually, higher number of CBs enlarge the network and improve the electron transfer. Hence, higher amount of CBs positively manages the conductivity, validating the developed model. Many papers experimentally reported the same trend for various systems of PCBs32,42,43.
Figure 3 observes the conductivity related to γp and γf as the surface tension of both polymer and CB. The top conductivity of 1.6 S/m is attained by the lowest polymer surface tension of 20 mN/m and the top CB surface tension of 60 mN/m. Nevertheless, higher γp and poorer γf reduce the conductivity and an insulated sample is detected at γp > 30 mN/m and γf < 45 mN/m. Accordingly, lower γp and greater γf should be set to optimize the conductivity in the PCBs.
Powers of γp and γf on the conductivity by (a) 3-D picture and (b) contour scheme.
Both polymer and CB surface tensions control the dispersion of nanoparticles in the system34. A smaller surface tension of polymer and higher CB surface energy enhances the interfacial tension (Eq. 4), which weakens the wettability of particles by the polymeric chains. In this status, nanoparticles prefer to aggregate or agglomerates in the samples rather than the dispersion and distribution. So, the contacts among CBs increase, which cerate the conductive paths for conductivity. Conversely, higher γp and lower γf minimize the interfacial tension, which facilitates the wettability of nanoparticles by the polymer chains providing more dispersion within the polymer matrix. Actually, higher γp and lower γf worsens the contacts among nanoparticles and eases their dispersion within the system shortening the network. Consequently, greater γp and smaller γf harmfully manage the CB dispersion worsening the conductivity. According to this explanation, the novel model precisely reflects the relation between the conductivity and the surface tensions of CB/polymer constituents.
Figure 4 explains the predictions of model by the variation of tunneling distance and diameter. A peak conductivity of 11.5 S/m is attained at λ = 2 nm and d = 45 nm, while λ > 5 nm or d < 20 nm produce an insulating sample. Minimal range of tunneling distance with the wider tunnels maximize the conductivity. However, bigger tunnels with the smaller wildness weaken the conductivity. Also, the biggest tunnels or the smallest diameter of tunnels cannot improve the charge transfer in the samples.
Larger tunnels yield a higher resistance against the electron transfer, because the tunneling resistance directly depends on the tunnel size27,33. In fact, bigger tunnels include a thicker insulating materials among the CBs restricting the charge transfer. In contrast, narrower tunnels provide weak resistance against electron transfer providing more conductivity. The slimmer tunnels can improve the electron jumping through the nearby nanoparticles developing the conductivity. Accordingly, the tunneling distance undesirably manages the conductivity, as stated by the novel model.
Conductivity alteration by tunneling dimensions using (a) three-D picture and (b) two-D diagram.
Wider tunnels include the wider contacts among the CB nanoparticles improving the conductivity, because the wider contacts reduce the resistance against the electron transfer. Really, wider contacts provide the conductive pathways improving the conductivity. On the other hand, smaller contact area among the CB nanoparticles enhance the resistance and drops the charge transfer. Actually, smaller contact area cannot develop the effective pathways for electron transfer worsening the conductivity. Hence, the contact diameter directly governs the conductivity, certifying the developed methodology.
Figure 5 depicts how the conductivity varies with dissimilar ranges of R and t. The conductivity significantly increases to 2.1 S/m at R = 6 nm and t = 20 nm, but R > 25 nm and t < 15 nm produce an insulated system. Actually, tinier CBs with denser interphase encourage more conductivity, while bigger CBs with narrower interphase cannot improve the conductivity. These data reveal that the conductivity is optimized when the nanoparticles have the lowest radius and the interphase has the biggest size.
(a) 3-D and (b) contour configurations for the difference of conductivity by R and t.
Smaller CBs fall the percolation onset (Eq. 6) and enlarge the interphase region, enhancing the operative volume contribution of nanoparticles (Eq. 9). Therefore, smaller CBs grow the network portion (Eq. 10) increasing the size of network, which intensify the charge transferring. Really, lower size of CB nanoparticles produces the bigger network, which improves the conductivity. In contrast, larger CBs negatively raise the percolation onset and drop the operative volume contribution of nanoparticles, which create smaller network. The bigger CBs produce the shorter network, thereby reducing the conductivity. This clarification confirms the impact of CB radius on the conductivity, verifying the new model.
A deeper interphase produces a bigger network, as a denser interphase positively falls the percolation onset and enhances the operative filler amount. In fact, a denser interphase brings particles closer together and facilitates the network formation, improving the conductivity. However, a slim interphase cannot reduce the percolation onset and thus enhances the distance among nanoparticles. In this status, shorter network is created weakening the charge transfer. Consequently, the proposed model precisely produces a lower conductivity by a narrower interphase.
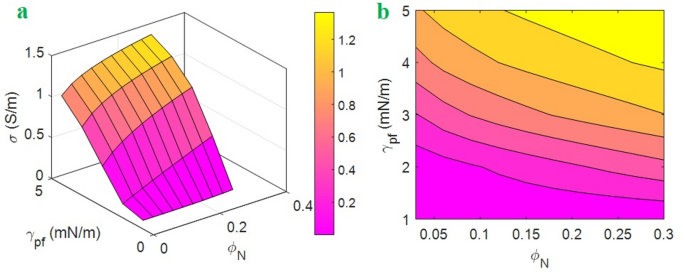
Figure 6 represents how network amount and interfacial tension control the conductivity. At ϕN = 0.3 and γpf = 5 mN/m, the conductivity is optimized to 1.4 S/m, mentioning that higher network amount and more interfacial tension improve the conductivity. However, less ranges of network amount and interfacial tension weaken the conductivity and the lowest γpf < 1.3 mN/m produce an insulated sample. Actually, the lowest amount of interfacial tension cannot cause the conductivity in the PCBs.
Dependence of conductivity on the network amount and interfacial tension by the patterns at (a) three and (b) two dimensions.
More network amount signifies the creation of bigger network, which facilities the charge transfer. Actually, more network concentration reflects that more nanoparticles contribute to the network transferring more electrons. Conversely, less network amount shows the higher extent of CB dispersion in the system shortening the network. Less network volume reveals that shorter network is created within the system, which poorly transfers the charge. Hence, the proposed model properly links the conductivity to the network volume percentage.
A higher range of interfacial tension discloses the lower wettability of the nanoparticles by the polymer medium, which produces a weak distribution of nanoparticles growing the wider contacts9. So, higher interfacial tension can produce the bigger pathways for electron transfer developing the conductivity. Nevertheless, lower interfacial tension leads to high nanoparticle dispersion and poor agglomeration, since the wetting by polymer chains grows in this status. Actually, lower interfacial tension provides the less contacts among nanoparticles worsening the conductivity. Therefore, the proposed model precisely correlates the conductivity to interfacial tension.
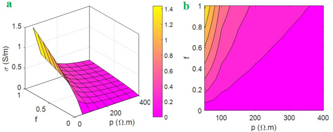
Figure 7 presents the impressions of p (polymer tunnel resistivity) and f (network fraction) on the predicted conductivity. The top conductivity as 1.43 S/m is attained by the poorest p = 50 Ω.m and f = 1. These data demonstrate that less p and higher f positively manage the conductivity. However, the conductivity drops to 0 at p > 360 Ω.m or f < 0.1. Actually, the highest tunnel resistivity and the least network portion cannot improve the conductivity and their optimization is essential to provide a good charge transfer in the samples.
(a) 3-D pattern and (b) contour picture revealing the impact of p and f on the conductivity.
More p as tunnel resistivity significantly grows the resistance of tunnels against the electron flow41. Actually, more p limits the electron transfer through tunnels weakening the conductivity. Conversely, less amount of p yields a poorer tunnel resistance providing more electron conduction. The p straightly handles the tunnel resistance and thus the conductivity inversely links to the p. This explanation discloses that the proposed model exactly connects the conductivity to the p.
Higher f levels reflect more CBs in the network, which creates bigger and denser network transferring more electron in the PCBs. Really, more f contributes more CBs to the network facilitating the electron transferring though the conductive pathways. In contrast, less f causes the smaller network and more distribution of CBs producing shorter network and limited conductivity. Truly, the electron transport occurs through the CB network and thus f has a significant role in the electron moving in the samples. Accordingly, f straightly handles the conductivity, as stated by the developed model.
Experimented data verifying the proposed model
The experimental results of six PCB samples are applied to support the reliability and validity of the developed model. The samples were derived from valid articles reporting the measured conductivity at numerous CB concentrations. The variations in sample thickness, applied voltage (electric field), sample geometry, and measurement temperature can significantly affect the conductivity, but it is considered that the nanocomposites were prepared and analyzed in accordance with standard conditions. Also, the temperature, in particular, strongly influences carrier mobility and tunneling probability, but the developed model is applicable for the measurements at ambient temperature. Table 1 tabulates the samples and their parameters. The average size of CBs with no agglomerates was reported from the original references. Also, the interparticle distance was determined by fitting the conductivity data to the developed model. We considered the maximum interparticle distance providing the charge transfer as 10 nm. γp (< 45 mN/m) was obtained from literature, but γpf was calculated by Eq. 4 at γf = 55 mN/m44,45,46. Both CB radius (< 50 nm) and percolation onset (< 0.1) were derived from the original papers. t as interphase depth (< 50 nm) is calculated from the fitting of percolation onset data to Eq. 6. However, it is difficult to determine the values of λ (< 10 nm), d (< 50 nm) and p (< 1000 Ω.m) by experiment. So, the tunneling parameters are predicted by fitting the conductivity data to the developed model.
The experimental values of ϕp for the samples are displayed in Table 1. The predicted values by Eq. 6 are also reported in Table 1, showing good alignment with the measured ϕp. By this comparison, the interphase thickness values (t) are estimated, which range from 5.3 nm to 37 nm. This variation lies in the nanoscale validating Eq. (6). Now, the proposed model (Eq. 8) is used to estimate the conductivity for the samples.
Figure 8 reveals the tested conductivity and the predicated values by Eq. 8 for the samples. The measured results properly match the model’s outputs, validation the proposed model. Actually, there is an acceptable arrangement among the measured and predicted conductivity in all samples, demonstrating the model’s reliability. The tunneling distance (λ) varies from 1.8 nm to 8 nm for the current systems. Also, d as contact diameter changes from 18 nm to 50 nm. These values are all reasonable, since they are comparable to the size of CB nanoparticles. Moreover, p as tunnel resistivity varies from 230 Ω.m to 700 Ω.m for the mentioned samples. The narrowest tunnels with the biggest contact diameter as well as the poorest p are all shown in the PVAc/CB system. Theoretically, PVAc/CB composite has the poorest tunnel resistance, which provides the highest conductivity. Figure 8 demonstrates that PVAc/CB composite has the highest measured conductivity among the samples. Therefore, the theoretical ranges of tunneling features in Table 1 properly align with the measured conductivity of samples corroborating the developed equations in the current paper. The samples reported in Fig. 8 have the conductivity in the range of 0–150 S/m, fitting with the developed model. However, the predictions of the developed model are not limited to this range. The developed model can predict a high range of conductivity, which is applicable for the polymer CB nanocomposites as antistatic materials, EMI shielding and sensors. Actually, the target application of the proposed model includes many cases with various ranges of conductivities.
Conclusions
The current study advances a model for the conductivity of PCBs by the effective parameters of CBs, interphase/interface, network and tunnels. The plots revealed that all parameters correctly handle the conductivity and the model’s calculations showed good nearness with the experimented data of various examples. The lowest percolation onset and the highest amount of CBs yield the highest conductivity. ϕp = 0.01 and ϕf = 0.1 optimize the conductivity to 1.2 S/m, but ϕp > 0.07 produces an insulated system. Also, the top conductivity of 1.6 S/m is attained by the lowest γp = 20 mN/m and the top γf = 60 mN/m, while γp > 30 mN/m and γf < 45 mN/m cause an insulated sample. The tunneling dimensions have the strong effect on the conductivity and a peak conductivity of 11.5 S/m is gained by λ = 2 nm and d = 45 nm, though λ > 5 nm or d < 20 nm produce an insulating sample. Smaller CBs and thicker interphase yield a more conductivity and the conductivity significantly increases to 2.1 S/m at R = 6 nm and t = 20 nm, but R > 25 nm and t < 15 nm cause an insulated system. Both network amount and interfacial tension directly manage the conductivity and ϕN = 0.3 and γpf = 5 mN/m optimize the conductivity to 1.4 S/m. Additionally, less p and higher f positively manage the conductivity and the top conductivity of 1.43 S/m is reached by the poorest p = 50 Ω.m and f = 1, while an insulated system is created by p > 360 Ω.m or f < 0.1. All these data help to optimize the conductivity in the PCBs facilitating their usages in the developed industries.
Data availability
The data that support the findings of this study are available on request from corresponding author.
References
Saberi, M., Moradi, A., Ansari, R., Hassanzadeh-Aghdam, M. K. & Jamali, J. Developing an efficient analytical model for predicting the electrical conductivity of polymeric nanocomposites containing hybrid carbon nanotube/carbon black nanofillers. Compos. Part A: Appl. Sci. Manufac. 185, 108374 (2024).
El-Khiyami, S. S., Ali, H., Ismail, A. & Hafez, R. Tunable physical properties and dye removal application of novel Chitosan Polyethylene glycol and polypyrrole/carbon black films. Sci. Rep. 15 (1), 20124 (2025).
Elmaghraby, N. A. et al. Fabrication of carbon black nanoparticles from green algae and sugarcane bagasse. Sci. Rep. 14 (1), 5542 (2024).
Fernandez, M. G. C., Hakim, M. L., Alfarros, Z., Santos, G. N. C. & Muflikhun, M. A. Nanoengineered polyaniline/carbon black VXC 72 hybridized with woven abaca for superior electromagnetic interference shielding. Sci. Rep. 15 (1), 14548 (2025).
Laithong, T., Nampitch, T., Ourapeepon, P. & Phetyim, N. Quality improvement of recycled carbon black from waste tire pyrolysis for replacing carbon black N330. Sci. Rep. 15 (1), 23726 (2025).
Lotfy, V. F., Basta, A. H. & Shafik, E. S. Assessment the performance of chemical constituents of agro wastes in production safety alternative carbon black filler in rubber composite purpose. Sci. Rep. 15 (1), 11035 (2025).
Xiu, H. et al. Formation of new electric double percolation via carbon black induced co-continuous like morphology. RSC Adv. 4 (70), 37193–37196 (2014).
Mazaheri, M., Payandehpeyman, J. & Jamasb, S. Modeling of effective electrical conductivity and percolation behavior in conductive-polymer nanocomposites reinforced with spherical carbon black. Appl. Compos. Mater. 1–16. (2022).
Abdollahi, F. et al. A predictive model for electrical conductivity of polymer carbon black nanocomposites. Polym. Compos. 46, 7491–7502 (2025).
Dwivedi, P., Rathore, A. K., Srivastava, D. & Vijayakumar, R. Impact on mechanical and thermal characteristics of epoxy nanocomposites by waste derived carbon nanotubes, carbon black, and hybrid CNT/FCB reinforcing materials. Polym. Compos. 45 (13), 11701–11713 (2024).
Tian, C. et al. Revealing the nanoscale reinforcing mechanism: How topological structure of carbon black clusters influence the mechanics of rubber. Compos. Sci. Technol. 258, 110847 (2024).
Robertson, C. G. & Hardman, N. J. Nature of carbon black reinforcement of rubber: Perspective on the original polymer nanocomposite. Polymers 13 (4), 538 (2021).
Song, P., Song, J. & Zhang, Y. Stretchable conductor based on carbon nanotube/carbon black silicone rubber nanocomposites with highly mechanical, electrical properties and strain sensitivity. Compos. Part. B: Eng. 191, 107979 (2020).
Payandehpeyman, J., Mazaheri, M., Zeraati, A. S., Jamasb, S. & Sundararaj, U. Physics-based modeling and experimental study of conductivity and percolation threshold in carbon black polymer nanocomposites. Appl. Compos. Mater. 1–21. (2023).
Szadkowski, B., Marzec, A. & Zaborski, M. Use of carbon black as a reinforcing nano-filler in conductivity-reversible elastomer composites. Polym. Test. 81, 106222 (2020).
Hilarius, K. et al. Influence of shear deformation on the electrical and rheological properties of combined filler networks in polymer melts: Carbon nanotubes and carbon black in polycarbonate. Polymer 54 (21), 5865–5874 (2013).
Chen, J., Cui, X., Sui, K., Zhu, Y. & Jiang, W. Balance the electrical properties and mechanical properties of carbon black filled immiscible polymer blends with a double percolation structure. Compos. Sci. Technol. 140, 99–105 (2017).
Shao, J., Liu, X. & Ji, M. Effect of interfacial properties of filled carbon black nanoparticles on the conductivity of nanocomposite. J. Appl. Polym. Sci. 139 (6), 51604 (2022).
Zare, Y., Munir, M. T., Rhee, K. Y. & Park, S-J. New insights to effective carbon nanofiber features due to defective interphase for prediction of tunneling conductivity in composites. Sci. Rep. 15 (1), 34786 (2025).
Zare, Y., Naqvi, M., Rhee, K. Y. & Park, S-J. Simulation of electrical conductivity for polymer carbon nanofiber composites assuming an extended nanofiber by interphase depth and tunneling distance. Sci. Rep. 15 (1), 31623 (2025).
Haghgoo, M., Ansari, R. & Hassanzadeh-Aghdam, M. Predicting effective electrical resistivity and conductivity of carbon nanotube/carbon black-filled polymer matrix hybrid nanocomposites. J. Phys. Chem. Solids. 161, 110444 (2022).
Zhang, Q. et al. Improved electrical conductivity of polymer/carbon black composites by simultaneous dispersion and interaction-induced network assembly. Compos. Sci. Technol. 179, 106–114 (2019).
Zare, Y., Naqvi, M., Rhee, K. Y. & Park, S-J. Unraveling the roles of network and tunnels in the conductivity of carbon nanofiber composites. Sci. Rep. 15 (1), 35459 (2025).
Zare, Y., Munir, M. T. & Rhee, K. Y. Assessment of electrical conductivity of polymer nanocomposites containing a deficient interphase around graphene nanosheet. Sci. Rep. 14 (1), 8737 (2024).
Zare, Y., Munir, M. T. & Rhee, K. Y. A novel approach to predict the electrical conductivity of nanocomposites by a weak interphase around graphene network. Sci. Rep. 14 (1), 21514 (2024).
Zare, Y., Naqvi, M., Rhee, K. Y. & Park, S-J. Advancing conductivity modeling: A unified framework for polymer carbon black nanocomposites. J. Mater. Res. Technol. 36, 26–33 (2025).
Hadi, Z. et al. A model for effective conductivity of polymer nanocomposites containing MXene nanosheets. Polym. Compos. (2025).
Xu, W., Lan, P., Jiang, Y., Lei, D. & Yang, H. Insights into excluded volume and percolation of soft interphase and conductivity of carbon fibrous composites with core-shell networks. Carbon 161, 392–402 (2020).
Zare, Y., Munir, M. T., Rhee, K. Y. & Park, S. J. Multifactorial predicting of conductivity in polymer nanocomposites with graphene: Insights into imperfect interphase conduction. Polym. Compos. (2025).
Rebeque, P. V. et al. Analysis of the electrical conduction in percolative nanocomposites based on castor-oil polyurethane with carbon black and activated carbon nanopowder. Polym. Compos. 40 (1), 7–15 (2019).
Ren, D., Zheng, S., Huang, S., Liu, Z. & Yang, M. Effect of the carbon black structure on the stability and efficiency of the conductive network in polyethylene composites. J. Appl. Polym. Sci. 129 (6), 3382–3389 (2013).
Gao, Q., Liu, J. & Liu, X. Electrical conductivity and rheological properties of carbon black based conductive polymer composites prior to and after annealing. Polym. Polym. Compos. 29 (9_suppl), S288–S95 (2021).
Zare, Y., Munir, M. T. & Rhee, K. Y. Influences of defective interphase and contact region among nanosheets on the electrical conductivity of polymer graphene nanocomposites. Sci. Rep. 14 (1), 13210 (2024).
Taherian, R. Experimental and analytical model for the electrical conductivity of polymer-based nanocomposites. Compos. Sci. Technol. 123, 17–31 (2016).
Boomhendi, M., Vatani, M. & Zare, Y. Predicting of tunneling conductivity for polymer-carbon black nanocomposites by interphase percolation. Sci. Rep. 15 (1), 42322 (2025).
Zare, Y., Munir, M. T., Rhee, K. Y. & Park, S-J. Bridging the nano-scale interphase with macro-scale properties: Two-step simulating of electrical conductivity for polymer composites incorporating carbon nanofibers. J. Mater. Res. Technol. 37, 3578–3585 (2025).
Zare, Y., Naqvi, M., Rhee, K. Y. & Park, S-J. Controlling of tunneling resistance in carbon nanofiber polymer composites: A novel equation for polymer tunneling resistivity by quantifiable parameters. J. Mater. Res. Technol. 36, 3949–3957 (2025).
Zare, Y., Munir, M. T. & Rhee, K. Y. A new pattern for conductivity of carbon nanofiber polymer composites with interphase and tunneling parameters. Compos. Part A: Appl. Sci. Manufac. 190, 108721 (2025).
Tanaka, T., Kozako, M., Fuse, N. & Ohki, Y. Proposal of a multi-core model for polymer nanocomposite dielectrics. IEEE Trans. Dielectr. Electr. Insul. 12 (4), 669–681 (2005).
Feng, C. & Jiang, L. Micromechanics modeling of the electrical conductivity of carbon nanotube (CNT)–polymer nanocomposites. Compos. Part A: Appl. Sci. Manufac. 47, 143–149 (2013).
Zare, Y., Munir, M. T., Rhee, K. Y. & Park, S-J. Decrypting of effective resistance for composites of polymer-carbon nanofiber: An applicable approach to regulate the electrical conductivity. J. Mater. Res. Technol. (2025).
Grunlan, J. C., Gerberich, W. W. & Francis, L. F. Lowering the percolation threshold of conductive composites using particulate polymer microstructure. J. Appl. Polym. Sci. 80 (4), 692–705 (2001).
Dang, Z-M. et al. Complementary percolation characteristics of carbon fillers based electrically percolative thermoplastic elastomer composites. Compos. Sci. Technol. 72 (1), 28–35 (2011).
Kang, M-J., Heo, Y-J., Jin, F-L. & Park, S-J. A review: role of interfacial adhesion between carbon blacks and elastomeric materials. Carbon Lett. 18, 1–10 (2016).
Fenouillot, F., Cassagnau, P. & Majesté, J-C. Uneven distribution of nanoparticles in immiscible fluids: Morphology development in polymer blends. Polymer 50 (6), 1333–1350 (2009).
Koysuren, O., Yesil, S. & Bayram, G. Effect of surface treatment on electrical conductivity of carbon black filled conductive polymer composites. J. Appl. Polym. Sci. 104 (5), 3427–3433 (2007).
Author information
Authors and Affiliations
Contributions
Y.Z. and M.T.M wrote the main manuscript text. J-H.C. and K.Y.R. revised the paper.
Corresponding authors
Ethics declarations
Competing interests
The authors declare no competing interests.
Additional information
Publisher’s note
Springer Nature remains neutral with regard to jurisdictional claims in published maps and institutional affiliations.
Rights and permissions
Open Access This article is licensed under a Creative Commons Attribution-NonCommercial-NoDerivatives 4.0 International License, which permits any non-commercial use, sharing, distribution and reproduction in any medium or format, as long as you give appropriate credit to the original author(s) and the source, provide a link to the Creative Commons licence, and indicate if you modified the licensed material. You do not have permission under this licence to share adapted material derived from this article or parts of it. The images or other third party material in this article are included in the article’s Creative Commons licence, unless indicated otherwise in a credit line to the material. If material is not included in the article’s Creative Commons licence and your intended use is not permitted by statutory regulation or exceeds the permitted use, you will need to obtain permission directly from the copyright holder. To view a copy of this licence, visit http://creativecommons.org/licenses/by-nc-nd/4.0/.
About this article
Cite this article
Zare, Y., Munir, M.T., Choi, JH. et al. Estimation of electrical conductivity for polymer composites with carbon black nanoparticles by interphase depth, tunneling characteristics and network percentage. Sci Rep 16, 11023 (2026). https://doi.org/10.1038/s41598-026-41789-5
Received:
Accepted:
Published:
Version of record:
DOI: https://doi.org/10.1038/s41598-026-41789-5










