Fig. 3
From: Graph attention network-based multimodal approach for lung diseases classification

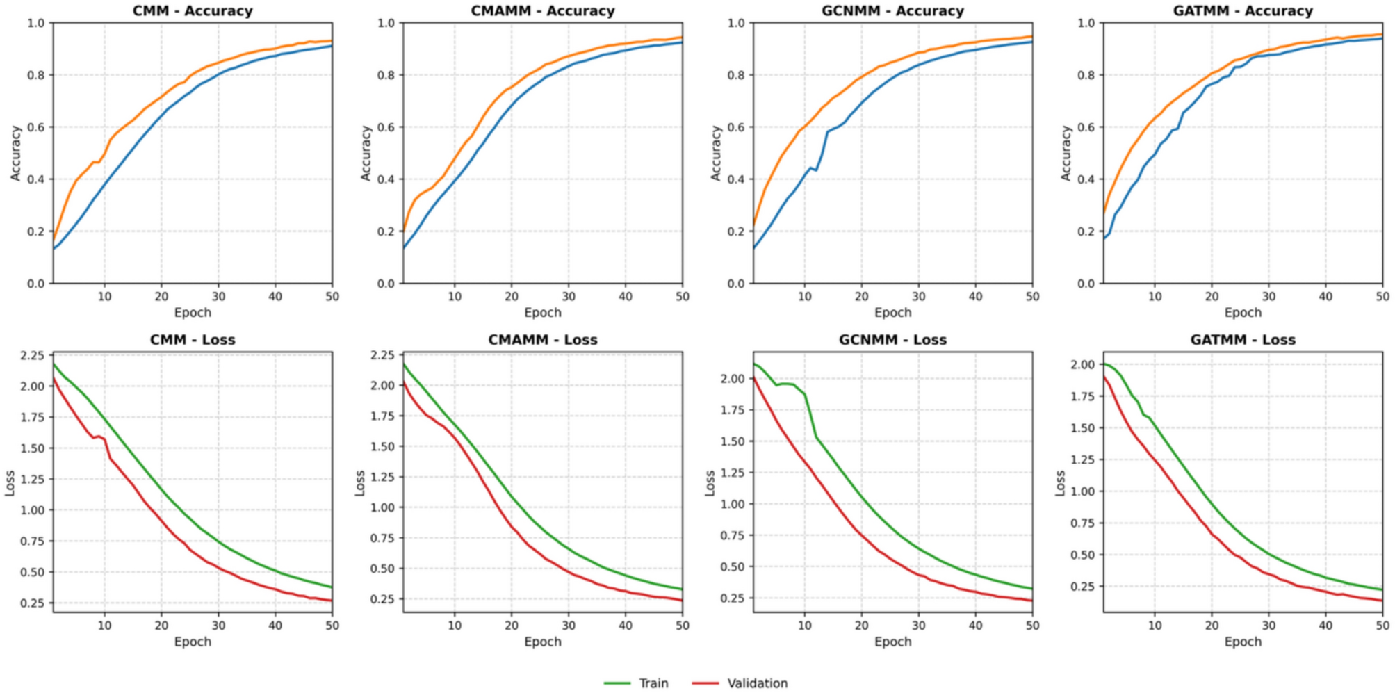
The training and validation loss and accuracy curves for all multimodal strategies.
From: Graph attention network-based multimodal approach for lung diseases classification

The training and validation loss and accuracy curves for all multimodal strategies.