Abstract
Nutritional supplementation, particularly creatine monohydrate, enhances strength and power output during high-intensity exercise. The synergistic effects of co-ingesting creatine, carbohydrates, and protein on repeated anaerobic efforts require clarification. This study evaluated the effects of combined creatine, carbohydrates, and protein supplementation on performance during consecutive Wingate Anaerobic Tests (WAnT). Sixty male participants (age 21 ± 2.8 years) were randomized into four groups: creatine alone (CR), creatine with carbohydrates (CRCHO), creatine with carbohydrates and protein (CRCPS), or placebo (PLA). Participants completed three consecutive 30-s WAnTs separated by 6-min recovery intervals at baseline and two days following a four-day supplementation protocol. Measured variables included absolute and relative mean power (AMP, RMP), peak power (APP, RPP), and blood lactate. Post-supplementation body mass increased in CR, CRCHO, and CRCPS groups (p < 0.05). CRCHO and CRCPS groups demonstrated higher AMP and RMP (increase of 5–10%) compared to baseline (p < 0.01). CR exhibited increased AMP across all three trials. PLA showed performance decrements in AMP during the second and third trials (p < 0.01). All supplementation groups improved APP and RPP across trials (p < 0.01). PLA improved APP and RPP only during the third trial. CRCPS yielded the highest post-exercise blood lactate concentrations. Combined supplementation may mitigate fatigue and enhance mean power output more effectively than placebo. These findings guide athletes in optimizing acute loading strategies for repeated high-intensity efforts.
Introduction
High-intensity, short-duration exercise imposes significant demands on the adenosine triphosphate-phosphocreatine (ATP-PCr) energy system1,2,3,4. Rapid depletion of intramuscular phosphocreatine stores serves as a primary limiting factor for sustaining maximal power output during consecutive anaerobic bouts2,5,6,7. Strategies to augment phosphocreatine availability and accelerate resynthesis rates are essential for delaying fatigue8,9,10,11,12. Therefore, identifying optimal nutritional interventions to maximize muscle creatine retention and fuel availability is critical for enhancing repeated anaerobic performance.
Creatine monohydrate acts as a primary ergogenic aid for improving anaerobic power and phosphocreatine availability13,14. The transport of creatine into skeletal muscle operates through insulin-dependent pathways15. Carbohydrate ingestion stimulates insulin secretion and facilitates this uptake process16,17. However, maximizing creatine retention often requires substantial carbohydrate intake14,18. High glycaemic loads may induce gastrointestinal distress or undesirable body mass gain.
Protein and amino acids function as insulinotropic agents and may enhance creatine retention efficiency19. Substituting a portion of carbohydrates with protein maintains insulin stimulation while providing substrates for muscle recovery20,21,22. The synergistic effect of creatine, carbohydrates, and protein on consecutive high-intensity efforts remains underexplored23. The Wingate Anaerobic Test accurately reflects ATP-PCr system capacity and fatigue resistance during repeated bouts24,25,26. Evaluating this combined supplementation strategy via consecutive Wingate protocols is essential for optimizing anaerobic performance guidelines19,27.
To address this research gap, the present study evaluated the synergistic effects of combined creatine, carbohydrates, and protein supplementation on repeated sprint performance. A randomized, double-blind, placebo-controlled design was utilized. Sixty physically active males were assigned to one of four groups: creatine alone, creatine with carbohydrates, creatine with carbohydrates and protein, or a placebo group. Participants performed three consecutive 30-s Wingate Anaerobic Tests separated by 6-min recovery intervals at baseline and following four days of supplementation. This design isolates the specific additive influence of protein under conditions of high cumulative metabolic demand. It was hypothesized that combined ingestion would elicit superior improvements in mean power output compared to creatine alone or creatine plus carbohydrates.
Methods
Participants
Sixty healthy, physically active male university students with no formal association to sports majors were recruited (age 21 ± 2.8 years; body mass 80.5 ± 4.66 kg; height 1.81 ± 0.09 m). Recruitment was conducted via advertisements and email communications. Exclusion criteria included current use of nutritional supplements, habitual high caffeine intake, history of metabolic disorders, and musculoskeletal injuries. All participants provided written informed consent, and the study protocol was approved by the Ethics Committee of Xi’an Medical University in accordance with the 1964 Helsinki Declaration.
Exercise protocol
A standard Wingate-based regimen was used to assess short-term anaerobic performance. Each participant completed three consecutive 30-second anaerobic Wingate tests (AWT), with 6-minute active recovery intervals between each trial. Testing was conducted on a Monark cycle ergometer28 secured to the floor to prevent unintended movement. A belt was placed around the waist to restrict participants from leaving the saddle. Each sprint was preceded by a 5-minute warm-up at 60 revolutions per minute against a 0.5 kg load. The primary workload was calculated at 0.075 kg per kilogram of body mass28. Verbal encouragement was provided to sustain maximal effort. Peak power (highest power measured per second of the 30 s) and mean power (average output over the 30 s) were recorded for each trial, expressed in both absolute (W) and relative (W/kg) terms. The fatigue index was not calculated. This metric relies on minimum power values. Minimum power is frequently susceptible to mechanical artifacts or cessation of effort during the final moments of the test. Mean power reflects total work performed over the entire duration. It provides a more robust assessment of anaerobic capacity and fatigue resistance for this specific protocol.
Supplementation protocol
Supplements were sourced from ALL STARS (Germany)29. The creatine monohydrate was certified for > 99.9% purity via HPLC analysis. The protein supplement was a banana-sundae-flavored whey protein hydrolysate. The carbohydrate source was an orange-flavored powdered mix comprising corn starch (46%), glucose (40.5%), and maltose (5%). The study implemented a double-blind, randomized, placebo-controlled design with a four-day rapid loading protocol. Participants consumed four divided doses daily at four-hour intervals. The CRCHO group ingested a total daily dosage of 0.3 g/kg creatine monohydrate and 1.0 g/kg glucose30. Each individual serving comprised 0.075 g/kg creatine and 0.25 g/kg glucose dissolved in 500 mL of water. The CRCPS group ingested a total daily dosage of 0.3 g/kg creatine, 0.8 g/kg glucose, and 0.2 g/kg whey protein isolate. Each serving contained 0.075 g/kg creatine, 0.2 g/kg glucose, and 0.05 g/kg protein in 500 mL of water31. Notably, the CRCHO and CRCPS conditions were isoenergetic (~ 4 kcal/g for both substrates) to isolate the physiological effects of protein co-ingestion from energy availability.
The CR group followed the same creatine schedule but ingested it in 500 mL of a xylitol solution. The PLA group received 500 mL of xylitol solution without bioactive ingredients. Xylitol was selected to mimic the sweetness and texture of the experimental solutions while minimizing insulinotropic effects. To ensure double-blinding, all solutions were prepared in opaque, coded bottles by an independent researcher not involved in data collection. A non-caloric lemon flavoring agent was added to all solutions to mask sensory differences between creatine, protein, and placebo. Compliance was monitored via a daily bottle-return policy and self-reported dietary logs.
Experimental procedure
The study spanned two weeks. During the first week, baseline familiarization and testing were conducted. Familiarization involved multiple brief (6-s) cycle sprints. This duration was selected to habituate participants to the inertial load and starting mechanics while minimizing residual neuromuscular fatigue prior to baseline assessment. Baseline measurements were performed immediately following familiarization, using the described Wingate protocol (three 30 s sprints with 6-minute recoveries)1,32. After completing the baseline tests, participants began the four-day supplementation phase according to their assigned group. Two days after the final supplementation dose, the same Wingate protocol was repeated under comparable laboratory conditions32. To minimize circadian variation, all testing sessions were conducted between 09:00 and 11:00. Participants were instructed to abstain from caffeine, alcohol, and strenuous exercise for 24 h prior to each visit. A standardized meal was consumed two hours before testing to ensure consistent metabolic states. Blood lactate levels were measured at rest (LR), immediately after each sprint (L1–L3), and 5 min after the final sprint (LF) using a portable analyzer (Lactate Scout 4, EKF Diagnostics, Germany33.
Statistical analysis
Sample size estimation was performed using G*Power software (version 3.1.9.7). The calculation utilized an F-test for ANOVA: Repeated measures, within-between interaction. The effect size was set at f = 0.25, representing a medium effect size according to Cohen’s statistical conventions. Input parameters included an alpha error probability (α) of 0.05, a statistical power (1-β) of 0.80, number of groups = 4, number of measurements = 2, a correlation among repeated measures of 0.5, and a nonsphericity correction (ε) of 1. This analysis indicated a minimum total sample size of 48 participants. The study recruited 60 participants, ensuring sufficient statistical power.
A 4 (Group: CR, CRCHO, CRCPS, PLA) × 2 (Time: Baseline, Post-supplementation) repeated-measures analysis of variance (ANOVA) was calculated separately for each AWT with comparisons made between the baseline and post-supplementation time points. At each time point, three AWTs (AWT1, AWT2, AWT3) were analyzed individually, resulting in separate statistical evaluations for each sprint. Significant main or interaction effects were further examined by simple main effects for pairwise comparisons. The threshold for statistical significance was set at α = 0.05 for all analyses. Effect sizes for main and interaction effects were estimated using partial eta squared (\(\eta _{p}^{2}\)). Interpretation benchmarks were defined as small (\(\eta _{p}^{2}\)= 0.01), medium (\(\eta _{p}^{2}\)= 0.06), and large (\(\eta _{p}^{2}\)= 0.14) effects, in accordance with standard statistical guidelines.
Results
Body mass
There was a significant interaction between time point and supplementation status (F = 5.67, p < 0.01, partial η² = 0.23). Post-hoc comparisons (Fig. 1) indicated that body mass in the CR, CRCHO, and CRCPS was higher at post-supplementation compared to baseline (p = 0.026 for CR; p < 0.01 for CRCHO and CRCPS). No significant change was observed in PLA.
Changes in body mass across time points (baseline vs. post-loading) for four experimental groups. “*” indicates significantly higher body mass compared to the baseline within the same group (p < 0.01). “#” indicates a significant increase compared to the baseline within the same group (p < 0.05).
Mean power
Significant group × time interaction effects were observed for each all-out sprint (AWT1: F = 27.03, p < 0.01, partial η² = 0.59; AWT2: F = 42.26, p < 0.01, partial η² = 0.69; AWT3: F = 39.80, p < 0.01, partial η² = 0.68). Post-hoc comparisons revealed that the CRCHO and CRCPS groups exhibited significantly higher absolute mean power (AMP) at post-loading compared to baseline (p < 0.01). Additionally, the CR group demonstrated increased AMP in AWT1 (p < 0.01), AWT2 (p < 0.05), and AWT3 (p < 0.05). In contrast, the PLA showed a significant reduction in AMP during AWT2 and AWT3 (p < 0.01)(Fig. 2).
Changes in AMP across AWTs (baseline vs. post-loading) for four experimental groups. “*” indicates a significant difference in AMP at post-loading compared to baseline within the same group (p < 0.01), “#” represents p < 0.05. Circle size represents the magnitude of AMP in watts (W).
Analyses of the three all-out sprints revealed significant group × time interaction effects on relative mean power (RMP) (AWT1: F = 19.61, p < 0.01, partial η² = 0.51; AWT2: F = 48.88, p < 0.01, partial η² = 0.72; AWT3: F = 31.19, p < 0.01, partial η² = 0.66). As can be seen in the Fig. 3, the CRCHO and CRCPS demonstrated higher RMP at post-loading than at baseline for all three sprints (p < 0.01), whereas CR exhibited increases only in AWT1 and AWT3 (p < 0.01). The PLA showed lower RMP in AWT2 and AWT3 at post-loading (p < 0.01). In addition, CRCHO and CRCPS produced higher RMP values than PLA in AWT2 at the post-loading time point (p < 0.01).
Changes RMP across AWTs (baseline vs. post-loading) for four experimental groups. “*” indicates a significant difference within the same group between baseline and post-loading for the corresponding AWT (p < 0.01). “A” indicates a significant difference compared to the PLA (p < 0.01). Circle size represents the magnitude of RMP in watts per kilogram (W/kg).
Peak power
Significant group × time interaction effects were observed for both absolute peak power (APP) and relative peak power (RPP) across all three sprints (Table 1; Figs. 4 and 5). Post-hoc analyses revealed that all three supplementation groups (CR, CRCHO, CRCPS) demonstrated significant increases in APP and RPP at post-loading compared to baseline for all three sprints (p < 0.01). Additionally, the PLA group exhibited a significant increase in APP and RPP at AWT3 (p < 0.01).
APP across AWTs (baseline and post-loading) for four experimental groups. “*” indicates a significant difference within the same group between baseline and post-loading for the corresponding AWT (p < 0.01). Circle size represents the magnitude of APP in watts (W).
RPP across AWTs (baseline and post-loading) for four experimental groups. “*” indicates a significant difference within the same group between baseline and post-loading for the corresponding AWT (p < 0.01). Circle size represents the magnitude of RPP in watts per kilogram (W/kg).
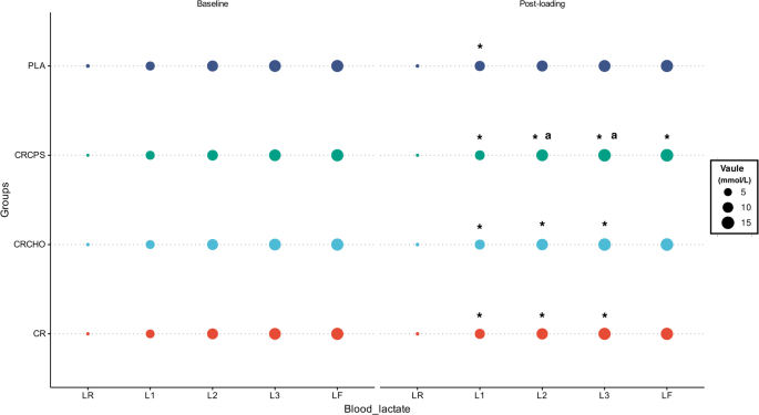
Blood lactate
Significant group × time interaction effects were observed for blood lactate levels across the two time points and three sprints (Fig. 6; Table 2). In L1, all groups exhibited significantly higher blood lactate levels at post-loading compared to baseline (p < 0.01). In L2 and L3, the supplementation groups (CR, CRCHO, CRCPS) showed significantly higher post-loading blood lactate levels than baseline (p < 0.01). Additionally, the CRCPS group demonstrated significantly higher blood lactate levels in L2 and L3 at post-loading compared to the PLA at post-loading (p < 0.05).
blood lactate levels across time points and AWTs (baseline and post-loading) for four experimental groups. “*” indicates a significant difference within the same group between baseline and post-loading for the corresponding time point (p < 0.01). “a” indicates a significant increase in the CRCPS group compared to the PLA group at post-loading for the corresponding time point (p < 0.05). Circle size represents the magnitude of blood lactate levels in mmol/L.
Discussion
The primary finding is that co-ingesting creatine, carbohydrates, and protein enhances mean power output during repeated anaerobic efforts. Both CRCHO and CRCPS groups improved absolute mean power compared to baseline, whereas the placebo group exhibited performance decrements. Although direct statistical comparisons between supplementation groups did not reveal significance, the data pattern suggests an additive benefit of protein co-ingestion, aligning with research on multi-ingredient loading strategies34.
Mechanistically, these improvements necessitate distinguishing between creatine retention and metabolic utilization. The observed increase in body mass across supplementation groups indicates successful creatine retention via insulin-mediated transport35,36,37,38,39. However, storage alone does not guarantee performance enhancement. The concurrent rise in mean power output confirms that this stored phosphocreatine was actively utilized to buffer ATP depletion and accelerate resynthesis rates during consecutive sprints40,41,42,43. The co-ingestion of protein and carbohydrates likely optimized this process. Protein amplifies the insulinotropic response triggered by carbohydrates, maximizing creatine uptake efficiency beyond what creatine or carbohydrates alone can achieve44.
Regarding metabolic responses, the CRCPS group exhibited the highest post-exercise blood lactate concentrations. This underscores a distinct physiological mechanism compared to the CR group. Creatine alone primarily taxes the ATP-PCr system. In contrast, the addition of carbohydrates and protein provides exogenous substrates that stimulate glycolytic flux45,46,47,48. The higher lactate levels in the CRCPS group likely reflect this upregulated glycolysis combined with greater total work performed. While previous research suggested multi-nutrient ingestion might attenuate metabolic stress49, the present data indicate that this strategy allows athletes to tap into both phospholytic and glycolytic energy reserves more deeply than mono-supplementation.
From a practical perspective, these findings suggest that athletes engaged in sports requiring repeated power bursts may benefit from an acute, four-day co-ingestion loading strategy. Combining creatine at 0.3 g/kg with carbohydrates and protein appears to mitigate the fatigue-induced power decline typically observed over consecutive efforts. Collectively, these nutrients may contribute to a more favorable environment for energy turnover and recovery during high-intensity exercise34,50,51,52. However, several limitations warrant consideration. The primary limitation is the modest sample size. Future studies with larger cohorts and direct inter-group comparisons are required to confirm whether CRCPS provides a genuine synergistic advantage. Additionally, the lack of strict dietary monitoring and the short duration of the intervention represent constraints that should be addressed in future investigations. Despite these limitations, the data provide preliminary evidence supporting tailored supplementation protocols for high-intensity training.
Conclusion
This randomized, placebo-controlled study examined the short-term effects of creatine alone or combined with carbohydrates and protein on anaerobic performance. The main findings indicate that both CRCHO and CRCPS improved mean power versus baseline. No difference was detected between the two combinations. Additionally, the CRCPS group exhibited the highest increases in blood lactate levels post-exercise, suggesting an enhanced glycolytic response. Results suggest that combining creatine with carbohydrates and protein may enhance anaerobic capacity and muscular performance compared to creatine alone. Further research should examine long-term effects, diverse populations, and biochemical markers of adaptation to better define practical supplementation guidelines.
Data availability
All relevant data in this study can be obtained from the first author on reasonable request.
References
Tortu, E. et al. The contribution of energy systems during 30-second lower body Wingate anaerobic test in combat sports athletes: Intermittent versus single forms and gender comparison [J]. PloS one. 19 (5), e0303888 (2024).
Franchini, E., Takito, M. Y., Kiss, M. & A P D M Performance and energy systems contributions during upper-body sprint interval exercise [J]. J. Exerc. rehabilitation. 12 (6), 535 (2016).
McMorris, T. & Rayment, T. Short-duration, high-intensity exercise and performance of a sports-specific skill: a preliminary study [J]. Percept. Mot. Skills. 105 (2), 523–530 (2007).
Green, H. J. et al. Role of exercise duration on metabolic adaptations in working muscle to short-term moderate-to-heavy aerobic-based cycle training [J]. Eur. J. Appl. Physiol. 113 (8), 1965–1978 (2013).
Ulupınar, S. & Özbay, S. Energy pathway contributions during 60-second upper-body Wingate test in Greco-Roman wrestlers: intermittent versus single forms [J]. Res. Sports Med. 30 (3), 244–255 (2022).
Trump, M. E., Heigenhauser, G., Putman, C. & Spriet, L. L. Importance of muscle phosphocreatine during intermittent maximal cycling [J]. J. Appl. Physiol. 80 (5), 1574–1580 (1996).
Clark, J. F. Creatine and phosphocreatine: a review of their use in exercise and sport [J]. J. Athl. Train. 32 (1), 45 (1997).
Ulupınar, S. et al. Effects of sprint distance and repetition number on energy system contributions in soccer players [J]. J. Exerc. Sci. Fit. 19 (3), 182–188 (2021).
Mcmahon, S. & Jenkins, D. Factors affecting the rate of phosphocreatine resynthesis following intense exercise [J]. Sports Med. 32 (12), 761–784 (2002).
De Poli, R. D. et al. Creatine supplementation improves phosphagen energy pathway during supramaximal effort, but does not improve anaerobic capacity or performance [J]. Front. Physiol. 10, 352 (2019).
Naderi, A. et al. Nutritional strategies to improve post-exercise recovery and subsequent exercise performance: a narrative review [J]. Sports Med. 55 (7), 1559–1577 (2025).
Ma, X. et al. Mechanisms of physical fatigue and its applications in nutritional interventions [J]. J. Agric. Food Chem. 69 (24), 6755–6768 (2021).
Wang, X., Wang, H. & Wu, H. Dietary and ergogenic supplementation to improve elite swimming players’ performance and recovery [J]. Sci. Sports. 38 (5–6), 510–518 (2023).
Antonio, J. et al. The Top 5 Can’t-Miss Sport Supplements [J]. Nutrients 16 (19), 17 (2024).
Mlynarska, E. et al. Creatine Supplementation Combined with Exercise in the Prevention of Type 2 Diabetes: Effects on Insulin Resistance and Sarcopenia [J]. Nutrients, 17(17). 2860 (2025).
Bustos, R. Z. et al. Nonequilibrium thermodynamics and mitochondrial protein content predict insulin sensitivity and fuel selection during exercise in human skeletal muscle [J]. Front. Physiol., 14, 1208186 (2023).
Richter, E. A., Bilan, P. J. & Klip, A. A comprehensive view of muscle glucose uptake: regulation by insulin, contractile activity, and exercise [J]. Physiol. Rev. 105 (3), 1867–1945 (2025).
Li, H. et al. Marine N-3 Fatty Acids Mitigate Hyperglycemia in Prediabetes by Improving Muscular GLUT4 Translocation and Glucose Homeostasis [J]. Research, 8, 0683 (2025).
Deng, B. W. et al. Effects of different dietary supplements combined with conditioning training on muscle strength, jump performance, sprint speed, and muscle mass in athletes: a systematic review and network meta-analysis [J]. Front. Nutr. 12, 1636970 (2025).
Altarriba-Bartes, A. et al. The effectiveness of two comprehensive recovery protocols on performance and physiological measures in elite soccer players: A parallel group-randomized trial [J]. Int. J. Sports Sci. Coaching. 19 (1), 171–181 (2024).
Mor, A., Acar, K., Yilmaz, A. & Arslanoğlu, E. The effects of BCAA and creatine supplementation on anaerobic capacity and ball kicking speed in male football players [J]. J. Mens Health, 18(1), 058. https://doi.org/10.31083/jomh.2021.058 (2022).
Jahan-Mihan, A., El Khoury, D., Brewer, G. J. & Chapleau, A. Current Perspectives on Protein Supplementation in Athletes: General Guidance and Special Considerations for Diabetes—A. Narrative Rev. [J] Nutrients. 17 (22), 3528 (2025).
Yu, P., Fan, Y., Wang, X. & Wu, H. Effect of taurine combined with creatine on repeated sprinting ability after exhaustive exercise under hot and humid conditions [J]. Sports health, 17(5), 19417381251320095 (2025).
Glaister, M. & Rhodes, L. Short-term creatine supplementation and repeated sprint ability—a systematic review and meta-analysis [J]. Int. J. Sport Nutr. Exerc. Metab. 32 (6), 491–500 (2022).
Gordon, A. N. et al. The Effects of Creatine Monohydrate Loading on Exercise Recovery in Active Women throughout the Menstrual Cycle [J]. Nutrients 15 (16), 3567 (2023).
Satiroglu, R. The acute and chronic effects of exercise intensity and rest duration on physiological responses during 4-second sprint interval exercise [D]. https://doi.org/10.26153/tsw/60811 (2025).
Selvaraj, S. et al. Acute effects of combined supplementation of L-arginine and citrulline malate on aerobic, anaerobic, and CrossFit exercise performance [J]. Sci. Rep. 15 (1), 33067 (2025).
Lunn, W. R. & Axtell, R. S. Validity and Reliability of the Lode Excalibur Sport Cycle Ergometer for the Wingate Anaerobic Test [J]. J. Strength. Conditioning Res. 35 (10), 2894–2901 (2021).
Baltic, S. et al. The Impact of Short-Term Supplementation With Guanidinoacetic Acid and Creatine Versus Creatine Alone on Body Composition Indices in Healthy Men and Women: Creatine‐Guanidinoacetic Acid Affects Body Composition [J]. J. Nutr. Metabolism. 2024 (1), 7815807 (2024).
Kreider, R. B. et al. International Society of Sports Nutrition position stand: safety and efficacy of creatine supplementation in exercise, sport, and medicine [J]. J. Int. Soc. Sports Nutr. 14 (1), 18 (2017).
Kerksick, C. M. et al. International society of sports nutrition position stand: nutrient timing [J]. J. Int. Soc. Sports Nutr. 14 (1), 33 (2017).
Theodorou, A. et al. The effect of combined supplementation of carbohydrates and creatine on anaerobic performance [J]. Biology sport. 34 (2), 169–175 (2017).
Tanner, R. K., Fuller, K. L. & Ross, M. L. R. Evaluation of three portable blood lactate analysers: Lactate Pro, Lactate Scout and Lactate Plus [J]. Eur. J. Appl. Physiol. 109 (3), 551–559 (2010).
Elstad, K. et al. The Effects of Protein and Carbohydrate Supplementation, with and without Creatine, on Occupational Performance in Firefighters [J]. Nutrients 15 (24), 5134 (2023).
Baty, J. J. et al. The effect of a carbohydrate and protein supplement on resistance exercise performance,hormonal response, and muscle damage [J]. J. Strength. Conditioning Res. 21 (2), 321–329 (2007).
Ivy, J. L., Res, P. T., Sprague, R. C. & Widzer, M. O. Effect of a Carbohydrate-Protein Supplement on Endurance Performance during Exercise of Varying Intensity [J]. Int. J. Sport Nutr. Exerc. Metab. 13 (3), 382–395 (2003).
Harlow, J., Blodgett, K., Stedman, J. & Pojednic, R. Dietary Supplementation on Physical Performance and Recovery in Active-Duty Military Personnel: A Systematic Review of Randomized and Quasi-Experimental Controlled Trials [J]. Nutrients 16 (16), 2746 (2024).
Bird, S. P. et al. Supplementation Strategies for Strength and Power Athletes: Carbohydrate, Protein, and Amino Acid Ingestion [J]. Nutrients 16 (12), 1886 (2024).
Hall, M., Manetta, E. & Tupper, K. Creatine Supplementation: An Update [J]. Curr. Sports Med. Rep. 20 (7), 338–344 (2021).
Liu, W. et al. Non-energy mechanism of phosphocreatine on the protection of cell survival [J]. Biomed. Pharmacother. 141, 111839 (2021).
Kazak, L. & Cohen, P. Creatine metabolism: energy homeostasis, immunity and cancer biology [J]. Nat. Reviews Endocrinol. 16 (8), 421–436 (2020).
Forbes, S. C. et al. Creatine supplementation and endurance performance: surges and sprints to win the race [J]. J. Int. Soc. Sports Nutr. 20 (1), 2204071 (2023).
Fernández-Landa, J. et al. Effects of Creatine Monohydrate on Endurance Performance in a Trained Population: A Systematic Review and Meta-analysis [J]. Sports Med. 53 (5), 1017–1027 (2023).
Steenge, G. R., Simpson, E. J. & Greenhaff, P. L. Protein- and carbohydrate-induced augmentation of whole body creatine retention in humans [J]. J. Appl. Physiol. 89 (3), 1165–1171 (2000).
Zajac, A. et al. The Effects of Long-Term Magnesium Creatine Chelate Supplementation on Repeated Sprint Ability (RAST) in Elite Soccer Players [J]. Nutrients 12 (10), 2961 (2020).
Arazi, H., Eghbali, E. & Suzuki, K. Creatine Supplementation, Physical Exercise and Oxidative Stress Markers: A Review of the Mechanisms and Effectiveness [J]. Nutrients 13 (3), 869 (2021).
Schierbauer, J. et al. Relationship between Blood Volume, Blood Lactate Quantity, and Lactate Concentrations during Exercise [J]. Metabolites 13 (5), 632 (2023).
Lee, S., Lim, J. & Park, J. A warm-up strategy with or without voluntary contraction on athletic performance, lower-leg temperature, and blood lactate concentration [J]. PLOS ONE. 19 (1), e0295537 (2024).
Luden, N. D., Saunders, M. J. & Todd, M. K. Postexercise Carbohydrate-Protein-Antioxidant Ingestion Decreases Plasma Creatine Kinase and Muscle Soreness [J]. Int. J. Sport Nutr. Exerc. Metab. 17 (1), 109–123 (2007).
Wohlgemuth, K. J. et al. Sex differences and considerations for female specific nutritional strategies: a narrative review [J]. J. Int. Soc. Sports Nutr. 18 (1), 27 (2021).
Burtscher, J. et al. Immune consequences of exercise in hypoxia: A narrative review [J]. J. Sport Health Sci. 13 (3), 297–310 (2024).
Wuertz, S., Reiser, S. & Creatine A valuable supplement in aquafeeds? [J]. Reviews Aquaculture. 15 (1), 292–304 (2023).
Funding
No Funding.
Author information
Authors and Affiliations
Contributions
YFW wrote the manuscript. HDW and ZC wrote and revised the manuscript. XDC prepared figures. All authors reviewed the manuscript.
Corresponding author
Ethics declarations
Competing interests
The authors declare no competing interests.
Additional information
Publisher’s note
Springer Nature remains neutral with regard to jurisdictional claims in published maps and institutional affiliations.
Rights and permissions
Open Access This article is licensed under a Creative Commons Attribution-NonCommercial-NoDerivatives 4.0 International License, which permits any non-commercial use, sharing, distribution and reproduction in any medium or format, as long as you give appropriate credit to the original author(s) and the source, provide a link to the Creative Commons licence, and indicate if you modified the licensed material. You do not have permission under this licence to share adapted material derived from this article or parts of it. The images or other third party material in this article are included in the article’s Creative Commons licence, unless indicated otherwise in a credit line to the material. If material is not included in the article’s Creative Commons licence and your intended use is not permitted by statutory regulation or exceeds the permitted use, you will need to obtain permission directly from the copyright holder. To view a copy of this licence, visit http://creativecommons.org/licenses/by-nc-nd/4.0/.
About this article
Cite this article
Wang, Y., Wei, H., Cheng, X. et al. Synergistic effects of creatine, carbs, protein on repeated sprint performance. Sci Rep 16, 10958 (2026). https://doi.org/10.1038/s41598-026-44278-x
Received:
Accepted:
Published:
Version of record:
DOI: https://doi.org/10.1038/s41598-026-44278-x





