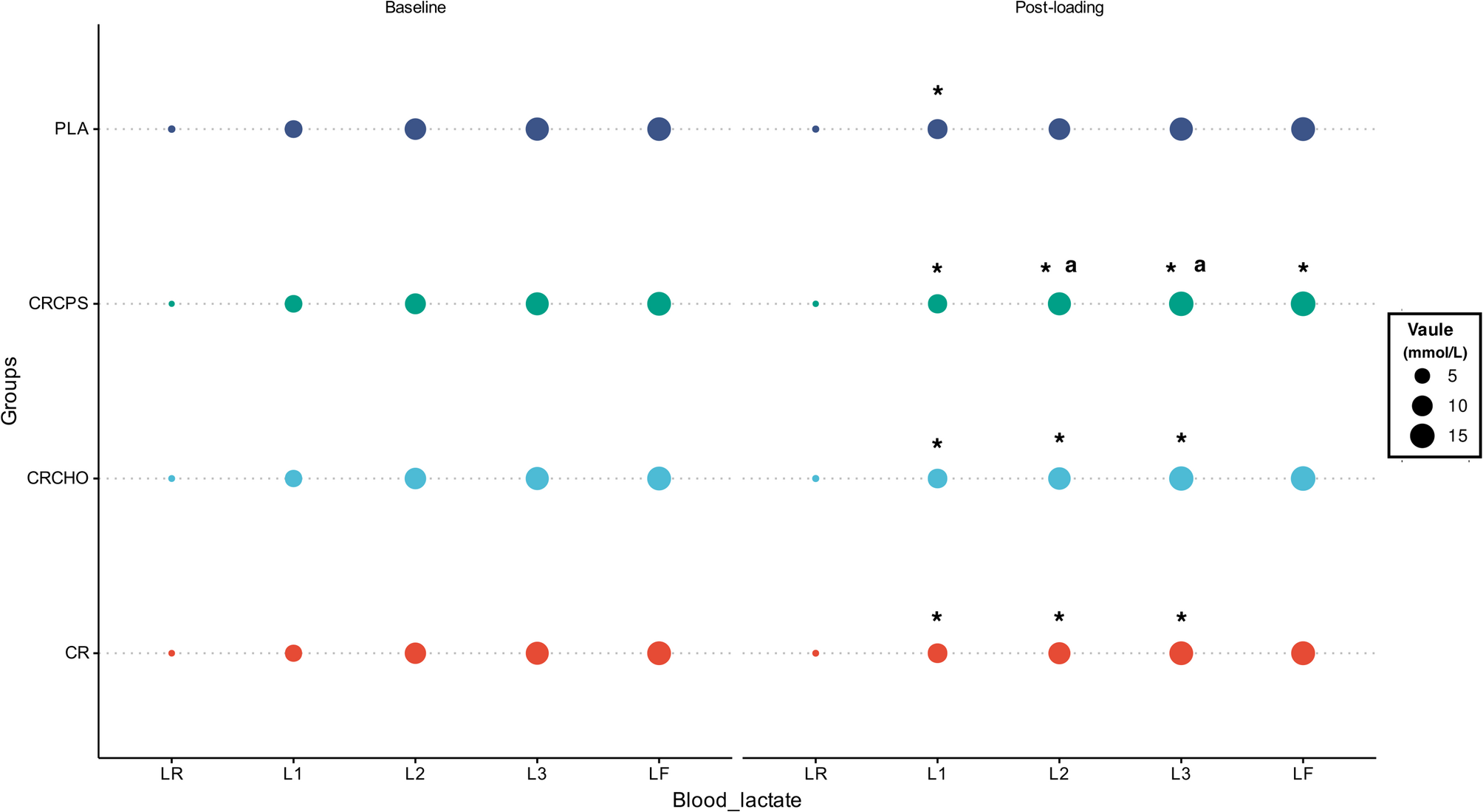
Fig. 6
From: Synergistic effects of creatine, carbs, protein on repeated sprint performance

blood lactate levels across time points and AWTs (baseline and post-loading) for four experimental groups. “*” indicates a significant difference within the same group between baseline and post-loading for the corresponding time point (p < 0.01). “a” indicates a significant increase in the CRCPS group compared to the PLA group at post-loading for the corresponding time point (p < 0.05). Circle size represents the magnitude of blood lactate levels in mmol/L.