Abstract
Post-installing steel bars—or anchors—using chemical agents is nowadays instrumental in repairing and strengthening existing concrete structures. In this experimental research project, beside three cast-in-place specimens provided with ordinary ribbed bars (reference specimens), eighteen specimens were designed and cast to investigate bond performance of chemically-bonded steel bars placed inside concrete blocks, subjected to a pull-out load. Specimens and reinforcement consisted in concrete cubes (side a = 250 mm) and small bars (diameter db = 10 mm). Concrete strength on cubes was 28 MPa. The parameters under investigation were: bonded length (Lb = 5/10/15 db), drilled-hole diameter (= 1.2/1.6/1.8 db), bar properties (ribbed or threaded surface in the post-installed bars) and adhesive type (Sikadur 31CF and Kimapoxy 165). Bond-slip response, bond strength and bar slip at the peak stress, failure modes, as well as bond ductility and stiffness were thoroughly investigated. As expected, in most of the chemically-bonded and cast-in-place specimens bond failure was by steel yielding within a pull out framework (no cover splitting). For the intermediate and largest hole diameters (= 1.6 and 1.8 db), the load-bearing capacity of post-installed bars was slightly larger than that of ordinary bars. In the specimens with post-installed bars, the bearing capacities with Sikadur 31CF and Kimapoxy 165 turned out to be very close for any bonded length. The bond capacity of post-installed threaded bars was from 12 to 21% less than that of post-installed ribbed bars. Compared to ordinary ribbed bars, bond ductility in post-installed bars was higher (from + 18 to + 25% for Lb = 5 db) or even much higher (from 5 to 10 times for Lb = 10 and 15 db). Finally, to evaluate bond resistance of post-installed bars, a new equation is proposed to take care of all major parameters, based on the test results of this study.
Similar content being viewed by others
Introduction
The need for a more safe infrastructure has grown significantly because the civil facilities around the world have growth quickly in the last decades. These types of building constructions need constant servicing and repairs because of the growing risk to safety issues. The situation of steel-to-concrete and concrete-to-concrete connection is mentioned in1. Because of this, it had become essential to demolish old structures and rebuild them in a way that meets structural requirements. However, it is frequently not feasible to afford the direct and indirect expenses associated with demolishing and reconstructing structurally flawed structures2. As a result, structural retrofitting is the primary course of action and is given increased emphasis by engineers. When it comes to existing structures, there are several corrective measures that may be taken to enhance their mechanical properties. The application of anchor systems is one of the most efficient strategies. Anchor systems are often used for connecting new structural parts to existing ones, reinforcing and adapting old projects structurally, and working with reinforced or plain concrete. There are two types of connectors that are employed to connect various structural elements to concrete: post-installed concrete and cast-in-place concrete3,4,5. For structural extension and rebuilding, post-installed anchoring devices are a highly effective connection method, and a lot of research has been done on adhesive anchor performance. Post-installed fastening systems, also known as anchorages, are widely utilized because of their great adaptability to a wide range of applications and the enhanced performance attained over the past few decades via ongoing system refining. The most design freedom is specifically provided by bonded bars, as they may be made to fit a wide variety of sizes. Drilling holes and putting binders or adhesives within the bar allow post-installed reinforcement to be inserted into a hardened concrete component. This technique is applied to many tasks, such as adhering freshly mixed concrete to previously laid concrete. Through the use of extra reinforcing, this permits uniform stress transfer, strengthening or continuity in the constructions. These bars are usually cemented in a pre-drilled hole using mortar or adhesive6,7.
There are two categories of bonded anchorages: grouted and adhesive. Steel bar anchors come in two varieties: threaded and deformed bar. In an adhesive anchor, the concrete and bar are bonded together by inserting the bar into a drilled hole and using adhesive. For this kind, it is advised that the drilled hole’s diameter be no more than 1.5 times the diameter of the anchor8. Deformed straight bars, deformed headed bars, and threaded bars were placed in a hole then grout was filled the void around the bars. It is advised that for this kind, the drilled hole’s diameter be around twice that of the anchor8. It is well known that the connection between the bars and adhesive determines how load or tension is transferred in reinforced concrete9,10.
Prevention to bar slip from the adhesive and the post-installed steel bar’s rib faces provides this transmission. An alternate term for the slip resistance is the bonding capacity, which is determined by 3 factors. The three main mechanisms are: (1) chemical adhesion (2) friction and (3) mechanical contact between the bar’s ribs and adjacent cement11,12. Understanding anchor performance in terms of capacity, slip, and other issues is essential13. Additionally, it’s critical to understand the physical characteristics of concrete anchor 14. In the post-installed rebars, shear or tension, or mixtures of the both, are used to load the anchor. Dynamic loads, which might happen in machine foundations, pipelines, bridges, and railroad barriers, is highly prevalent. Numerous studies have examined the anchorage length, edge spacing, agents utilized, and pitch of anchors in concrete. Impact of anchorage length and agent type on pull-out behavior of steel bars post-installed in the concrete were explored by Shahi et al.15. The impact of an unloaded end on the pull-out resistance of anchoring approach is investigated by Makoto et al.16. In order to reinforce or repair existing concrete structures, post-installation anchoring of steel bars using chemical agents is crucial. Numerous researchers have applied strengthening material bonding techniques to the components of aged concrete constructions. The Post-installation anchoring approach is the most effective way to connect strengthening material with existing concrete, as it has been shown to be very efficient in several prior studies17,18,19,20,21,22,23,24. Bond performance of deformed steel bar was studied using central pull out tests that was conducted by Fayed et al.25. Additionally, studies have looked into how chemically bonded bars behave in the concrete made of conventional dolomite2,26 and walls27. The tension performance of chemically bonded rebars post-installed in little-resistance concrete has also been investigated28. The performance in shear of chemically bonded bars post-installed in concrete was also studied29. The performance of chemically bonded rebars in the shear connections under fatigue and static loading was conducted by Kwon et al.30. Additionally, a thorough explanation of how loading rate affects the local loading characteristics of rebars with various collapse mechanisms was obtained31.
Large-diameter post-installed anchors underwent pull-out tests32. The findings verified that the pull-out force rose with increasing anchor diameter due to a rise in the connected region between rebar and the bonding adhesive. Furthermore, it was observed that the deformed anchor’s pull-out capability was double that of the plain anchor because of its grooves, which provide a mechanical interlocking resistance. Depending on the surface type (plain and groove), the diameter of the anchor, and other factors, three primary failure mechanisms were identified: pull-out of the bar, concrete failure, as well as combined cone damage. Four anchoring techniques were investigated experimentally by Wang33: epoxy agent with plain, epoxy agent with deformed, pre-mixed grout with plain, and pre-mixed grout with deformed bar.
The efficiency of several adhesive kinds used in post-installed anchors with diameters (db) of 8, 10, and 12 mm and varying post-installed depths (10 db, 15 db, and 20 db) was examined by Tayeh et al.34. Chemical adhesives such as EPICHOR 1786 and Sikadure-31CF as well as cement-based binders like ultra-high performance self-compacting concrete (UHPSCC) and mortar were used as anchorage adhesives. Results demonstrate a tight relationship between the adhesives’ use and the UHPSCC withdraw capacity levels. The pull-out capacity rises as the rebar’s diameter and embedded length both grow. The bonded length and contact area with the adhesives determine the collapse mode of chemically bonded anchors. Mortar was not as effective when using UHPSCC and chemical adhesives. Ahmed et al.35 created 108 specimens to assess the effectiveness of pull-out tests on chemically bonded anchors in concrete. Rebar diameter, compressive strength degree of the concrete, the ratio of concrete cover to rebar diameter rebar and bonded length were the test characteristics. According to the findings, epoxy resins work incredibly well as bonding agents when it comes to retrofitting concrete buildings at the concrete-steel interface.
Additional research is still required to compare the pull-out behavior of various steel anchors—both threaded and ribbed—inserted in concrete to cast-in-place anchors at various anchoring lengths. Furthermore, the majority of previous studies concentrated on the anchor diameter and rarely examined the impact of the drilled hole diameter. Consequently, the bond performance of threaded and ribbed chemically bonded anchors post-installed in concrete is the main topic of this work. Cast-in-place bars embedded in concrete blocks were tested a reference, while post-installed anchors post-installed in the existing concrete blocks using various chemical adhesives (Sikadur 31CF and Kemapoxy 165) as bonding agents made up the other specimens. This study’s primary goal is to investigate how different chemical adhesives, bonded lengths (5, 10, and 15 times the anchor diameter), diameter of the holes and rebar surface characteristics (ribbed and threaded) affect pull-out loads. The diameter of the holes was 1.6, 1.8, and 1.2 times that of the anchor.
Research importance
Additional research is still required to compare the pull-out behavior of various post-installed steel anchors, particularly those provided with a threaded surface, which has not been studied previously—inserted in concrete with cast-in-place anchors at various anchoring lengths. Furthermore, the majority of studies concentrated on the anchor diameter and infrequently examined the impact of the drilled hole diameter. Consequently, the pull-out behavior of threaded and ribbed post-installed anchors post-installed in concrete is the main topic of this work. Based on earlier studies, the majority of post-installed anchors in pull-out tests exhibited concrete failure, cover splitting, or anchor/bar yielding while a few post-installed anchors specimens shown pull-out failure. The explanation is that nearly all of the researches employed tiny diameter cylinders with thin concrete covers around the anchor, which causes the concrete splitting before anchor’s failure and prevents the anchor from reaching the pull-out load capacity. Consequently, nearly all of the study’s findings are questionable and even useless. In this investigation, large-sized concrete blocks were chosen to prevent concrete failure caused by splitting, and a suitable anchor diameter was chosen to prevent yielding or fracturing prior to bond failure in the pull-out mode.
Experimental program
Materials
Concrete
The materials used in this research project are: epoxy-based adhesive, steel bars and concrete. Sand was used as a fine aggregate in the concrete mixture together with graded crushed basalt dolomite with a maximum size of 15 mm, water, and Portland cement with a 42.5 grade. The mix proportions for water, cement, sand, and basalt are 150, 300, 650, and 1290 kg per cubic meter, respectively. Figure 1 shows the results of a mechanical sieve analysis of the employed basalt stone and sand. The physical properties of the components are listed in Table 1. The desired compressive strength of the concrete mix was 25 MPa. Three cubes and as many cylinders were cast to evaluate the compressive and tensile strengths of the concrete. After the usual 28-day curing, the compressive and tensile strength were close to 28 and 2.55 MPa, respectively.
Grading curve of the aggregates.
Steel bars
Ordinary ribbed steel bars and threaded steel bars were used as a reinforcement in the specimens to be tested according to the central pull-out mode. Bars were 10 mm diameter, approximately, with either ribbed or threaded surfaces. Figure 2 shows two bars used. Bar rib geometric features of the rebars utilized are important factor acting on the bond performance of bars. Both ribbed and threated bars had a deformation (spiral ribs) on its surface. Total diameter (dt) and net diameter (dn) of the bars were measured. Width (w), height (h), pitch (S) and angle (α) of the bar ribs also measured. For ribbed bar, diameters (dt and dn), width (w), height (h), pitch (S) and angle (α) were 11.1 mm, 9.5 mm, 3.1 mm, 0.8 mm, 6 mm, 420, respectively. For threaded bar, diameters (dt and dn), width (w), height (h), pitch (S) and angle (α) were 10.3 mm, 10 mm, 1 mm, 0.17 mm, 1.67 mm, 800, respectively. Ribbed rebar has discontinuous ribs while threaded bar has a continuous spiral rib. Average diameter of diameters (dt and dn) was equal 10.3 mm for ribbed bar and was 10.15 mm for threaded bar. It was seen that average diameter of both ribbed and threaded bars was similar and equal around 10 mm so that nominal diameter (d) of both ribbed and threaded bars is taken to be 10 mm in bonding length consideration. In this study, bonded length (Lb) was equal 5d, 10d, and 15d. In order to determine mechanical propertied of the bars used, uniaxial tension tests were performed. For both ribbed and threaded bars, elasticity modulus, yield stress and elongation were 200 GPa, 400 MPa and 15%, respectively. Ultimate tensile strength was 800 MPa for the ribbed bars and was 860 MPa for the threaded bars.
Post-installed steel bars used (mm).
Epoxy adhesive
The epoxy materials used in this study were Kemapoxy 16536 and Sikadur-31CF37. These materials are referred to as a high strength epoxy resin and are used to connect rebars to existing concrete. These resins offer the following advantages: they don’t shrink or slump, have excellent initial and final strength, are simple to use, don’t require priming material, and have outstanding resistance to chemicals. Such resins are also used for the adhesion of carbon fiber or steel strips to concrete. The first cure time for these goods is 60–80 min, and the service duration is 7 days. These items were divided into two sections: part A and part B. The two sections A and B were mixed for five to ten minutes at a moderate speed drill to produce components with a uniform hue. Since epoxy resins require such a long curing process, they must be applied between 20 and 90 min after the consistent color is achieved. After two weeks of curing at 20º to 25º C in a room temperature setting, the planted bars could be assessed. Tables 2 and 3 present a comparison of the characteristics collected from the producer of the two compounds.
Specimens
Twenty-one 250 × 250 × 250 mm concrete blocks were cast in the laboratory and allowed to cure for four weeks at room temperature (about 22º–30 ºC). Following that, the procedure of inserting the bars into the concrete blocks starts. The bar was inserted at the center of the block of concrete. In cases where the concrete cover around the anchor bar was 125 mm, a large block side width of 250 mm was chosen to permit the possibility of a pull-out failure mode and prevent concrete splitting around the post-installed bar. Furthermore, the block’s sufficient height of 250 mm was selected to be greater than the maximum bonded length of the anchor bars. The procedure for post-installing the bars in the center of the concrete block is shown in Fig. 3, step by step. The first step is to change the block’s orientation so that, for all specimens, its top surface served as the casting face (Fig. 3a). Next, use an electrical rotary drill to drill a vertical cylindrical hole that is the whole block height (250 mm) with the required diameter. After that, an air blower thoroughly cleaned the opening (Fig. 3b). A polyvinyl chloride (PVC) cannula was positioned at precise intervals at the loaded and unloaded ends of the bars to act as the steel bar’s sleeve, which may come loose in the specimen (Fig. 3c). The PVC cannula, which simulated an post-installed steel bar application in a structural concrete element, measured 50 mm at the bottom (unloaded) end of the bar. In order to prevent concrete shearing-related local failure at the top surface of the concrete block, the PVC cannula was ≥ 50 mm long at the loaded end of the bar. In addition, PVC cannulas had their ends paraffin-sealed to keep cement paste out during the casting process. Kemapoxy-165 or Sikadur 31CF epoxy was used to entirely seal the hole (Fig. 3d). Inside the hole, the bar was post-installed (Fig. 3e). After inserting embedded bars, specimens are depicted in Fig. 4.
From the concrete block to bar insertion, dim in mm.
Photographs of several specimens after the insertion of the bar.
Details of specimens
Efficiency of post-installing bars using epoxy compared to cast-in-place embedding bars was studied. Additionally, use of two different types of epoxy (Sikadur-31CF and Kemapoxy-165) was investigated. Three diameters of holing inside the concrete block (Ø = 1.2, 1.6 and 1.8 times bar diameter were conducted. Three bonded lengths at each epoxy type (Lb = 5 db, 10 db, and 15 db) were studied. Bar surface features at Lb = 5d, 10d, and 15d also investigated. To study these previous aims, 21 specimens were prepared. The anchor bars were epoxy-bonded in 18 specimens while the rest three specimens included bars embedded in normal concrete before casting (cast-in-place embedding bars). The three specimens included bars embedded in normal concrete were considered as control specimens. In all 21 specimens, positioning of all bars was adjusted vertically at the concrete block center. All bars used have the same nominal diameter (d = 10 mm). Table 4 lists the tested specimens. Every example notation has two letters and two numbers in it. While the second letter refers to the epoxy type (cast-in-place = N, Sikadur = S, and Kemapoxy = K), the first letter refers to the bar type (Ribbed = R and Threaded = T). The bonded length of the anchor bar Lb (5d = 5, 10d = 10, and 15d = 15) is denoted by the first number, while the hole diameter (Ø) is denoted by the second (no hole = 0, 12 mm = 12, 16 mm = 16, and 18 mm = 18).
Test setup and loading procedure
A press with a hydraulic jack (200 kN capacity) was used in the pull-out tests as shown in Fig. 5. The tests were force-controlled. The displacement at the loaded end was continuously recorded and stored in a data-acquisition system (sensor DS).
Test set up.
Results and observations
Failure modes
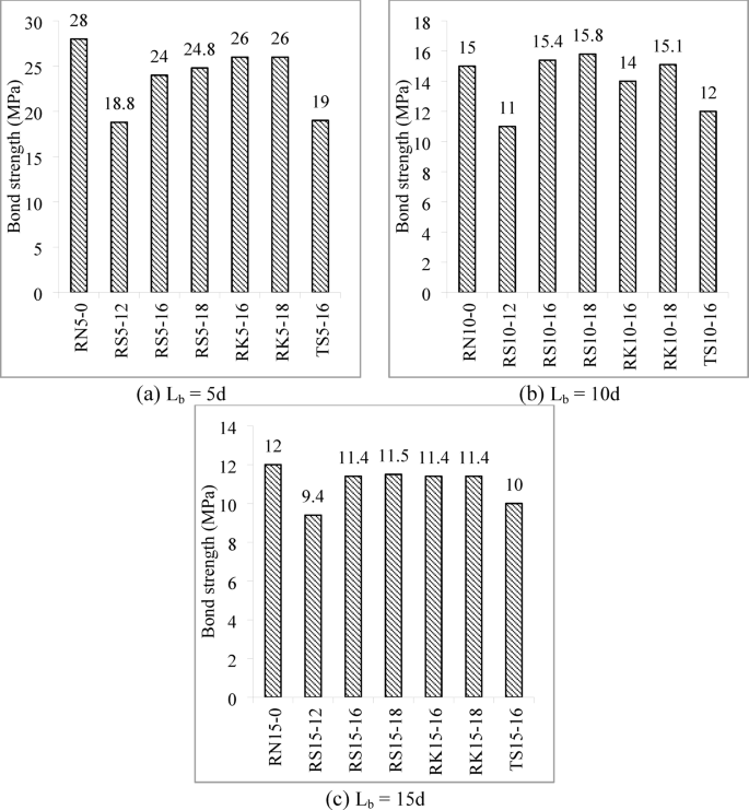
The maximum stress in each bar was evaluated by dividing the applied load by the nominal section of the bar. Both threaded and ribbed rebars used have a yield stress of 400 MPa. The results of all specimens, either post-installed and cast-in-place anchors via agents for different bonded distances of 5d, 10d and 15d, indicate that the failure mode was steel yielding. No splitting cracks occurred in the concrete block, as expected; thanks to the fairly thick net cover of the bar. Also, all post-installed and cast-in-place anchors reached yielding stress except two specimens (RS5-12 and TS5-16), as shown in Fig. 6. Hence, the bond capacity of both the post-installed bars and the bars embedded into cast-in-place specimens turned out to be stronger than the bond capacity of the bars, as required by structural design. It was observed that the cast-in-place specimens failed by slip of rebar from the concrete matrix as well as the post-installed anchors using chemical adhesives failed by slip of rebar from the epoxy agent.
Ultimate axial stress of all cast-in-place and post-installed anchors.
Bonding local bond stress-slip relationships
The maximum bond load (P) against corresponding slip of the anchor (S) was documented. Equation (1) was used to evaluate local bond stress (τ) which was suggested to be uniformly distributed along the bonding distance.
where the bond anchorage distance is denoted by Lb while dn is the bar net diameter where dn equal 9.5 mm and 10 mm for ribbed and threaded bars, respectively.
Figure 7 shows the local bonding stress against slip graphs of the specimens. The shape of the graph is generally seen to be split into three portions. The reaction begins with a steep upward trend that continues almost linearly until 60–80% of the peak load, at which point the mechanical and chemical interlocking of the rebar and concrete become increasingly prominent. The second section, which followed a nonlinear pattern and had a faster rise in anchor slip than the first, started at this point and continued until the peak load.
Bond stress-slip curves of all specimens.
The downward phase of the bonding response, which is likewise seen to follow a nonlinear form for all specimens, begins after the maximum point of bonding stress curve. The bond stress-slip relationships of specimens with bonded length equal 5, 10 and 15 times anchor diameter are shown in Fig. 7a, b and c, respectively. All specimen curves’ post-peak portions show a marked strain-softening phenomena, which denotes ductile behavior. Note that the larger the size of the drilled hole, the higher the bond strength, and the larger the bonded length, the lower the bond strength. Furthermore, compared to post-installed anchor specimens, the slip resistance of the cast-in-place specimens is much lower. Using Kimapoxy 165 rather of Sikadur 31CF results in a decrease in initial stiffness for the same bonded length. The smallest embedment length—five times the anchor diameter—offers the strongest bond strength of the three, despite a comparatively low slip rate. In comparison to post-installed anchor specimens, the slip at the stress peak of the cast-in-place specimen was the largest for the same bonded length. The slip at the stress peak of the cast-in-place specimen for the specimen group with an embedment length five times the anchor diameter was 3.47 mm, whereas the slips of the post-installed specimens varied between 0.5 and 2.85 mm.
Bond strength
Effect of using adhesive agents
Table 5 and Fig. 8 shows effect of using adhesive agents on maximum bond stress (τ u) of post-installed anchors compared to controls (cast-in-place specimens RN5-0, RN10-0 and RN15-0). Findings of the results confirmed that the τ u of cast-in-place specimen was the biggest compared to all post-installed anchors at the same bonded length either 5 db, 10 db or 15 db. Biggest decline ratio in the τ u was 48.94% which occurred in specimen RS5-12 (post-installed ribbed steel anchor using Sikadure 31CF inserted in a hole with diameter of 1.2 times anchor diameter and with bonded length of 5 times anchor diameter). On contrast, τu of some post-installed ribbed steel anchors, like RS10-16, RS10-18 and RK10-18, slightly improved compared to control specimen (RN10-0). Additionally, other some post-installed ribbed steel anchors, like RS15-16, RS15-18, RK15-16 and RK15-18, achieved a slight decline ratio about 4–5% compared to control specimen (RN15-0). It was seen that the method used in post-installed anchoring successes. As bonded length decreased, decline ratios in the bond strength of post-installed specimens were higher.
Effect of adhesive type on the maximum bond stress of post-installed bars.
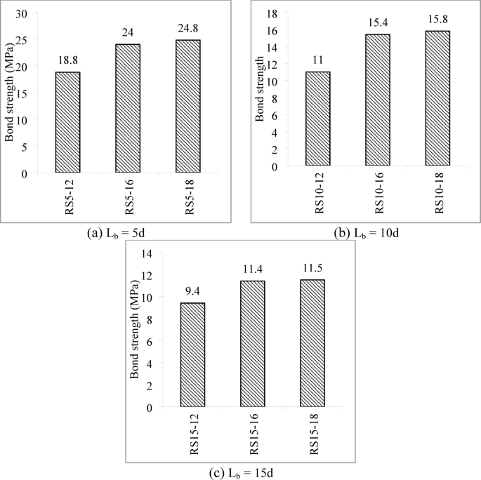
Effect of hole diameter
Table 6 and Fig. 9 shows effect of hole diameter on the bond strength (τu) of post-installed anchors. For three values of the bonded lengths (5 db, 10 db and 15 db), it was noticed that the bond strength improved with increase of hole diameter (Ø). The τu improved significantly when the Ø increased from 12 mm (1.2d) to 16 mm (1.6 db) but it proves without a significant increase when the Ø increased from 16 mm (1.6 db) to 18 mm (1.8d). At Lb = 5 db, the τu of post-installed rebar inserted in a hole with Ø = 1.6 db was 27.66% higher than that of post-installed rebar inserted in a hole with Ø = 1.2 db. At Lb = 10 db, the τu of post-installed rebar inserted in a hole with Ø = 1.6d was 40% higher than that of post-installed rebar inserted in a hole with Ø = 1.2 db. At Lb = 15 db, the τu of post-installed rebar inserted in a hole with Ø = 1.6 db was 21.28% higher than that of post-installed rebar inserted in a hole with Ø = 1.2d. These improvements in the τu due to increase in the Ø from 1.2 db to 1.6 db confirms that the diameter of the drilled hole has a fundamental effect on the value of bond strength of the post-installed anchors, but there is no benefit in increasing the hole diameter above 1.6 db.
Effect of hole diameter on maximum bond stress of post-installed anchors.
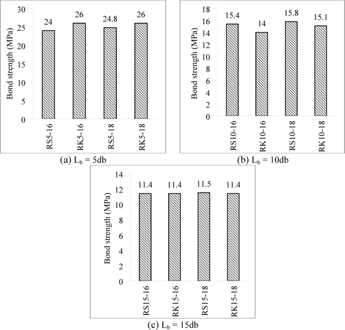
Effect of agent type
Table 7 and Fig. 10 show effect of the adhesive type (Sikadur and Kimapoxy) on the maximum bond stress (τu) of post-installed anchors. At three bonded lengths (5 db, 10 db and 15 db), it was noticed that the τu values of anchors bonded with Sikadur and Kimapoxy as well as inserted in holes with Ø = 1.6d and 1.8d were fairly close. Demonstrating that adhesive type had a minor effect on anchor’s bond capacity, most probably because the compressive strengths of the two adhesives are very close.
Effect of adhesive type on maximum bond stress of post-installed anchors.
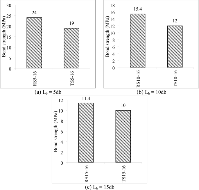
Effect of bar’s surface geometry
To guarantee an effective interlock between a bar and the embedment (either concrete or adhesive), a rough surface is imperative. The bond resistance increases with surface roughness. Table 8 and Fig. 11 show effect of anchor surface pattern (conventional reinforcing ribbed rebar with discontinues ribs and fully-threaded bars provided with a continues spiral rib) on the τu of post-installed anchors. In this investigation, three post-installed threaded anchors (TS5-16, TS10-16 and TS15-16) were inserted in drilled holes with Ø = 1.6 db. It was seen that ultimate bond strength of post-installed threaded bars was less than that of ribbed ones. For each of the three values of the bonded length (5 db, 10 db and 15 db), it was noticed that the τu values of threaded anchors (TS5-16, TS10-16 and TS15-16) were 20.83, 22.08 and 12.28% less than those of post-installed ribbed anchors RS5-16, RS10-16 and RS15-16, respectively. Additionally, width, height and pitch of the ribs were 3.1 mm, 0.8 mm and 6 mm, respectively, for ribbed anchors while it was 1 mm, 0.17 mm and 1.67 mm respectively, for threaded anchors. In order to determine which anchor type has the greater roughness, the rib coefficient (µ) was calculated using Eq. (2). The µ was 0.4 and 0.1, respectively, for ribbed and threaded anchors. As a result, the ribbed anchor achieved bigger bond strength referenced to threaded anchor.
where w, h and S are width, height and spacing of the ribs.
Effect of anchor surface properties on maximum bond stress of post-installed anchors.
Effect bonded length on maximum bond load and maximum bond stress
In Fig. 12, the effect of bonded length on maximum bond load and maximum bond stress of anchors stands out clearly. A three different bonded lengths (Lb = 5 db, 10 db and 15 db) were conducted at each cast-in-place anchor specimen and at post-installed anchor specimen. As expected, the larger the bonded length, the higher the pull-out load and the lower the bond strength. The bond length increases the contact area between the anchor and the concrete/agent, increasing friction and delaying the anchor’s sliding from the concrete. Consequently, the ultimate load (collapse load) increases, which explains why the pull-out load increases as the bond length increases. In other words, the pull-out force increases as insertion length increases, but the bond strength decreases as embedded length increases, which is consistent with all similar prior studies. As the bonded length increases, the pull-out force is distributed across a longer dimension, which ultimately results in reduced bond strength of the concrete.
Effect of bonded length on maximum bond load and bond strength of anchors.
Slip at the stress peak
As expected, the tests performed in this research project clearly show that the larger the slip at the bond-stress peak (su), the higher the bond ductility and the larger the slip value at collapse.
Effect of using adhesive agents
Table 9 shows effect of using adhesive agents on ultimate bond slip (su) of post-installed anchors. It was found that the cast-in-place anchor specimens (RN5-0, RN10-0 and RN15-0) achieved the biggest su in all three specimens with Lb = 5 db, 10 db and 15 db. In other words, the su of the post-installed anchors were less than that of the cast-in-place anchor specimens showing these specimens achieved smaller ductility. Compared to cast-in-place specimens, all of these results demonstrate that the adhesives used had a negative impact on the ultimate bond slip (su) of post-installed anchors at different bonded lengths (Lb = 5 db, Lb = 10 db, and Lb = 15 db), at different drilled hole diameters, and at two different types of anchors (threaded and ribbed). The anchor placed in a 16 mm diameter hole was bonded with Sikadur 31CF, which resulted in the largest percent decrease in su for two bonded lengths (Lb = 5 db and Lb = 15 db) where percent decreases were 594 and 1609.7%, respectively. Additionally, in specimens with Lb = 5 db, the Su of RS5-12, RK5-16 and TS5-16 was 73.5, 131.3 and 73.5% less than RN5-0.
Effect of hole diameter
Table 10 shows effect of hole diameter on slip at the stress peak (su) of post-installed anchors. as the larger the drilled-hole diameter, the higher the slip at the peak stress su in most of the specimens. su was 35% more in RS5-18 than in RS5-12. Su of RS10-16 and RS10-18 was, respectively, 55.6 and 254% greater than that of RS10-12 at Lb = 10d. Additionally, compared to all specimens installed in 16-mm holes, all specimens installed in 18-mm holes achieved larger su. Compared to similar specimens RS5-16, RS10-16, and RS15-16, the su of RS5-18, RS10-18, and RS15-18 was 440, 127, and 66% greater.
Effect of adhesive type
Table 11 is about the effect that the adhesive type has on the slip at the stress peak in post-installed anchors. It turns out that in both cases, the Kimapoxy 165-specimens provided more slip at the stress peak than the Sikadur 31CF. Showing that the Kimapoxy 165-specimens were more ductile about the the Sikadur 31CF-specimens. Specimen RK5-16, which was bonded with Kimapoxy 165, had a k that was 200% higher than specimen RS5-16, which was bonded with Sikadur 31CF. Specimen RK10-16, which was bonded with Kimapoxy 165, had a k that was 123% larger than specimen RS10-16, which was bonded with Sikadur 31CF. Specimen RK15-16, which was bonded with Kimapoxy 165, had a k that was 829% higher than specimen RS15-16, which was bonded with Sikadur 31CF.
Effect of anchor surface geometry
Table 12 shows effect of anchor surface geometry (ribbed and threaded) on slip at the stress peak of post-installed anchors. The slip at the stress peak of the threaded specimens TS5-16, TS10-16 and TS15-16 was 300, − 14 and 416%, respectively, much larger than that of similar ribbed specimens (RS5-16, RS10-16 and RS15-16). Hence, once more threaded bars are shown to be more ductile than ribbed bars.
Bond shear stiffness
Bond shear stiffness, that plays a sizable role in tension stiffening38 and more generally in the stiffness of RC cracked structures, is treated in the following sub-sections. Preliminarily, the definition of bond shear modulus should be introduced, as bond shear stiffness is the slope of the bond stress-bar slip curve at the origin point.
Effect of adhesive type
Table 13 shows effect of using adhesives on bond shear stiffness (k) of post-installed anchors. It was found that the cast-in-place anchor specimen (RN5-0) achieved the least bond stiffness (k = 8 MPa/mm) in group of specimens with Lb = 5d. Also, the cast-in-place anchor specimen (RN10-0) achieved the least bond stiffness (k = 6 MPa/mm) in group of specimens with Lb = 10d. The bond stiffness (k = 7.9 MPa/mm) of the cast-in-place anchor specimen (RN15-0) was the smallest among the specimens with Lb = 15d except two specimens (RK15-18 and TS15-16). All of these findings show that the adhesives employed had a beneficial influence on bond stiffness of post-installed anchors compared to cast-in-place specimens at various bonded lengths (Lb = 5d, Lb = 10d and Lb = 15d), at different diameters of drilled holes and at two types of anchors (threaded and ribbed). The k of RS5-16, RS10-16 and RS15-16 was 575%, 683.3% and 722%, respectively, higher than that of controls (RN5-0, RN10-0 and RN15-0). Also, using Kimapoxy 165 agent in specimens RK5-16, RK10-16 and RK15-16 increased the k by 400, 30 and 26.6%, respectively referenced to the similar controls (RN5-0, RN10-0 and RN15-0).
Effect of hole diameter
Table 14 illustrates the effects of hole diameter on the bond stiffness of post-installed anchors. At three bonded lengths, bars placed in the hole with the smallest diameter (Ø = 1.2d) exhibited a lower bond shear stiffness. In the majority of specimens, the optimal hole diameter was 16 mm (1.6d). The k of specimen RS5-16 and RS5-18 was 513.6 and 104.5% higher than that of control (RS5-12). The k of specimen RS10-16 and RS10-18 was 207.8% and 122.7% higher than that of control (RS10-12). The k of specimen RS15-16 and RS15-18 was 577% and 629% higher than that of control (RS15-12).
Effect of adhesive type
Table 15 shows effect of adhesive type on bond stiffness of post-installed anchors at the same conditions. The effects of the two kinds of epoxy used (Kimapoxy 165 and Sikadur 31CF) on the k at two hole diameters (16 mm and 18 mm) and three Lb of 5, 10 and 15 times d were compared. As it happens, the Sikadur 31CF performed better in both scenarios than the Kimapoxy 165. Specimen RK5-16, which was bonded with Kimapoxy 165, had a k that was 25.9% lower than specimen RS5-16, which was bonded with Sikadur 31CF. Specimen RK10-16, which was bonded with Kimapoxy 165, had a k that was 83.4% lower than specimen RS10-16, which was bonded with Sikadur 31CF. Specimen RK15-16, which was bonded with Kimapoxy 165, had a k that was 84.6% lower than specimen RS15-16, which was bonded with Sikadur 31CF.
Effect of anchor surface geometry
Table 16 shows effect of anchor surface geometry (ribbed and threaded) on bond stiffness of post-installed anchors. When threaded bars are used instead of ribbed bars, bond shear stiffness is significantly reduced. The k of TS5-16, TS10-16 and TS15-16 was 83.7, 73.2 and 90.5%, respectively, less than that of control specimens (RS5-16, RS10-16 and RS15-16), such being a demonstration that at the beginning of the loading process the slip rate of ribbed bars is markedly lower than that in threaded bars, thanks to the rougher surface of ribbed bars.
Bond ductility
The most significant ductility indicator for a structural element is displacement ductility capacity (DDC), that is the ratio between the slip at the stress peak and the slip corresponding to bar yielding, in this study. It is vital to research the impacts on bond ductility after examining the effects on ultimate bond strength, ultimate bond slip, bond stiffness, and pull-out load of post-installed anchors in relation to cast-in-place anchors. Therefore, at the anchor’s yield stress, the ultimate bond slip (su) is divided by the yielding slip (sy) to estimate the DDC in this study. Each specimen’s DDC was determined and is shown in Table 17. Almost the entirety of the results shows that the post-installation methods used has a beneficial influence on improving the bond ductility (DDC) of post-installed anchors compared to cast-in-place specimens at various bonded lengths (Lb = 5d, Lb = 10d and Lb = 15d), at different diameters of drilled holes and at two types of anchors (threaded and ribbed). The range of the gain in DDC for specimens with Lb = 5d is 17.5–24.6%, but for specimens with Lb = 10d, it was 3.5–1180%, and for specimens with Lb = 15d, it was 537.5%. When the hole diameter increases from 1.6d to 1.8d, the DDC of RS15-18 which bonded with Sikadur and with Lb = 15d increases by 196% over RS15-16. The DDC of threaded anchor TS15-16 which bonded with Sikadur and with Lb = 15d increases by 471% over RS15-16.
Predictive model
The maximum bond stress (τu) between the concrete and the embedded bars is vital for transferring stress from the concrete to the steel anchored bars, as well as for structural stability. Several scholars have presented numerous mathematical methods for evaluating the maximum bond stress of cast-in-place anchored bars but they did not induced formulas for evaluating the maximum bond stress of anchored bars. It was known that, these calculations models take into account impact of the compression resistance (fc) of surrounding concrete or adhesive used, anchor diameter (d), concrete cover thickness (c), bonded length (Lb), hole diameter (Ø) and surface geometry of the anchored bars such as rib height (h) and rib spacing (S). The findings of the presented study were analyzed using multiple linear regressions for deriving new equation that could evaluate the τu for all investigated specimens. Excel data analysis was used to carry out this regression. The considered parameters of this new equation are the c/d, d/Lb, h/S, and d/Ø. The normalized maximum bond stress (τu /\(\sqrt{{f}_{c}}\)) was suggested as the output parameter. The best equation for predicting the τu /\(\sqrt{{f}_{c}}\) is Eq. (3):
Equation (3) can be reformatted to Eq. (4) which is used to find the τu.
Predicted theoretical maximum bond stress (τu,theo) of cast-in-place and post-installed anchors using Eq. (4) are estimated and listed in Table 18. Table 18 depicts a comparison of the results of the proposed Eq. (4) and the experimental results of maximum bond stress for all examined specimens. R2 value of 0.92 for Eq. (4) correspondingly showed good agreement. Furthermore, the results yielded by Eq. 4 are conservative, accurate and in satisfactory agreement with the test results.
Conclusion
Bond strength and stiffness have been investigated in the case of post-installed anchored bars, either ribbed or threaded, having (a) the same diameter (10 mm); (b) three values for the bonded length (5/10/15 bar diameters); (c) two different adhesives (Sikadur 31CF and Kimapoxy 165); and (d) three different values for the diameter of the drilled hole containing the bar prior to the injection of the adhesive (hole diameter 20, 60 and 80% larger than bar diameter). Concrete cubes and cylinders were cast, the formers to be drilled (for the placement of the bars) and the latter to be tested in compression. In a number of cubes, the bars were installed before concrete casting (reference or control specimens). The main conclusions of this study are summarized below.
-
1.
All specimens had a pull-out failure mechanism. Based on experimental observation, it can be inferred that epoxy agents (Sikadur 31CF and Kimapoxy 165) are particularly successful as bonding agents at the bar-concrete interface because almost post-installed bars achieved maximum bond load close to cast-in-place bar under the same conditions, because almost all the post-installed anchored bars failed in the pull-out mode, similarly to the cast-in-place anchored bars, under the same conditions.
-
2.
In general, large hole diameters compared to bar diameter (+ 60 and + 80%) lead to values of bar pull-out capacity larger than that of the cast-in-place bars, while hole diameters close to bar diameter (+ 20%) lead to a reduction of the pull-out capacity compared to cast-in-place bars. In all cases, however, the bar slip at the peak load was markedly smaller in post-installed bars than in cast-in-place bars.
-
3.
The general bond-strength increase made possible by increasing the hole diameter (from + 20% to + 80% with respect to bar diameter in this study) seems to have an upper limit, as shown by the negligible increase between the two top cases (hole diameter increased by 60% and 80% compared to bar diameter).
-
4.
The type of adhesive injected between the hole and the bar seems to play a minor role for any bonded length (from 5 to 15 times the bar diameter in this study), but the ductility in terms of bar slip may be different.
-
5.
Generally ribbed bars guarantee a markedly larger bond strength than threaded bars, thanks to the greater roughness in the former case.
-
6.
As expected, increasing the bonded length increases the pull-out capacity of the anchored bar, but decreases the bond strength.
-
7.
Increasing the bonded length increases the ductility of the concrete + bar system in the case of post-installed bars, in contrast with cast-in-place bars.
-
8.
Based on the test results, an equation for the evaluation of the ultimate capacity of post-installed anchored bars has been formulated; the equation takes care of many parameters (concrete compressive strength; adhesive strength; bar diameter; bonded length; concrete-cover thickness; hole diameter; and surface geometry of the bar, including rib height and spacing) and is shown to be on the safe side and accurate in fitting the test results.
Limitations
These results relate to steel rods with a diameter of 10 mm. The bonded length is ranging from 5 to 15 times bar diameter. Adhesives are Sikadur 31CF and Kimapoxy 165. The drilled hole diameter is 1.2, 1.6 and 1.8 times bar diameter. The compressive and tensile strength of the concrete were 28 MPa and 2.55 MPa, respectively.
Data availability
Our objective is to maintain control over unsupervised usage that may lead to unintentional duplication of research efforts or reduced novelty in future studies. however, the dataset will be provided upon request. Please contact Sabry Fayed (email: sabry_fayed@eng.kfs.edu.eg) if anyone needs the data for this study.
References
Kim, J. S., Jung, W. Y., Kwon, M. H. & Ju, B. S. Performance evaluation of the post installed anchor for sign structure in South Korea. Constr. Build. Mater. 44, 496–506. https://doi.org/10.1016/j.conbuildmat.2013.03.015 (2013).
Contrafatto, L. & Cosenza, R. Behaviour of post-installed adhesive anchors in natural stone. Constr. Build. Mater. 68, 355–369. https://doi.org/10.1016/j.conbuildmat.2014.05.099 (2014).
Cook, R. Behavior of chemically bonded anchors. J. Struct. Eng. 119(9), 2744–2762 (1993).
Looney, T. J., Arezoumandi, M., Volz, J. S. & Myers, J. J. An experimental study on bond strength of reinforcing steel in self-consolidating concrete. Int. J. Concr. Struct. Mater. 6(3), 187–197 (2012).
Wang, D., Wu, D., Ouyang, C. & Zhai, M. Performance and design of post installed large diameter anchors in concrete. Constr. Build. Mater. 114, 142–150 (2016).
Brencich, A. A post-installed insert for pull-out tests on concrete up to 70 MPa. Constr. Build. Mater. 95, 788–801 (2015).
Soudki, K., El-Sayed, A. K. & Vanzwol, T. Strengthening of concrete slab-column connections using CFRP strips. J. King Saud Univ. Eng. Sci. 24(1), 25–33 (2012).
Eligehausen, R., Cook, R. A. & Appl, J. Behavior and design of adhesive bonded anchors. ACI Struct. J. 103(6), 822 (2006).
Çalışkan, Ö., Yılmaz, S., Kaplan, H. & Kıraç, N. Shear strength of epoxy anchors embedded into low strength concrete. Constr. Build. Mater. 38, 723–730 (2013).
Kim, J., Jung, W., Kwon, M. & Ju, B. Performance evaluation of the post-installed anchor for sign structure in South Korea. Constr. Build. Mater. 44, 496–506 (2013).
ACI-408R, 2003. Development of straight reinforcing bars in tension. pp. 3–4.
Lu, L., Tadepalli, P., Mo, Y. & Hsu, T. Simulation of prestressed steel fiber concrete beams subjected to shear. Int. J. Concr. Struct. Mater. 10(3), 297–306 (2016).
ACI-355 (1991) State-of-art report on anchorage to concrete. ACI Struct. J. 1–71
Li, Y., Winkler, B. & Eckstein, A. Failure analysis of anchoring systems in concrete. 1–4 (2005).
Shah, A. et al. Study on performance evaluation of adhesive anchors in concrete. Int. J. Adv. Struct. Geotech. Eng. 01(2), 74–78 (2012).
Obata, M., Inoue, M. & Goto, Y. The failure mechanism and the pull-out strength of a bond-type anchor near a free edge. Mech. Mater. 28(1–4), 113–122. https://doi.org/10.1016/S0167-6636(97)00052-5 (1998).
Basha, A., Fayed, S. & Elsamak, G. Flexural behavior of cracked RC beams retrofitted with strain hardening cementitious composites. KSCE J. Civ. Eng. https://doi.org/10.1007/s12205-019-1874-4 (2019) (April 9,).
Fayed, S., Basha, A. & Hamoda, A. Shear strengthening of RC beams using aluminum plates: An experimental work. Constr. Build. Mater. 221, 122–138 (2019).
Fayed, S. Flexural strengthening of defected RC slabs using strain-hardening cementitious composites (SHCC): An experimental work. Arab. J. Sci. Eng. https://doi.org/10.1007/s13369-019-04219-5 (2019).
Basha, A., Fayed, S. & Mansour, W. Flexural strengthening of RC one way solid slab with Strain Hardening Cementitious Composites (SHCC). Adv. Concr. Constr. 9(5), 511–527 (2020).
Galal, E. & Fayed, S. Flexural strengthening of RC beams using externally bonded aluminum plates: An experimental and numerical study. Adv. Concr. Constr. 11(6), 481–492 (2021).
Baraghith, A. T. et al. Effectiveness of SHCC strips reinforced with glass fiber textile mesh layers for shear strengthening of RC beams: Experimental and numerical assessments. Constr. Build. Mater. 327, 127036 (2022).
Fayed, S. et al. Shear behavior of RC pile cap beams strengthened using ultra-high performance concrete reinforced with steel mesh fabric. Case Stud. Constr. Mater. 17, e01532 (2022).
Maglad, A. M. et al. Experimental study of the flexural behaviour of RC beams made of eco-friendly sawdust concrete and strengthened by a wooden plate. Int. J. Concr. Struct. Mater. 17(1), 49 (2023).
Fayed, S. et al. Improving bond performance of ribbed steel bars embedded in recycled aggregate concrete using steel mesh fabric confinement. Constr. Build. Mater. 369, 130452 (2023).
Contrafatto, L. & Cosenza, R. Prediction of the pull-out strength of chemical anchors in natural stone. Frattura Integrita Strutt. 29, 196–208. https://doi.org/10.3221/IGF-ESIS.29.17 (2014).
Braimah, A., Guilbeault, R. & Contestabile, E. Strain rate behaviour of adhesive anchors in masonry. Eng. Struct. 67, 96–108. https://doi.org/10.1016/j.engstruct.2014.02.018 (2014).
Yilmaz, S., Ozen, M. A. & Yardim, Y. Tensile behavior of post-installed chemical anchors embedded to low strength concrete. Constr. Build. Mater. 47, 861–866. https://doi.org/10.1016/j.conbuildmat.2013.05.032 (2013).
Calıs_kan, O., Yılmaz, S., Kaplan, H. & Kırac, N. Shear strength of epoxy anchors embedded into low strength concrete. Constr. Build. Mater. 38, 723–730. https://doi.org/10.1016/j.conbuildmat.2012.09.02 (2013).
Kwon, G., Engelhardt, M. D. & Klingner, R. E. Behavior of post-installed shear connectors under static and fatigue loading. J. Constr. Steel Res. 66(4), 532–541. https://doi.org/10.1016/j.jcsr.2009.09.012 (2010).
Hoehler, M. S., Mahrenholtz, P. & Eligehausen, R. Behavior of anchors in concrete at seismic-relevant loading rates. ACI Struct. J. 108(2), 238–247. https://doi.org/10.14359/51664259 (2011).
Wang, D. et al. Behavior of post-installed large-diameter anchors in concrete foundations. Constr. Build. Mater. 95, 124–132 (2015).
Wang, Dongpo, et al. "Performance and design of post-installed large diameter anchors in concrete." Construction and Building Materials 114 (2016): 142–150.
Tayeh, B. A., Shihada, S. & Yusuf, M. O. Pull-out behavior of post installed rebar connections using chemical adhesives and cement based binders. J. King Saud Univ. Eng. Sci. 31(4), 332–339 (2019).
Ahmed, K. S. et al. Bond strength of post-installed high strength deformed rebar in concrete. Case Stud. Constr. Mater. 15, e00581 (2021).
Data sheet of kemapoxy-165, https://www.cmbegypt.com/cmb/en/product/kemapoxy-165/
Data sheet of Sikadur 31CF, https://lbn.sika.com/dms/getdocument.get/3768ebb4-85cc-3ed5-b870-764a2dc4854e/Sikadur%20%20-31CF.pdf
Bamonte, P. et al. Bond shear modulus at high temperature: A design-oriented approach. Struct. Concrete 25(5), 3788–3803 (2024).
Acknowledgements
The experimental tests were carried out by the RC laboratory of the faculty of Engineering, Kafrelsheikh University, Egypt.
Funding
There is no specific funding for this manuscript.
Author information
Authors and Affiliations
Contributions
Sabry Fayed: Conceptualization, Methodology, Validation, Formal analysis, Writing—original draft, Writing—review & editing. Mohammed K. Alkharisi: Conceptualization, Methodology, Validation, Formal analysis, Supervision, Writing—original draft, Writing—review & editing. EL-Said A. Bayoumi: Methodology, Formal analysis, Investigation, Writing—original draft, Writing—review & editing. Ahmed Hamoda: Formal analysis, Investigation, Writing—original draft, Writing—review & editing. Md. Habibur Rahman Sobuz: Methodology, Formal analysis, Data curation, Validation, Writing—original draft, Writing—review & editing. Sani Aliyu Abubakar: Formal analysis, Data curation, Validation, Writing—review & editing. Mohamed Ghalla: Data curation, Validation, Writing—original draft, Writing—review & editing.
Corresponding authors
Ethics declarations
Competing interests
The authors declare no competing interests.
Additional information
Publisher’s note
Springer Nature remains neutral with regard to jurisdictional claims in published maps and institutional affiliations.
Rights and permissions
Open Access This article is licensed under a Creative Commons Attribution-NonCommercial-NoDerivatives 4.0 International License, which permits any non-commercial use, sharing, distribution and reproduction in any medium or format, as long as you give appropriate credit to the original author(s) and the source, provide a link to the Creative Commons licence, and indicate if you modified the licensed material. You do not have permission under this licence to share adapted material derived from this article or parts of it. The images or other third party material in this article are included in the article’s Creative Commons licence, unless indicated otherwise in a credit line to the material. If material is not included in the article’s Creative Commons licence and your intended use is not permitted by statutory regulation or exceeds the permitted use, you will need to obtain permission directly from the copyright holder. To view a copy of this licence, visit http://creativecommons.org/licenses/by-nc-nd/4.0/.
About this article
Cite this article
Fayed, S., Alkharisi, M.K., Bayoumi, ES.A. et al. Bond of ribbed and threaded steel reinforcement bars post-installed in concrete considering bonded length and adhesive type. Sci Rep 16, 10762 (2026). https://doi.org/10.1038/s41598-026-42964-4
Received:
Accepted:
Published:
Version of record:
DOI: https://doi.org/10.1038/s41598-026-42964-4















