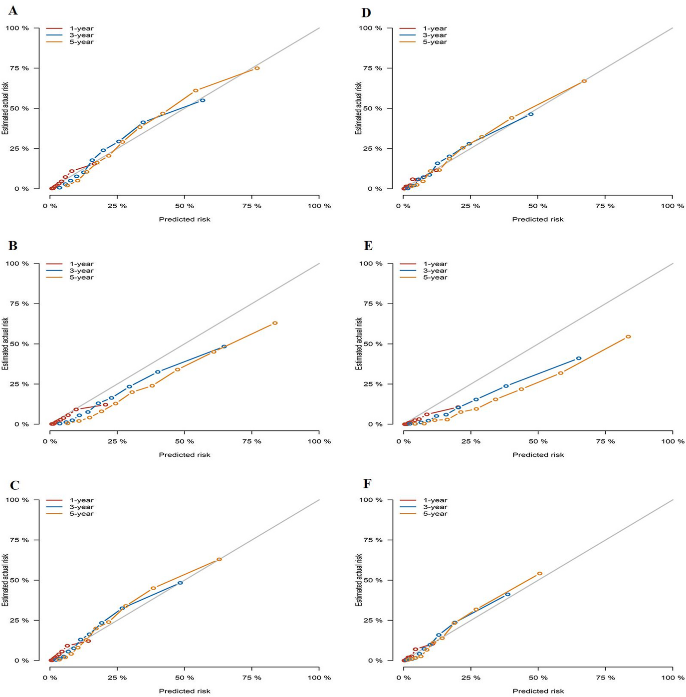
Fig. 4

Calibration plots of derivation set and validation set in males and females at 1, 3, and 5 years. (A) Calibration plots of derivation set in males. (B) Calibration plots of the validation set in males before re-calibration. (C) Calibration plots of the validation set in males after re-calibration. (D) Calibration plots of derivation set in females. (E) Calibration plots of the validation set in females before re-calibration. (F) Calibration plots of the validation set in females after re-calibration.