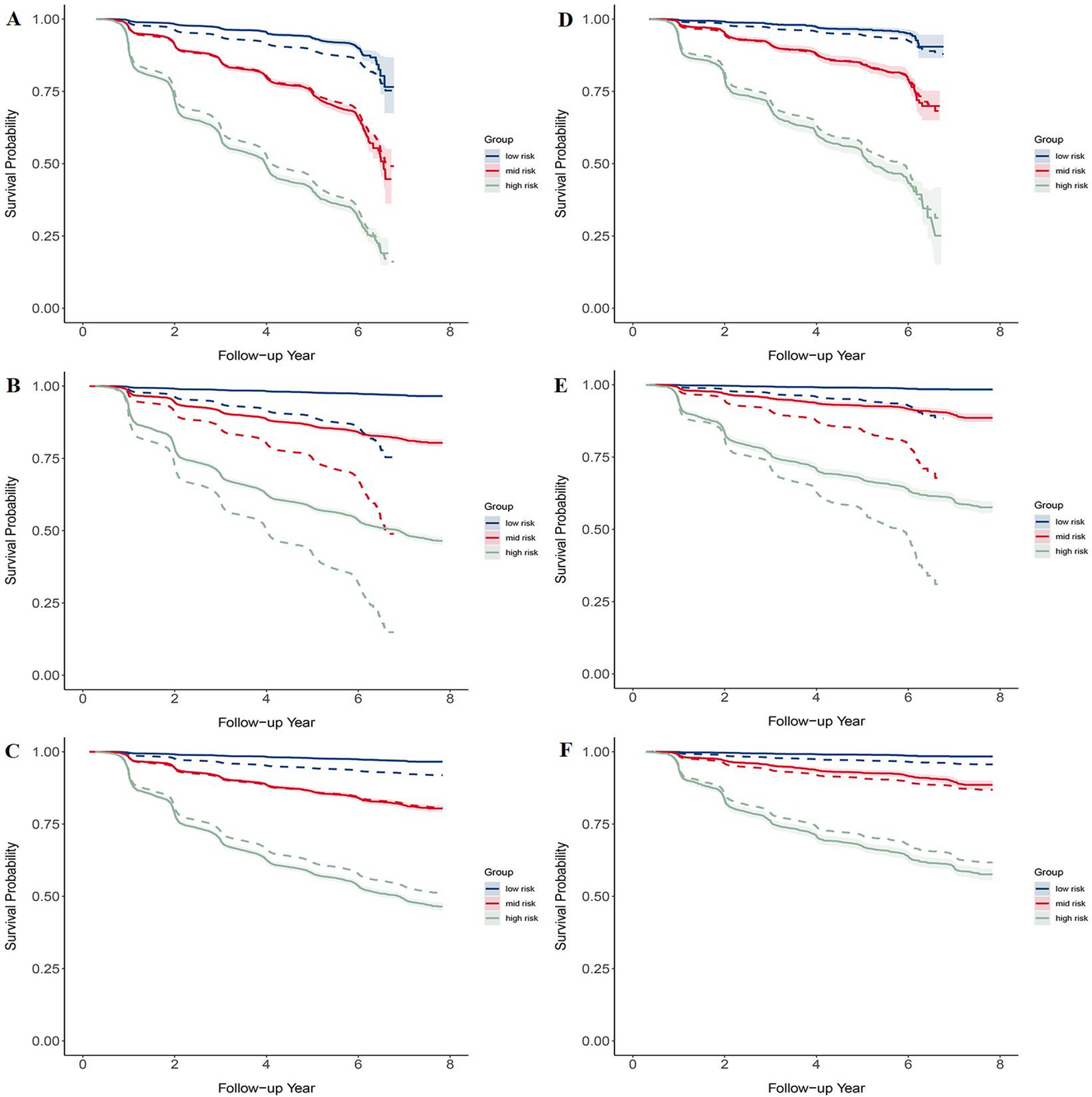
Fig. 3

The observed K-M survival curves and the predicted survival curves of the three risk groups of derivation set and validation set in males and females. (A) K-M curves of derivation set in males. (B) K-M curves of the validation set in males before re-calibration. (C) K-M curves of the validation set in males after re-calibration. (D) K-M curves of derivation set in females. (E) K-M curves of the validation set in females before re-calibration. (F) K-M curves of the validation set in females after re-calibration.