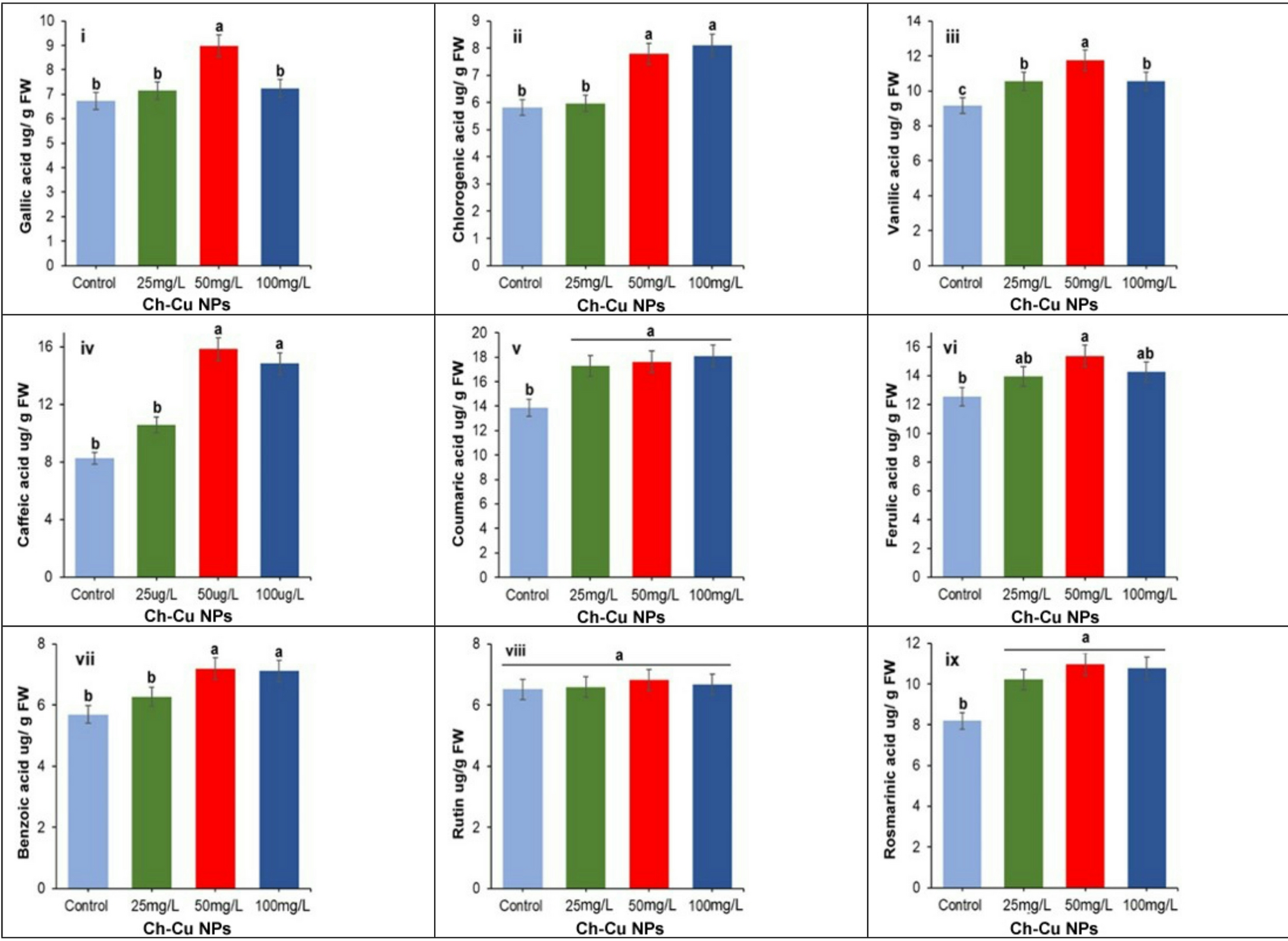
Fig. 9

Effect of Ch-Cu NPs on the phenolic compound profiles identified in the leaves of marjoram. The numerical values were exhibited as mean value ± standard deviation (SD), and different letters show significant differences at p ≤ 0.05.