Abstract
The widespread adoption of one-part geopolymer cement (OPGC) is constrained by its intrinsically low workability, which limits handling, casting, and field implementation. This study introduces a dry-mix technological strategy in which powdered superplasticizers (SPs) are directly pre-blended with the geopolymer binder, thereby eliminating on-site liquid admixture dosing and enhancing practical constructability. Powdered sulfonated naphthalene formaldehyde (SNF) and polycarboxylate ether (PCE) were incorporated at 0.5–2.5% by binder weight into an OPGC mortar composed of ground granulated blast furnace slag (GGBS), diatomite, and feldspar, activated using solid sodium hydroxide and anhydrous sodium silicate. Fresh performance, mechanical behavior, and in-situ quality indicators were evaluated through flowability, setting time, compressive, flexural, and split tensile strengths, ultrasonic pulse velocity, and rebound hammer testing. Chemical stability and microstructural evolution were examined via zeta potential, ATR-FTIR, XRD, SEM, and EDS analyses. The incorporation of 1% SNF yielded a 272.9% increase in relative slump and a 15.44% enhancement in 28-day compressive strength compared with the control, achieving a peak strength of 53.8 MPa. In contrast, PCE produced marginal workability gains (< 15%) and caused substantial strength reductions (up to 47%) to higher dosages. Spectroscopic and zeta potential analyses confirmed the chemical robustness of SNF under highly alkaline conditions, whereas PCE exhibited structural degradation and adverse dispersion behavior. Microstructural observations revealed denser and more homogeneous geopolymer gel matrix in SNF-modified systems. All SNF-based mortars exceeded 43 MPa at 28 days, matching the performance benchmark of 43-grade Ordinary Portland Cement while delivering an estimated 16–25% cost reduction. These findings demonstrate that the dry incorporation of SNF provides a scalable and industry-compatible pathway for producing high-performance, user-friendly one-part geopolymer binders, advancing their viability for practical construction applications.
Similar content being viewed by others
Introduction
The global cement industry plays an indispensable role in infrastructure development yet contributes substantially to environmental degradation. Ordinary Portland cement (PC) production is energy-intensive, requiring calcination of limestone at temperatures exceeding 1450 °C, which accounts for a significant portion of industrial CO₂ emissions worldwide. This energy demand and associated greenhouse gas release makes cement manufacturing one of the largest contributors to anthropogenic carbon emissions, posing severe challenges for climate mitigation efforts1. Even though there are efforts to reduce these emissions, the huge amount of cement being produced makes it hard to see real progress. Another issue is that cement manufacturing uses up a lot of natural resources like limestone, clay, and gypsum. This can lead to problems like damage to land, cutting down trees, and loss of plant and animal life. Making cement also uses a lot of energy, mostly from non-renewable sources like coal and gas, which increases its environmental impact2. On top of that, the industry creates a lot of waste materials like fly ash and slag. If not handled properly, these can pollute the soil and water3. Because of all these problems, there is a strong need to find more eco-friendly and sustainable alternatives to traditional cement.
Geopolymer concrete is gaining attention as a sustainable and environmentally friendly alternative to traditional cement-based concrete4,5,6. Unlike ordinary Portland cement, which involves the high-temperature processing of limestone and contributes significantly to CO2 emissions, geopolymer concrete is made using industrial by-products such as fly ash, slag, and rice husk ash. These materials react with alkaline activators like sodium hydroxide or sodium silicate to form a binder that holds the concrete together7. Since geopolymer production does not rely on the energy-intensive clinker process, it results in much lower greenhouse gas emissions8. Moreover, by using industrial waste materials, geopolymer concrete helps in decreasing landfill disposal and promotes waste recycling9,10.
In addition to its environmental benefits, geopolymer concrete offers several performance advantages. It is widely recognized for its superior resistance to fire and chemical attack, which makes it particularly well-suited for demanding environments like coastal infrastructure, industrial chemical facilities, and wastewater treatment plants11,12,13,14. It also shows good durability and strength development at early ages, which can help speed up construction timelines15,16,17. Despite these advantages, challenges still exist, particularly in terms of scaling up production, controlling the variability of raw materials, and reducing costs. However, with continued research and development, geopolymer concrete has the capacity to become a widely adopted solution for lowering the environmental impact of the construction industry while meeting structural performance requirements.
The traditional two-part geopolymer system, which involves mixing a solid aluminosilicate material with a separate alkaline activator, poses several practical difficulties that limit its use in the construction industry. A primary difficulty lies in the complexity of the mixing procedure, where both components must be combined in the right proportions and within a short time frame to ensure proper reaction and performance18,19,20. If not handled carefully, this can lead to inconsistent curing and variations in strength and durability. Moreover, the alkaline solutions used are often highly corrosive, which raises safety concerns during handling, transportation, and disposal21. To overcome these issues, researchers have turned their attention to one-part geopolymer systems. Unlike the two-part system, one-part geopolymers are prepared as a dry mix by combining solid aluminosilicate sources with solid alkaline activators22. This dry-blended formulation only needs water to be added before use, making it easier and safer to work with on construction sites. It also eliminates the need for complex mixing and improves the shelf life of the material, making it more practical for large-scale and remote projects23,24.
However, one common problem with geopolymer concrete, including one-part systems, is their low workability compared to traditional Portland cement concrete25,26. Geopolymer mixtures often tend to be stiff and difficult to place, mainly due to their high binder content and the chemical nature of the mixture. The use of strong alkalis can further increase viscosity27. To improve flowability, additives like plasticizers or superplasticizers (SPs) are often used. These admixtures, such as sulfonated naphthalene formaldehyde (SNF) and polycarboxylate ether (PCE), help reduce the friction between particles and allow for better mixing and placement without significantly increasing the water content. Superplasticizers work by dispersing the particles in the mix, either through electrostatic repulsion or steric hindrance, leading to a more fluid and workable paste. They are especially useful in mixes requiring low water-to-binder ratios while still achieving good strength and durability. Traditional superplasticizers, such as naphthalene and melamine, facilitate the dispersion of cementitious particles via an electrostatic repulsion process. The latest kinds of superplasticizers, such as polycarboxylate, employ not only electrostatic repulsion from the carboxylate groups but also steric repulsion from the extended lateral ether chains in the molecule28,29,30. Research has demonstrated that incorporating superplasticizers up to 2% of the binder weight improves the workability of fresh GPC while exerting only a minor influence on its hardened strength31. Previous research has indicated that commercially available SPs offer only limited improvement in the workability of geopolymer matrices, performing significantly less effectively than they do in Portland cement systems. This reduced effectiveness is likely attributed to the high alkalinity of geopolymer environments, which can compromise the chemical stability of superplasticizer molecules32. For example, research on one-part fly ash-slag blends with commercial superplasticizers revealed that many SPs either had negligible positive impact on workability or significantly reduced compressive strength, highlighting the challenge of directly transferring admixture technologies from PC to geopolymer systems33,34.
Conversely, limited research has been conducted on the impact of utilizing SPs on one-part geopolymers to yet, despite several studies having already documented the benefits of incorporating admixtures in one-part GPs. Alrefaei et al. determined that SPs significantly improve the characteristics of one-part geopolymer paste activated by various alkali combinations. Polycarboxylate (PC), naphthalene (N), and melamine (M) superplasticizers enhance flowability, extend setting time, and elevate compressive strength. PC is highly effective in diminishing porosity and enhancing the compactness of aluminosilicate gel35. Luukkonen et al. synthesized a one-part alkali-activated mortar from blast furnace slag, utilizing solid sodium hydroxide as an activator and micro silica as an additional silica source, and evaluated the impact of various commercially available superplasticizers on its characteristics. The study concluded that Lignosulfonate-based superplasticizer had superior performance overall36. Bong et al. observed that the influence of admixtures on the characteristics of one-part geopolymers was highly contingent upon the kind of solid activator used and the particular admixture applied, with polycarboxylate-based superplasticizers identified as the most effective33. Pham et al. investigated how variations in SP content and the w/b ratio affect the mechanical performance of one-part alkali-activated GPC. Optimum result was obtained for a dosage of 2.5% SP37. Yang et al. investigated the characteristics of one-part alkali-activated slag mortars and lightweight concrete, using 0.65% PCE38.
To better contextualize the present work, a comparison of the performance of conventional liquid superplasticizers reported in previous geopolymer studies is summarized in Table 1. Although liquid superplasticizers are widely used to enhance workability in geopolymer systems, their effectiveness is often inconsistent and highly dependent on dosage and chemical compatibility. Several studies have reported moderate improvements in flowability accompanied by negligible or even adverse effects on mechanical strength. These limitations highlight the need for alternative approaches that can simultaneously improve workability and maintain or enhance strength performance in one-part geopolymer systems.
The review of available literature reveals a significant gap in understanding the effect of superplasticizers in one-part geopolymer cement systems, particularly when incorporated in powdered form. Most existing studies have focused on liquid-based SPs, which require separate addition at the time of mixing, posing handling challenges, limiting field applicability, and reducing user-friendliness. This study addresses this critical gap by evaluating the influence of two powdered superplasticizers such as SNF and PCE on the fresh and hardened properties of a novel OPGC formulated from GGBS, diatomite, and feldspar, and activated by solid sodium hydroxide and anhydrous sodium silicate. The dry incorporation of SPs into the binder eliminates the need for separate mixing steps at construction sites, offering enhanced practicality for field applications. By optimizing the dosage of these SPs, the study aims to overcome the inherent workability challenges of one-part geopolymer systems, while improving their mechanical performance. The developed binder is designed to meet or exceed the performance of 43-grade PC, making it a viable alternative for structural and general-purpose construction. In addition to experimental evaluations of flowability, strength, and durability, a comparative economic analysis is also performed to assess its feasibility for large-scale implementation. The findings of this research are expected to contribute substantially to the advancement of dry mix geopolymer technologies and offer a sustainable, cost-effective, and field deployable replacement for conventional cement.
Significance of work
This study presents a practical strategy to overcome the low workability of OPGC, a key barrier to its field implementation. A novel dry-mix approach is introduced in which powdered superplasticizers such as SNF and PCE are pre-blended directly into a geopolymer binder composed of GGBS, diatomite, and feldspar. Unlike conventional liquid admixture systems that require on-site dosing, this dry incorporation simplifies handling, improves user safety, and enhances suitability for large-scale construction applications.
The study systematically links fresh-state behavior, mechanical performance, and microstructural characteristics to the chemical stability of the superplasticizers in a highly alkaline environment. By optimizing superplasticizer dosage, the developed OPGC achieves strength comparable to 43-grade PC while offering improved workability and economic benefits. This integrated experimental and economic evaluation provides a scalable framework for developing user-friendly, high-performance dry mix geopolymer binders, thereby supporting the practical adoption of sustainable cement alternatives in the construction industry.
Materials
The binder system utilized in this study consists of GGBS, diatomite, and feldspar. The elemental oxide composition of these materials, as determined through X-ray Fluorescence (XRF) analysis, is presented in Table 2. The corresponding mineralogical phases were identified using X-ray Diffraction (XRD), with the results depicted in Fig. 1. The morphology of the materials was analyzed using a Scanning Electron Microscope (SEM), as depicted in Fig. 2. GGBS comprised 34% SiO₂, 17% Al₂O₃, and 37% CaO. Diatomite included 88% SiO₂ and 6% Al₂O₃. Feldspar comprised 68.1% SiO₂ and 15.12% Al₂O₃. GGBS was relatively amorphous. The XRD analysis of feldspar and diatomite revealed peaks of Quartz, Albite, Illite, and Cristobalite. SEM analysis of GGBS revealed an irregular morphology with smooth surfaces and angular particles. Diatomite displayed a honeycomb structure, while feldspar presented randomly shaped particles. A mixture of sodium hydroxide pellets (NH) having 98% purity and anhydrous sodium silicate powder (SS) with 98% purity were used as the activating agent.
Mineral composition of precursors.
In this study, two powdered superplasticizers were selected: sulfonated naphthalene formaldehyde (SNF) and polycarboxylate ether (PCE). Both admixtures were supplied in dry powder form to facilitate direct incorporation into the geopolymer binder. The SNF was sourced from Trisha Specialty Chemicals Private Limited (Gujarat, India), and the PCE was procured from Stenfy Chem (Dadra & Nagar Haveli, India).
The SNF superplasticizer is a polymeric condensate synthesized through sulfonation of naphthalene followed by condensation with formaldehyde, resulting in a backbone of repeated naphthalene units functionalized with sulfonate (–SO₃⁻) groups connected by methylene bridges. This structure imparts an anionic polyelectrolyte character, enabling strong adsorption onto particle surfaces and promoting dispersion through electrostatic repulsion (i.e., formation of negatively charged particle surfaces) and some steric effects from polymer chains. SNF typically has a relatively low molecular weight (on the order of 1,000–3,000 Da) compared to modern high-range admixtures and primarily functions via electrostatic mechanisms.
Particle morphology of; (a) GGBS, (b) diatomite, (c) feldspar.
In contrast, PCE superplasticizers are based on a comb-like macromolecular architecture, consisting of a negatively charged polycarboxylate backbone with long polyethylene oxide (PEO) side chains. This unique structure promotes dispersion of particles through a combined mechanism of electrostatic repulsion and steric hindrance, with the side chains providing a physical barrier that prevents particle agglomeration and enhances workability retention. Typical PCE polymers have much higher molecular weights (often ≥ 20,000 Da) and deliver stronger water-reducing effects than traditional sulfonated condensates.
In the present work, the PCE admixture was supplied as a fine white powder with a high solid content of 98.5%, a pH of 5.5, minimal chloride content (0.004%), and a small amount of sodium sulfate (≈ 4%). The SNF appeared as a light brown powder with a pH of 5.86, specific gravity of 1.10, and solid content of 50.23%. Both powders were readily soluble in water, but their distinct molecular structures suggest differing dispersion behaviours and compatibility in the high-alkalinity environment of geopolymer mixtures. These differences in structural chemistry and functional groups are expected to influence adsorption characteristics on binder particles, dispersion efficiency, and ultimately the fresh and hardened performance of the geopolymer system. Figure 3(a) shows SNF and 3(b) shows PCE.
Superplasticizers used. (a) SNF, (b) PCE.
Mortar specimens were fabricated using M sand that complies with zone II specifications. The aggregate exhibited a water absorption of 1.1%, indicating low porosity and minimal moisture retention, which is advantageous for maintaining effective water availability during mixing. A fineness modulus of 2.4 was obtained, classifying the material as medium-graded sand and suggesting its suitability for achieving adequate particle packing in mortar systems. The specific gravity of the fine aggregate was measured as 2.67, consistent with values reported for conventional natural fine aggregates. Furthermore, the bulk density was found to be 1.83 kg/l, reflecting satisfactory packing density, while the natural moisture content was limited to 0.297%. Figure 4 illustrates the particle size distribution curve.
Particle size distribution of fine aggregate.
Methodological Approach
This study was conducted to evaluate the influence of SNF and PCE on both the fresh and hardened properties of an OPGC.
The cement formulation consists of a ternary blend of ground granulated blast furnace slag (GGBS), diatomite, and feldspar, activated using a solid alkaline activator added at 10% of the binder mass. The activator comprises a combination of sodium silicate (SS) and sodium hydroxide (NH) at a fixed SS/NH ratio of 1.5. This ratio and activator dosage were not selected arbitrarily but were established through a prior systematic optimization study conducted by the authors, in which different activator contents and SS/NH ratios were evaluated with respect to workability, strength development, and overall performance of the one-part geopolymer system43. The optimized combination of 10% activator dosage and an SS/NH ratio of 1.5 demonstrated the best balance between mechanical performance and mix stability. Table 3 presents the mix proportions adopted in the present study based on this optimized formulation.
Outline of the work.
Eleven mixes were prepared, comprising five with SNF (0.5%, 1%, 1.5%, 2%, and 2.5%), five with PCE (0.5%, 1%, 1.5%, 2%, and 2.5%), and one control mix without SP. Additionally, one set of mortar with conventional cement (PC) was also made for comparison. The mix ID comprises three parts. The first portion represents the mix number (M1, M2, M3, etc.), the next part indicates the type of superplasticizer (N-SNF and P-PCE, C- control mix without SP), and the last portion specifies the dosage of superplasticizer as a percentage of the weight of the binder. The w/b ratio was kept constant at 0.45 for all mixes. All components, comprising the precursor, activator, and SP, were dry mixed in a mortar mixer for one minute at a low speed. Subsequently, 80% of the water was incorporated and blended for three minutes. Then the fine aggregate and the remaining 20% portion of water were introduced and stirred for an additional 3 min. Fresh paste was subjected to workability tests. Cubes of 50 mm, 70 mm, prisms measuring 40 × 40 × 160 mm, and cylinders of 100 × 200 mm were made for various experiments. After a curing period of 24 h, the specimens were removed from their molds. All specimens were cured under controlled laboratory ambient conditions using an oven at 27 ± 2 °C, while the relative humidity was controlled within a range of 45–55%. These conditions correspond to typical indoor laboratory environments commonly adopted in studies on geopolymer and cementitious materials, thereby ensuring stable reaction kinetics and consistent curing behavior. An overview of the experimental procedure is presented in Fig. 5.
Tests conducted
The fresh properties of the mix were assessed in terms of workability and setting time. Workability was measured using the flow table test as per ASTM C 143744. The findings were presented in relative slump terms based on the following equation as stated by Alrefaei et al35..
Where, \(\:\tau\:_{p}\) denotes the relative slump, d represents the average of three measured diameters of the spread, and do signifies the cone bottom diameter, which is equivalent to 100 mm as specified in ASTM C1437-15. The setting time was determined using a Vicat apparatus, following the procedure outlined in IS 4031 (Part 5)45.
Mechanical properties were assessed in terms of compressive strength (CS), flexural strength (FS) and split tensile strength (STS). CS was conducted on 50 mm cubes at 7, and 28 days of age. The cube specimens underwent testing at a load rate of 0.58 MPa/s, in compliance with ASTM C10946. Three samples were analyzed for each mix, and the mean was calculated. FS was conducted in accordance with ASTM C 348 on prisms measuring 40 × 40 × 160 m47. Strength assessments were conducted on the 7th and 28th days. Cylinders with a diameter of 100 mm and a height of 200 mm were utilized for the STS test. The test was performed in accordance with ASTM C 49648. Measurements were conducted on days 7 and 28 analogous to CS and FS. For each mix, three specimens were tested, and their average value was computed.
To assess the non-destructive mechanical characteristics of the developed one-part geopolymer mortar (OPGM), Ultrasonic Pulse Velocity (UPV) and Rebound Hammer (RH) tests were employed. The UPV was performed in accordance with ASTM C 597 to assess the quality and uniformity of the mortar49. The specimen’s surface was cleaned and polished to provide optimal transducer contact. Couplant was applied on the transducer surfaces and the interface. Transmitter and receiver transducers were positioned at designated locations, and measurements recorded. The examination was conducted in direct transmission mode. Three duplicates were conducted at each location to guarantee uniformity, and the mean pulse velocity was reported. The surface hardness and compressive strength were assessed using the RH method in accordance with ASTM C80550. Geopolymer mortar cubes of size 70 × 70 × 70 mm were cast and cured for 28 days. A Schmidt Rebound Hammer (Type N), calibrated with an impact energy of 2.207 Nm, was used for testing. The hammer was held perpendicular to the specimen surface, and 10 rebound values were recorded at different points, avoiding edges. The highest and lowest values were discarded, and the average rebound number was calculated.
Zeta potential measurements were conducted to assess the surface charge characteristics of precursor particles and superplasticizer-particle interactions in the geopolymer system. Prior to measurement, all samples were prepared under controlled conditions to minimize the influence of extraneous ionic species and to ensure reproducibility. A stock suspension of each sample was prepared by dispersing 1 g of the powdered material in 100 mL of ethanol to reduce the effects of high alkalinity and to minimize rapid particle agglomeration. Ethanol was selected as the dispersion medium because of its low dielectric constant and reduced ionization relative to aqueous media, which provides a stable baseline for assessing particle surface charge behavior in alkaline systems. The ionic strength of the suspension was controlled by avoiding the addition of external electrolyte solutions; therefore, the only ionic species present originated from the sample surface groups and any residual adsorbed ions. After thorough sonication and mechanical mixing for 10 min to promote uniform suspension and break up agglomerates, the suspension was allowed to equilibrate. A 3–5 mL aliquot of the supernatant was then carefully extracted for zeta potential measurement. Measurements were conducted using a laser Doppler electrophoresis instrument, with each measurement repeated at least three times to ensure statistical reliability. Because ethanol has limited auto-ionization, the pH of the measurement medium was monitored and recorded, and ranged between pH 5–7 after dispersion, reflecting minimal contribution from free hydroxide or silicate species under the chosen conditions. This pH range was deliberately maintained to avoid the rapid hydrolysis of surface groups that can occur in strongly alkaline aqueous environments, which would otherwise dominate the zeta potential signal and reduce sensitivity to superplasticizer adsorption effects. This approach aligns with established procedures for assessing particle surface charge in similar systems51.
Total organic carbon (TOC) analysis was performed to quantitatively evaluate the adsorption behavior of superplasticizers on geopolymer precursor particles. Suspensions were prepared by mixing a known mass of precursor powder with a superplasticizer solution of known concentration under control stirring for 30 min to ensure adsorption equilibrium. The suspensions were then centrifuged and filtered to separate the solid phase. The TOC content of the supernatant was measured using a TOC analyzer, and the adsorbed amount of superplasticizer was calculated from the difference between the initial and equilibrium organic carbon concentrations. Adsorption values were normalized with respect to the mass of solid precursors. All measurements were conducted in triplicate to ensure reproducibility.
The stability of superplasticizers in the highly alkaline environment of the geopolymer system was analyzed through ATR-FTIR. Initially, each SP was dissolved in distilled water and analyzed to serve as a reference. Subsequently, the SPs were introduced into an alkaline solution composed of NH and SS, formulated to replicate the conditions present in the GP system. The activator solution was prepared with a SS/NH ratio of 1.5. The liquid content was adjusted to achieve a w/b ratio of 0.45. The superplasticizer was added to the activator solution at a 1:1 ratio to ensure uniform dispersion. The prepared mixtures were allowed to react for 24 h before conducting the test. Figure 6 shows the prepared sample.
Samples prepared for ATR-FTIR. (a) SPs dissolved in activator, (b) SPs dissolved in water.
Microstructural analysis was performed using X-Ray Diffraction (XRD), Scanning Electron Microscopy (SEM) and Energy Dispersive Spectroscopy (EDS). XRD determined the mineralogical composition of the geopolymer mortar. Measurements were conducted using a Bruker Kappa Apex II diffractometer with Ni-filtered Cu-Kα radiation. The utilized current and voltage values were 40 mA and 45 kV, respectively. The data collection measured 2θ from 10° to 90° to provide accurate phase determination throughout the process. The surface morphology was analyzed employing SEM in conjunction with EDS. A ZEISS Sigma scanning electron microscope was utilized. The EDS analysis was performed to ascertain the elemental composition of the material.
Result and discussions
Effect of SPs on flowability
Figure 7 illustrates the influence of SPs on the workability of GP mixes with a w/b ratio of 0.45 and Fig. 8 shows the flow diameter for mixes M2-N-1, M7-P-1 and M11-C. The findings suggest that the inclusion of SNF led to a significant enhancement in workability, whereas the effect of PCE was comparatively less pronounced. The relative slump for all mixes was calculated and depicted in Fig. 7. The maximum flow was observed for an SNF dosage of 1% (M2-N-1), which resulted in a flow improvement of 272.9%. Mix with 0.5% SNF (M1-N-0.5) resulted in 138.38% improvement compared to the control mix (M11-C). However, further increasing the SNF dosage to 1.5%, 2%, and 2.5% (M3-N-1.5, M4-N-2, and M5-N-2.5) led to a decrease in flow, with respective values of 218.02%, 166.02%, and 132.96%. These results indicate that as the SNF dosage exceeded 1%, the flow value began to decline. Similarly, the effect of PCE on workability followed a trend where flow initially increased with increasing dosage up to 1.5% (M8-P-1.5), beyond which a reduction was observed. The relative slump values recorded by 0.5% (M6-P-0.5), 1% (M7-P-1), and 1.5% (M8-P-1.5) PCE dosages were 4.46%, 13.49%, and 14.4%, respectively. However, PCE dosages exceeding 1.5% (M9-P-2 and M10-P-2.5) led to a decline in flow, reducing the relative slump to 8.49% and 6.24%, respectively. A modest improvement in workability was noted when the PCE dosage increased from 0.5% to 1%, but further increasing to 1.5% resulted in no visible changes. Moreover, the overall increase in workability with PCE was less significant compared to SNF. The mix with 1% SNF resulted in almost similar flow to that of PC.
The performance variations between SNF and PCE in geopolymer systems can be attributed to differences in their dispersion mechanisms and compatibility with the highly alkaline environment of geopolymer binders. SNF function primarily through electrostatic repulsion, where adsorption onto geopolymer particles induces a negative surface charge, enhancing dispersion and improving flowability52. Conversely, PCE works through steric hindrance, a mechanism more effective in Portland cement-based systems53. Similar findings have been reported in previous studies, where PCE exhibited limited dispersion effectiveness in geopolymer systems. Partschefeld et al. observed that PCE functions primarily as a thickener rather than as a dispersing agent in geopolymer systems54. Likewise, Palacios and Puertas reported the instability of PCE in the highly alkaline environment of geopolymers. They noted that PCE loses its steric repulsion capability upon interaction with alkaline activators, thereby reducing its effectiveness as a dispersant55.
Effect of SPs on flowability.
Flow table test. (a) M2-N-1, (b) M7-P-1, (c) M11-C.
Setting time
Initial (IST) and final setting times (FST) of the geopolymer paste were recorded using the Vicat apparatus in line with IS 4031 (Part 5), with the IST marking the start of hardening and the FST representing complete hardening. Figure 9 presents the initial and final setting times of geopolymer paste formulated with two different superplasticizers. The result indicates that SNF exhibited a slight retarding effect on the setting time of the GP paste, whereas PCE demonstrated no significant influence on the setting behavior. However, at higher dosages of SNF, the variation in setting time between successive dosage levels was not significantly pronounced.
Initial and final setting time of mixes.
The IST for all mixes ranged from 127 to 173 min, while the FST varied between 323 and 368 min. The use of SNF retarded the IST from 131 to 173 min and the FST from 327 to 368 min when the dosage increased from 0.5% to 2.5%. The increase in IST for M1-N-0.5, M2-N-1, M3-N-1.5, M4-N-2, and M5-N-2.5, compared to the control mix (M11-C), was observed to be 0.76%, 12.16%, 20.73%, 23.97%, and 24.85%, respectively. The retarding effect of SPs can be based on their adsorption behavior on the surface of aluminosilicate raw materials. This adsorption hinders the dissolution and subsequent reaction of these precursors with the alkaline activator, thereby delaying the alkali activation process and extending the setting time35. Numerous studies have also highlighted the delaying effect of SPs on the setting time of alkali-activated materials, notably those incorporating fly ash and GGBS. Raju et al. observed that SNF delayed the setting of FA-GGBS geopolymer paste by interfering with the dissolution of precursors56. Similarly, Wang et al. found that various SPs disrupted the equilibrium of fly ash dissolution and hindered early polymerization, thus extending the setting time57. Alrefaei et al. also confirmed that SPs delayed both the IST and FST in one-part GPs, with the extent of delay depending on the SP type and w/b ratio58.
For PCE-based mixes, no significant variations were observed in either the IST or FST across different dosage levels. The results obtained were almost like the control mix. Similar results were also reported by Bong et al. which described the inefficiency of PCE superplasticizers in geopolymer system33.
Compressive strength
The CS results of the samples were evaluated at 7 and 28 days and are given in the Fig. 10. The obtained data was compared with the control mix (M11-C), which was prepared without any superplasticizer and a PC mix.
Compressive strength results.
The mortar made with PC resulted in a 7-day strength of 26 MPa and a 28-day strength of 42.35 MPa. The results indicate that SNF positively influences the CS of GP mortar, particularly at moderate dosages. The 7-day CS increased with SNF dosage up to 1%, after which a decline was observed at higher dosages. The mix containing 1% SNF (M2-N-1) exhibited the highest 7-day CS of 44.668 MPa, which is 28.8% higher than the control mix. However, further increasing the SNF dosage to 2.5% (M5-N-2.5) resulted in a reduction in 7-day strength to 31.8 MPa, which is 8.3% lower than the control. A similar trend was observed at 28 days, where the mix containing 1% SNF achieved the highest strength of 53.785 MPa, which is 15.44% higher than the control. The mix with 1.5% SNF (M3-N-1.5) also demonstrated a comparable strength of 51.819 MPa, though slightly lower than mix M2-N-1. However, as the SNF dosage increased beyond 1.5%, the CS showed a declining trend, with the mix M5-N-2.5 achieving only 45.374 MPa, which is 6.6% lower than the control. The observed reduction at higher SNF dosages may be attributed to excessive dispersion of particles, which disrupts the formation of a dense geopolymer matrix, leading to lower strength. Verma et al. also reported that SNF dosage beyond 1% reduced the strength of geopolymer made with fly ash and GGBS31.
Unlike SNF, the inclusion of PCE had a detrimental effect on the CS of geopolymer mortar. Over 7 days, all PCE-based mixes exhibited lower CS compared to the control mix. The highest 7-day strength among PCE mixes (28.513 MPa) was recorded at 1% PCE dosage (M7-P-1), which is 17.8% lower than the control. As the PCE dosage increased, the strength further declined, with the 2.5% PCE mix (M10-P-2.5) resulted in the lowest strength. The highest 28-day strength among PCE mixes was observed in M6-P-0.5 (32.8 MPa), which is 32.5% lower than the control mix (48.589 MPa). As the PCE dosage increased, the 28-day strength further decreased, with M10-P-2.5 (25.67 MPa) recording the lowest strength, representing a 47.2% reduction compared to the control. This suggests that PCE is ineffective in geopolymer systems, due to its instability in highly alkaline environments, leading to poor dispersion and weaker matrix formation. Similar results were reported by Partschefeld et al., which showed the degradation of PCE particles in the highly alkaline environment of geopolymer system54. A study conducted by Das et al. also reported the superior performance of SNF over PCE59.
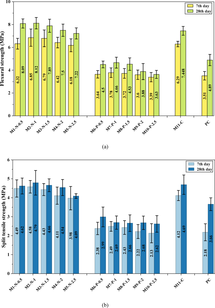
Flexural and split tensile strengths
FS and STS are important indicators of a mortar’s ability to resist bending and indirect tensile forces. These properties play a critical role in the structural performance and durability of GP mortar. In this study, both properties were evaluated at 7 and 28 days for mixes incorporating varying dosages of SNF and PCE and are depicted in Fig. 11. Results showed that the inclusion of SNF improved both FS and STS, particularly at an optimum dosage of 1%. At this dosage, the 28-day FS reached 8.12 MPa, slightly higher than the control mix (7.448 MPa), and the STS was 4.79 MPa, marking a 4.6% improvement over the control. This suggests that SNF helped enhance matrix compactness through better particle dispersion and workability. However, increasing SNF dosage beyond 1.5% led to a gradual decrease in strength, likely due to over-dispersion, which may have disrupted particle bonding within the matrix.
Flexural and Split tensile strength results.
Conversely, the use of PCE resulted in a noticeable drop in both FS and STS across all dosages. The maximum FS achieved with PCE was 4.66 MPa in 28 days, which is approximately 38% lower than the control specimen, while the highest STS record was 2.99 MPa, about 36% lower. As PCE dosage increased, the strength continued to decline, indicating poor compatibility with the geopolymer matrix, possibly due to its degradation in highly alkaline environments60.
The PC mix showed an FS of 2.2 MPa at 7 days and 4.10 MPa at 28 days, while the STS increased from 2.24 MPa to 3.81 MPa over the same period. Although these values reflect normal strength development, they were lower than those observed in SNF-based geopolymer mixes and higher than the PCE-based mixes.
Ultrasonic pulse velocity
The UPV test is a widely accepted method for evaluating the internal quality, compactness, and overall uniformity of cement-based materials.
Ultrasonic pulse velocity.
. In general, higher UPV readings are associated with improved density, reduced porosity, and enhanced mechanical performance. In this study, UPV measurements were used to examine the impact of different superplasticizer types and dosages on the structure of OPGM. As illustrated in Fig. 12, mixes containing SNF exhibited significantly higher UPV values than other mixes, indicating a more compact and cohesive internal structure. The mix with 1% SNF (M2-N-1) recorded the highest UPV value of 4000 m/s, which also corresponded to the maximum compressive strength (53.785 MPa). This suggests that the addition of SNF at this level led to improved particle distribution and better gel formation. However, as the SNF content increased beyond 1%, a steady decline in UPV values was noted. This decrease is likely due to excessive dispersion of solid particles, which may have interfered with the development of a continuous geopolymer matrix, leading to more pores and potential microcracking within the material.
The PCE-modified mixes exhibited significantly lower UPV values across all dosages, indicating a weak and porous microstructure. The highest UPV among PCE mixes (3240 m/s in M6-P-0.5) was considerably lower than the SNF-based mixes, reinforcing that PCE did not improve the compactness of the GP mortar. The lowest UPV (2962 m/s) was recorded for M10-P-2.5, which also exhibited the lowest compressive strength (25.67 MPa). Unlike SNF, PCE does not contribute to the geopolymerization process and may degrade under alkaline conditions, leading to poor bonding between precursor materials and an increase in microstructural defects. The absence of additional binding phases in the XRD spectra of PCE-modified mixes suggests that PCE may inhibit the dissolution of precursors, impeding the formation of geopolymer gel phases, vital for the development of strength.
The control mix, M11-C exhibited a UPV of 3900 m/s, which is higher than all PCE mixes and most SNF mixes, except for the M2-N-1 mix. This suggests that superplasticizer addition is beneficial only when optimized, as excessive SNF dosages lead to a decrease in compactness. The PC mortar exhibited a UPV of 3887 m/s, which is lower than the control geopolymer mix and SNF-modified geopolymer mixes but higher than PCE-based mixes. This confirms that geopolymer mortars can achieve superior compactness and homogeneity compared to PC when properly formulated.
Relation between compressive strength and UPV
To investigate the non-destructive evaluation potential of ultrasonic pulse velocity testing in predicting the CS of OPGM, a linear regression analysis was performed using experimental data from 12 different mixtures. Figure 13 shows the obtained correlation curve. The analysis yielded a strong positive correlation between UPV and CS, with a Pearson correlation coefficient (r) of 0.99206 and an R² value of 0.98418. This indicates that approximately 98.4% of the variability in CS can be explained by the UPV values. The regression equation derived from the analysis is:
Y = 38.29X + 2018.51 (2).
The slope of 38.29 and intercept of 2018.51 both exhibited high statistical significance (p < 0.0001), as confirmed by the very low probability values from the t-tests. The F-value of 622.07 from the ANOVA table, coupled with a significance level of less than 0.0001, further reinforces the strength and reliability of the regression model. These results suggest that UPV can serve as a reliable non-destructive indicator for assessing the CS of OPGM.
Correlation between UPV and Compressive strength.
Rebound hammer
The Rebound Hammer Test is a widely employed non-destructive method for evaluating surface hardness and estimating the CS of cementitious materials. The rebound number (RN) reflects the material’s surface quality, where higher values typically indicate better density and strength. Figure 14 presents the rebound number results for the geopolymer mixes, including comparisons with the control and PC samples. Among the tested mixes, those modified with SNF showed higher rebound numbers, suggesting improved surface compactness and better strength development. These results support the observation that SNF enhances the formation of a more integrated and durable geopolymer structure. The value increased up to a certain dosage of SPs, thereafter it decreased. The change was more pronounced for SNF rather than PCE. The highest rebound number (44) was recorded for the M2-N-1 mix, which represents a 7.3% increase compared to the control mix (41) and a 29.4% increase compared to the PC mix (34). However, as the SNF dosage increased, the rebound number decreased. For PCE mixes, the highest rebound number obtained was 31, which was less than the control mix and PC. M10-P-2.5 resulted in the lowest rebound number of 25. The results are in line with the compressive strength results and UPV.
Rebound Hammer test results.
Relation between compressive strength and rebound number
The correlation between RN and CS was investigated to assess the applicability of surface hardness-based non-destructive testing in evaluating the mechanical performance of OPGM. Figure 15 shows the obtained correlation curve.
A robust linear relationship was observed, as evidenced by the regression equation:
Y = 0.6357X + 9.8845 (3).
The model demonstrated a high degree of reliability with an R2 value of 0.9823, indicating that more than 98% of the variability in CS is accounted for by changes in the RN. This is further supported by a Pearson correlation coefficient of 0.9911, which reflects a near-perfect positive correlation. The p-value associated with the regression parameters was well below 0.05, confirming their statistical significance. The small standard errors of the intercept (± 1.0835) and slope (± 0.02696) suggest consistent data distribution around the regression line. In comparison with the correlation established between UPV and CS, which yielded a slightly higher R2 value of 0.9856 and a Pearson correlation coefficient of 0.9928, it is evident that both NDT methods exhibit strong predictive potential. However, while UPV provides a more comprehensive assessment of internal density and integrity, the RH offers simplicity and rapid field application with minimal equipment.
Correlation between Rebound number and Compressive strength.
Zeta potential analysis
The zeta potential measurements offer important perspectives on the electrostatic interactions among the SPs and the geopolymer cement particles, which directly influence workability and mechanical performance. The zeta potential of the geopolymer cement was recorded as −1.03 mV, while the zeta potential of SNF and PCE was − 0.3 mV and − 3.8 mV, respectively. These values indicate that all components carry a negative surface charge, resulting in electrostatic repulsion between SP molecules and geopolymer particles. However, the degree of repulsion varies between SNF and PCE, affecting their adsorption and dispersion efficiency. The workability and strength improvements observed with SNF can be attributed to its relatively lower negative charge, which allows for better adsorption onto the geopolymer particles compared to PCE. Although electrostatic repulsion exists, it is less pronounced, enabling partial adsorption and some level of steric hindrance, leading to improved dispersion of geopolymer particles. This results in enhanced particle packing, reduced water demand, and improved microstructural development, contributing to higher strength and better workability. On the other hand, PCE exhibited no improvement in workability and caused a reduction in strength. This can be attributed to its stronger negative charge, which results in greater electrostatic repulsion from the negatively charged geopolymer particles. As a result, PCE molecules fail to adsorb effectively, leading to inefficient particle dispersion. Additionally, the long side-chain structure of PCE, which is effective in Portland cement-based systems, may not be compatible with the geopolymer gel phase, further reducing its effectiveness. The lack of proper dispersion prevents the formation of a dense matrix, leading to weaker interparticle bonding and lower compressive strength.
Total organic carbon (TOC) analysis
TOC analysis was performed to quantify the adsorption of superplasticizers on geopolymer precursor particles by comparing the organic carbon remaining in the supernatant after equilibrium. The SNF system exhibited a residual TOC of 43.06 mg L⁻¹ and a TN value of 3.1 mg L⁻¹, indicating substantial removal of organic species from the solution and therefore strong adsorption onto the precursor surface. This adsorption behaviour corresponds to effective electrostatic interaction between sulfonate functional groups of SNF and calcium-rich geopolymer reaction products, promoting improved particle dispersion.
In contrast, the PCE system showed a higher residual TOC of 78.40 mg L⁻¹ and a TN value of 6.2 mg L⁻¹, reflecting weaker adsorption and greater molecular instability in the highly alkaline environment. Limited adsorption reduces the formation of a stable steric barrier around particles, resulting in lower dispersion efficiency.
The comparative results demonstrate that SNF exhibits stronger surface affinity than PCE, which explains the superior workability, strength development, and microstructural densification observed in SNF-modified mixes.
Attenuated total reflectance–fourier transform infrared spectroscopy (ATR-FTIR)
The FTIR spectra of SNF and PCE superplasticizers dissolved in both distilled water and alkali activator solution are presented in Fig. 16 (a) and 16 (b), respectively. For SNF, the broad absorption band observed at approximately 3340 cm− 1 is associated with the stretching vibration of hydroxyl (OH) groups, while the peaks located at 1643 cm− 1 and 1636 cm− 1 are attributed to the aromatic ring structures inherent to the naphthalene-based backbone55. The characteristic functional groups of SNF, particularly sulfonic groups (SO₃−), which are crucial to its dispersing action, are evident in the spectral range of 1250–950 cm− 161. Notably, the presence of these sulfonic group bands persists even after exposure to the alkaline activator solution, suggesting that the core molecular structure of the SNF remains chemically stable under high pH conditions. Palacios et al. found that the formulation of naphthalene-based admixtures is not altered in the geopolymer system55.
Significant chemical changes were observed in the FTIR spectrum of PCE after interaction with the alkaline medium. The broad OH stretching band between 3370–3344 cm− 1 remained visible; however, the distinct absorption bands corresponding to the carboxylate functional groups (1458–1155 cm− 1) were no longer detectable following alkali treatment. Similarly, the ester-related peaks in the 950–800 cm⁻¹ range disappeared, indicating possible hydrolysis or degradation of ester linkages. Furthermore, the absorption bands associated with ether bonds in the lateral chains of the PCE backbone, typically found at 1082–1080 cm− 1, exhibited substantial attenuation, implying degradation of the polymer’s side chains in the alkaline environment57.
These findings suggest that PCE undergoes structural decomposition when exposed to strong alkaline conditions, which likely compromises its performance in geopolymer systems. A similar observation was made by Palacios et al., who reported that PCEs undergo structural changes when exposed to highly alkaline environments. This alteration in molecular structure affects their performance and stability in alkali-activated systems55. Supporting this, Carabba et al. also concluded that PCEs are chemically unstable under alkaline conditions62.
ATR-FTIR spectra for; (a) SNF and (b) PCE.
However, the influence of PCEs varies depending on the type of precursor material used in the geopolymer matrix. In alkali-activated slag systems, the carboxylate-containing backbone of the PCE tends to adsorb onto the slag particle surfaces, with minimal steric hindrance effects due to the limited interaction of the side chains57,63. In contrast, in alkali-activated fly ash systems, although some degradation of the main chain may occur, the side chains often remain functional and continue to contribute to steric hindrance. These differing behaviors are likely due to the distinct chemical and physical characteristics of slag and fly ash62.
X-Ray diffraction analysis
Figure 17 illustrates the XRD patterns of geopolymer mortar specimens incorporating varying dosages of SPs, alongside a reference sample produced with PC. The diffraction pattern of the PC sample revealed the presence of quartz (SiO₂) and calcite (CaCO₃) as the dominant crystalline phases, consistent with previously reported hydration products of PC systems64,65. In contrast, the control geopolymer mix, prepared without any SP exhibited characteristic reflections attributable to cristobalite, quartz, and calcium silicate hydrate phases, which are commonly associated with alkali-activated binders66. These phases indicate geopolymerization, wherein both unreacted precursor minerals and newly developed gel phases coexist within the matrix.
For samples modified with PCE, the XRD profiles showed no emergence of new crystalline phases relative to the control mix. The absence of additional reaction products suggests that PCE did not participate in the geopolymerization process, likely due to its chemical instability under highly alkaline conditions. This observation aligns with the findings of Carabba et al39. who reported degradation of PCEs in alkali-activated systems, and Palacios and Puertas63, who found that the main chains of PCEs deteriorate in high-pH media, limiting their ability to facilitate particle dispersion and gel formation. The predominance of quartz and unreacted materials further implies that PCE may have impeded precursor dissolution, potentially contributing to the observed reductions in mechanical performance.
Conversely, samples incorporating SNF demonstrated notable alterations in their diffraction patterns, particularly at the 1% dosage level. An increase in the intensity of broad humps within the 2θ range of 20°−30°, typically associated with amorphous geopolymer gel was evident. This suggests enhanced gel formation and improved microstructural development67. These changes are indicative of better precursor activation and gel network connectivity, likely facilitated by improved dispersion of reactive particles in the presence of SNF. However, with higher SNF dosages, the amorphous peak intensity declined while the relative intensity of unreacted quartz increased, suggesting that excessive SP addition may have disrupted the matrix formation and limited the extent of geopolymerization. This reduction in gel formation is consistent with the corresponding decrease in compressive strength observed at elevated SNF contents.
These results are in line with previous research that has focused on the complex influence of SPs in GP systems, where their effectiveness is closely tied to their chemical stability and interaction with the alkaline environment68,69.
XRD pattern of mortar specimens.
Scanning Electron Microscopy (SEM) and Energy Dispersive Spectroscopy (EDS)
To examine the effect of SP type and concentration on the microstructure of OPGC, SEM coupled with EDS was performed on selected mixes such as M1-N-0.5, M2-N-1, M5-N-2.5, M6-P-0.5, M7-P-1, M10-P-2.5 and M11-C and are shown in Fig. 18. These mixes were selected to represent the threshold and extreme dosages, providing insight into the correlation between the microstructure and the strength properties of the geopolymer system. The SEM analysis revealed notable differences in the microstructure of geopolymer mortars modified with SNF and PCE superplasticizers. The control sample, which did not contain any superplasticizer, displayed a dense and compact matrix with a limited number of unreacted particles. This indicates that a substantial portion of the precursor materials participated in the geopolymerization process. In the mix containing 1% SNF (M2-N-1), the microstructure appeared more uniform and tightly packed, with fewer visible cracks or voids. This suggests improved formation of geopolymer gels and a denser matrix, which aligns with the enhanced mechanical performance seen in compressive strength, UPV, and rebound hammer tests. The presence of SNF likely contributed to better dispersion of the binder particles, helping to create a more interconnected and continuous gel network. At a lower SNF dosage (M1-N-0.5), the structure remained relatively dense, but more porous zones and partially unreacted particles were observed compared to M2-N-1. This corresponds with the moderate improvements in mechanical properties recorded for this mix. In contrast, the microstructure of the mix with a higher SNF dosage (M5-N-2.5) showed increased signs of microcracking and a less uniform matrix. These features indicate that an excess of superplasticizer may have caused over-dispersion of particles, interfering with proper gel formation and leading to weaker bonding within the matrix. This trend supports the conclusion that an optimal SNF dosage is necessary for achieving the best performance. The excessive SNF likely disrupted the optimal polymerization kinetics, hindering the gel network continuity and reducing mechanical strength.
SEM and EDS images. (a) M1-N-0.5, (b) M2-N-1, (c) M5-N-2.5, (d) M6-P-0.5, (e) M7-P-1, (f) M10-P-2.5, (g) M11-C.
The mixes incorporating PCE displayed significantly compromised microstructures. Even at the lowest dosage (M6-P-0.5), the matrix was loosely bonded with visible micro voids and dispersed particles, indicating poor gel formation. At 1% and especially at 2.5% PCE (M10-P-2.5), the SEM images revealed a fragmented and porous matrix, with minimal gel coverage and numerous unreacted precursor particles. The presence of large voids and a discontinuous binder matrix further support the lower mechanical strength and UPV values observed in these mixes. The degradation of PCE under the highly alkaline conditions likely inhibited effective particle dispersion and interrupted the geopolymerization process.
EDS elemental mapping confirmed the primary elemental constituents of the geopolymer matrix as oxygen (O), silicon (Si), aluminum (Al), sodium (Na), calcium (Ca), and magnesium (Mg). These elements are typical of geopolymer systems derived from GGBS, diatomite, and feldspar in the presence of alkaline activators. In SNF-modified mixes, particularly at 1% dosage, a relatively uniform distribution of Si and Al was observed, indicating a well-developed aluminosilicate gel matrix. The Na distribution was also homogeneous, suggesting effective incorporation into the gel network and minimal efflorescence potential. Higher Ca content from GGBS contributed to the formation of N-A-S-H and C-A-S-H type hybrid gels, enhancing strength and durability. The presence of Mg in trace amounts may further stabilize the gel structure by forming secondary phases. In PCE-modified mixes, the EDS spectra revealed uneven distributions of Si and Al, with localized enrichments of Na and unreacted Ca. This suggests poor geopolymer gel formation and incomplete reaction of precursor materials. The PCE mixes also exhibited regions of elemental segregation, particularly in the M10-P-2.5 sample, consistent with microstructural discontinuities seen in SEM.
Economic analysis
The economic viability of alternative binders is critical to their large-scale adoption in the construction industry. While ordinary Portland cement continues to serve as benchmark material for structural applications, its high energy demand, reliance on finite raw materials, and carbon-intensive clinker production raise significant environmental and economic concerns. In this context, OPGC presents a sustainable and potentially cost-effective solution. Unlike two-part systems, which involve complex handling of alkaline solutions, the one-part system offers the practical advantage of dry-mix processing, making it more suitable for real-world applications.
To evaluate the cost competitiveness of the developed OPGC formulation, a comparative analysis was conducted against PC. The binder composition consists of 70% GGBS, 10% diatomite, and 20% feldspar. An alkaline activator blend of NH and SS, in a NS/NH ratio of 1.5, was used at 10% of the total precursor weight. SNF was incorporated at a concentration of 1% by binder weight to enhance workability. The market prices for the raw materials are presented in Table 4.
The total cost for producing 1 kg of the one-part geopolymer binder is estimated at ₹6.73. In comparison, the prevailing market price of PC ranges from ₹8.00 to ₹9.00 per kg. Thus, the developed geopolymer cement demonstrates a cost reduction of approximately 16%–25% relative to PC. The cost-effectiveness, along with the environmental benefits derived from utilizing industrial by-products and minimizing CO₂ emissions, highlights the economic and ecological benefits of this system.
Moreover, the dry-mix nature of the one-part geopolymer enhances storage stability and eliminates the need for specialized mixing protocols or safety measures associated with handling corrosive liquid activators. The abundance and low cost of the selected precursors; GGBS, diatomite, and feldspar, further reinforce the scalability and sustainability of the formulation.
Importantly, the developed OPGC attained a compressive strength exceeding 43 MPa, which is comparable to or greater than the minimum strength requirements of 43-grade PC as per IS:8112 standards70. This demonstrates that the geopolymer cement is not only economically and environmentally superior but also technically capable of replacing conventional PC in structural and general-purpose construction applications.
Summary and future scope
This study examined the effectiveness of powdered superplasticizers in improving the workability and performance of a ternary one-part geopolymer cement composed of GGBS, diatomite, and feldspar. The main scientific contributions and findings of this work can be summarized as follows:
-
A scalable dry-mix methodology was successfully developed by pre-blending powdered superplasticizers into a ternary one-part geopolymer cement (GGBS–diatomite–feldspar), eliminating on-site liquid admixture dosing and enhancing field applicability.
-
Sulfonated naphthalene formaldehyde (SNF) demonstrated superior compatibility with the highly alkaline geopolymer system, with an optimum dosage of 1% by binder mass. At this level, SNF increased workability (relative slump + 272.9%) and improved mechanical performance, including a 15.44% gain in 28-day compressive strength, alongside enhanced flexural and split tensile strengths. All SNF-modified mixes exceeded 43 MPa at 28 days, matching the benchmark of 43-grade Portland cement.
-
Multi-scale characterization confirmed the underlying mechanisms: zeta potential and ATR-FTIR analyses verified the chemical stability of SNF, while PCE exhibited functional group degradation and poor dispersion behavior. XRD and SEM observations revealed increased geopolymer gel formation and a denser, more homogeneous matrix, consistent with higher ultrasonic pulse velocity (4000 m/s) and rebound number (44).
-
The proposed system achieved a 16–25% cost reduction relative to Portland cement and offers notable sustainability advantages through the valorization of industrial by-products and reduced carbon footprint, supporting the practical adoption of one-part geopolymer binders in construction.
While the present study demonstrates the effectiveness of powdered SNF in improving one-part geopolymer performance, several limitations should be acknowledged. The investigation focused primarily on short-term mechanical and microstructural properties under controlled laboratory conditions. Long-term durability aspects such as resistance to aggressive chemical environments, freeze–thaw cycles, and sustained loading were not examined. In addition, the study was conducted at mortar scale, and scale-up behaviour in concrete applications and real construction conditions remains to be validated. Future research should therefore investigate long-term durability performance, field-scale implementation, and the interaction of powdered superplasticizers with different precursor combinations. Such studies will further support the development of robust and commercially viable dry mix geopolymer binders for sustainable construction.
Data availability
Data will be available from the corresponding author upon reasonable request.
References
Barbhuiya, S., Bhusan Das, B. & Adak, D. Roadmap to a net-zero carbon cement sector: Strategies, innovations and policy imperatives. J. Environ. Manage. 359, 121052. https://doi.org/10.1016/j.jenvman.2024.121052 (2024).
Akintayo, B. D., Babatunde, O. M. & Olanrewaju, O. A. Comparative Analysis of Cement Production Methods Using a Life Cycle Assessment and a Multicriteria Decision-Making Approach. Sustainability 16 (2), 484. https://doi.org/10.3390/su16020484 (2024).
Kareem, H. A., Riaz, S., Sadia, H. & Mehmood, R. Industrial Waste, Types, Sources, Pollution Potential, and Country-Wise Comparisons. In Waste Problems and Management in Developing Countries 169–203 (Apple Academic, 2023). https://doi.org/10.1201/9781003283621-8.
Jalal, P. S., Srivastava, V. & Tiwari, A. K. Geopolymer Concrete: An Alternative to Conventional Concrete for Sustainable Construction, Journal of Environmental Nanotechnology, 13 (4), pp. 218–225, (2024). https://doi.org/10.13074/jent.2024.12.2441122
Singh, N. B. & Middendorf, B. Geopolymers as an alternative to Portland cement: An overview. Constr. Build. Mater. 237, 117455, https://doi.org/10.1016/j.conbuildmat.2019.117455 (2020).
Sona, S. & Sangeetha, S. P. Eco-friendly alternative activators derived from industrial wastes for the sustainable production of two-part geopolymer concrete at low cost. Constr. Build. Mater. 467, 140374. https://doi.org/10.1016/j.conbuildmat.2025.140374 (2025).
Madirisha, M. M., Dada, O. R. & Ikotun, B. D. Chemical fundamentals of geopolymers in sustainable construction. Mater. Today Sustain. 27 (100842). https://doi.org/10.1016/j.mtsust.2024.100842 (2024).
Neupane, K. Evaluation of environmental sustainability of one-part geopolymer binder concrete. Clean. Mater. 6, 100138. https://doi.org/10.1016/j.clema.2022.100138 (2022).
Alawi, A. et al. Eco-Friendly Geopolymer Composites Prepared from Agro-Industrial Wastes: A State-of-the-Art Review, CivilEng, 4 (2), 433–453, (2023). https://doi.org/10.3390/civileng4020025
Minhajuddin, A. & Saha, A. Performance evaluation of geopolymer concrete with waste granite powder as a sustainable alternative to sand. J. Mater. Science: Mater. Eng. 20 (1). https://doi.org/10.1186/s40712-025-00227-6 (2025).
Almutairi, A. L., Tayeh, B. A., Adesina, A., Isleem, H. F. & Zeyad, A. M. Potential applications of geopolymer concrete in construction: A review. Case Stud. Constr. Mater. 15, e00733. https://doi.org/10.1016/j.cscm.2021.e00733 (2021).
Shahedan, N. F. et al. Potential of fly ash geopolymer concrete as repairing and retrofitting solutions for marine infrastructure: A review. Case Stud. Constr. Mater. 20, e03214. https://doi.org/10.1016/j.cscm.2024.e03214 (2024).
Kanagaraj, B., Anand, N., Andrushia, D. & Kodur, V. Residual Properties of Geopolymer Concrete for Post-Fire Evaluation of Structures, Materials, 16 (17), 6065, Sep. (2023). https://doi.org/10.3390/ma16176065
Amran, M. et al. Long-term durability properties of geopolymer concrete: An in-depth review. Case Stud. Constr. Mater. 15, e00661. https://doi.org/10.1016/j.cscm.2021.e00661 (2021).
Verma, M. et al. Geopolymer Concrete: A Material for Sustainable Development in Indian Construction Industries. Cryst. (Basel). 12 (4), 514. https://doi.org/10.3390/cryst12040514 (2022).
Liu, W., Zhao, J., Feng, Y., Zhang, B. & Xie, J. Seawater-mixed alkali-activated materials: a state-of-the-art review, Feb. 01, Springer. (2025). https://doi.org/10.1007/s10853-025-10605-2
Feng, Y. et al. NaHCO3 solution carbonation recycled powder for novel alkali-activated concrete: Synergistic enhancement in mechanical properties, durability, and environmental impact. Cem. Concr Compos. 167 (106465). https://doi.org/10.1016/j.cemconcomp.2026.106465 (2026).
Payá, J. & Monzó, J. A Review of Geopolymer Cement, from Two-Part Geopolymer to One-Part Geopolymer cement and its Geotechnical Applications, [Online]. (2024). Available: https://scholarworks.uaeu.ac.ae/ejerAvailableat:https://scholarworks.uaeu.ac.ae/ejer/vol29/iss4/2
Zhang, B. et al. Dynamic mechanical behaviour and life cycle assessment of rubberised solid waste-based geopolymer concrete. J. Clean. Prod. 501, 145247. https://doi.org/10.1016/j.jclepro.2025.145247 (2025).
Feng, Y. et al. Improving geopolymer concrete performance with hazardous solid waste phosphogypsum. J. Building Eng. 95 (110333). https://doi.org/10.1016/j.jobe.2024.110333 (2024).
Zheng, Y. et al. Co-utilization of silicomanganese slag and high-reactivity silicon waste for preparation of one-part alkali-activated materials: Properties and mechanism study. J. Environ. Manage. 380, 125022. https://doi.org/10.1016/j.jenvman.2025.125022 (2025).
Luukkonen, T., Abdollahnejad, Z., Yliniemi, J., Kinnunen, P. & Illikainen, M. One-part alkali-activated materials: A review. Cem. Concr Res. 103, 21–34. https://doi.org/10.1016/j.cemconres.2017.10.001 (2018).
Zhang, H. Y., Liu, J. C. & Wu, B. Mechanical properties and reaction mechanism of one-part geopolymer mortars. Constr. Build. Mater. 273 (121973). https://doi.org/10.1016/j.conbuildmat.2020.121973 (2021).
Ming, L. Y., En, O. W., Yong, H. C., Abdullah, M. M. A. B. & Ween, O. S. Characteristic of One-Part Geopolymer as Building Materials, 97–118. (2021). https://doi.org/10.1007/978-981-33-4918-6_6
Martínez, A. & Miller, S. A. A review of drivers for implementing geopolymers in construction: Codes and constructability. Resour. Conserv. Recycl. 199, 107238. https://doi.org/10.1016/j.resconrec.2023.107238 (2023).
Sai Ketana, N., Srinivasa Reddy, V., Seshagiri Rao, M. V. & Shrihari, S. Effect of various parameters on the workability and strength properties of geopolymer concrete, E3S Web of Conferences, 309, 01102, (2021). https://doi.org/10.1051/e3sconf/202130901102
Unis Ahmed, H. et al. Geopolymer concrete as a cleaner construction material: An overview on materials and structural performances. Clean. Mater. 5 (100111). https://doi.org/10.1016/j.clema.2022.100111 (2022).
Qian, Y. & De Schutter, G. Different Effects of NSF and PCE Superplasticizer on Adsorption, Dynamic Yield Stress and Thixotropy of Cement Pastes. Materials 11 (5), 695. https://doi.org/10.3390/ma11050695 (2018).
Burgos-Montes, O., Palacios, M., Rivilla, P. & Puertas, F. Compatibility between superplasticizer admixtures and cements with mineral additions. Constr. Build. Mater. 31, 300–309. https://doi.org/10.1016/j.conbuildmat.2011.12.092 (2012).
Yamada, K., Takahashi, T., Hanehara, S. & Matsuhisa, M. Effects of the chemical structure on the properties of polycarboxylate-type superplasticizer. Cem. Concr Res. 30 (2), 197–207. https://doi.org/10.1016/S0008-8846(99)00230-6 (2000).
Verma, M. & Dev, N. Effect of SNF-Based Superplasticizer on Physical, Mechanical and Thermal Properties of the Geopolymer Concrete. Silicon 14 (3), 965–975. https://doi.org/10.1007/s12633-020-00840-4 (2022).
Tekin, İ. et al. Compatibility of melamine formaldehyde- and polycarboxylate-based superplasticizers on slag/sintering ash-based geopolymer paste. Constr. Build. Mater. 458, 139681. https://doi.org/10.1016/j.conbuildmat.2024.139681 (2025).
Bong, S. H., Nematollahi, B., Nazari, A., Xia, M. & Sanjayan, J. Efficiency of Different Superplasticizers and Retarders on Properties of ‘One-Part’ Fly Ash-Slag Blended Geopolymers with Different Activators. Materials 12 (20), 3410. https://doi.org/10.3390/ma12203410 (2019).
Anudeep, P. et al. Effect of superplasticizer in geopolymer and alkali-activated cement mortar/concrete: A review. REVIEWS Adv. Mater. Sci. 63 (1). https://doi.org/10.1515/rams-2023-0173 (2024).
Alrefaei, Y., Wang, Y. S., Dai, J. G. & Xu, Q. F. Effect of superplasticizers on properties of one-part Ca(OH)2/Na2SO4 activated geopolymer pastes. Constr. Build. Mater. 241, 117990. https://doi.org/10.1016/j.conbuildmat.2019.117990 (2020).
Luukkonen, T., Abdollahnejad, Z., Ohenoja, K., Kinnunen, P. & Illikainen, M. Suitability of commercial superplasticizers for one-part alkali-activated blast-furnace slag mortar. J. Sustain. Cem. Based Mater. 8 (4), 244–257. https://doi.org/10.1080/21650373.2019.1625827 (2019).
Pham, T. T., Nguyen, N. L., Nguyen, T. T., Nguyen, T. T. & Pham, T. H. Effects of Superplasticizer and Water–Binder Ratio on Mechanical Properties of One-Part Alkali-Activated Geopolymer Concrete. Buildings 13 (7), 1835. https://doi.org/10.3390/buildings13071835 (2023).
Pacheco-Torgal, F., Moura, D., Ding, Y. & Jalali, S. Composition, strength and workability of alkali-activated metakaolin based mortars. Constr. Build. Mater. 25 (9), 3732–3745. https://doi.org/10.1016/j.conbuildmat.2011.04.017 (2011).
Carabba, L., Manzi, S. & Bignozzi, M. C. Superplasticizer addition to carbon fly ash geopolymers activated at room temperature. Materials 9 (7). https://doi.org/10.3390/ma9070586 (2016).
Tan, S. Q. et al. A Bibliometric Review of Lightweight Aggregate Geopolymer Concrete, CivilEng, 5 (4), 892–927, (2024). https://doi.org/10.3390/civileng5040046
Jithendra, C. & Elavenil, S. Role of Superplasticizer on GGBS based Geopolymer Concrete under ambient curing, Mater. Today Proc., 18, 148–154, (2019). https://doi.org/10.1016/j.matpr.2019.06.288
Mithanthaya, I. R., Marathe, S., Rao, N. B. S. & Bhat, V. Influence of superplasticizer on the properties of geopolymer concrete using industrial wastes, Mater. Today Proc., 4 (9), 9803–9806, (2017). https://doi.org/10.1016/j.matpr.2017.06.270
Poojalakshmi, E. S., Nagarajan, P., Sudhakumar, J. & Thomas, B. S. Impact of alkaline activator concentration on mechanical properties and microstructure of a ternary blended one-part geopolymer cement. Sci. Rep. 15 (1), 33808. https://doi.org/10.1038/s41598-025-01610-1 (2025).
ASTM C1437–01: Standard Test Method for Flow of Hydraulic Cement Mortar 1.
Standards, B. I. & IS 4031-5. : Methods of physical tests for hydraulic cement, Part 5: Determination of initial and final setting times, 2002. (1988).
ASTM C109/C109M–02: Standard Test Method for Compressive Strength of Hydraulic Cement Mortars (Using 2-in. or [50-mm] Cube Specimens) 1.
ASTM C348–21: Standard Test Method for Flexural Strength of Hydraulic-Cement Mortars 1.
ASTM C496–96: Splitting Tensile Strength of Cylindrical Concrete Specimens 1.
Standard Test Method for Pulse Velocity Through Concrete 1.
Test Method for Rebound Number of Hardened Concrete, Dec. 15. ASTM International, West Conshohocken, PA. (2018). https://doi.org/10.1520/C0805_C0805M-18
N’Cho, W. C. et al. Extrudability of geopolymers and control of the formed networks by zeta potential and NMR spectroscopy. Int. J. Ceramic Eng. Sci. 7 (1). https://doi.org/10.1002/ces2.10244 (2025).
Kapeluszna, E. & Chrabąszcz, K. Mutual compatibility of superplasticizers (PC, SNF), grinding aids (TEA, glycol) and C3A in Portland cement systems – Hydration, rheology, physical properties and air void characteristics. Constr. Build. Mater. 373 (130877). https://doi.org/10.1016/j.conbuildmat.2023.130877 (2023).
Zhu, W. et al. Effect of a specific PCE superplasticizer on the initial dissolution and early hydration of Portland cement. J. Building Eng. 46, 103786. https://doi.org/10.1016/j.jobe.2021.103786 (2022).
Partschefeld, S., Tutal, A., Halmanseder, T., Schneider, J. & Osburg, A. Investigations on Stability of Polycarboxylate Superplasticizers in Alkaline Activators for Geopolymer Binders. Materials 16 (15), 5369. https://doi.org/10.3390/ma16155369 (2023).
M. Palacios and F. Puertas, Stability of superplasticizer and shrinkage-reducing admixtures Stability of superplasticizer and shrinkage-reducing admixtures in high basic media, Materiales de Construcción, 54 (276), 65–86, 2004, doi: 10.3989/mc.2004.v54.i276.256.
Raju, T., Ramaswamy, K. P. & Saraswathy, B. Effects of slag and superplasticizers on alkali activated geopolymer paste. IOP Conf. Ser. Earth Environ. Sci. 491 (1), 012042. https://doi.org/10.1088/1755-1315/491/1/012042 (2020).
Wang, C., Kayali, O., Liow, J. L. & Troitzsch, U. Participation and disturbance of superplasticisers in early-stage reaction of class F fly ash-based geopolymer. Constr. Build. Mater. 403 (133176). https://doi.org/10.1016/j.conbuildmat.2023.133176 (2023).
Alrefaei, Y., Wang, Y. S. & Dai, J. G. The effectiveness of different superplasticizers in ambient cured one-part alkali activated pastes. Cem. Concr Compos. 97, 166–174. https://doi.org/10.1016/j.cemconcomp.2018.12.027 (2019).
Das, R., Panda, S., Saumendra Sahoo, A. & Kumar Panigrahi, S. Effect of superplasticizer types and dosage on the flow characteristics of GGBFS based self-compacting geopolymer concrete, Mater. Today Proc., 103, 11–21, (2024). https://doi.org/10.1016/j.matpr.2023.06.339
Xu, H. & van Deventer, J. S. J. The effect of alkali metals on the formation of geopolymeric gels from alkali-feldspars. Colloids Surf. Physicochem Eng. Asp. 216 (1–3), 27–44. https://doi.org/10.1016/S0927-7757(02)00499-5 (2003).
Xiong, G. & Guo, X. Effects and mechanism of superplasticizers and precursor proportions on the fresh properties of fly ash – slag powder based geopolymers. Constr. Build. Mater. 350, 128734, https://doi.org/10.1016/j.conbuildmat.2022.128734 (Oct. 2022).
Carabba, L., Manzi, S. & Bignozzi, M. Superplasticizer Addition to Carbon Fly Ash Geopolymers Activated at Room Temperature. Materials 9 (7), 586. https://doi.org/10.3390/ma9070586 (2016).
Palacios, M. & Puertas, F. Effect of superplasticizer and shrinkage-reducing admixtures on alkali-activated slag pastes and mortars. Cem. Concr Res. 35 (7), 1358–1367. https://doi.org/10.1016/j.cemconres.2004.10.014 (Jul. 2005).
Juenger, M. C. G., Winnefeld, F., Provis, J. L. & Ideker, J. H. Advances in alternative cementitious binders. Cem. Concr Res. 41 (12), 1232–1243. https://doi.org/10.1016/j.cemconres.2010.11.012 (2011).
Taylor, H. F. W. Cement chemistry. Thomas Telford Publishing. https://doi.org/10.1680/cc.25929 (1997).
Provis, J. L. & Van Deventer, J. S. J. Introduction to geopolymers, in Geopolymers, Elsevier, 1–11. (2009). https://doi.org/10.1533/9781845696382.1
Procházka, L. & Boháčová, J. Effect of Admixtures on Durability Characteristics of Fly Ash Alkali-activated Material. Emerg. Sci. J. 4 (6), 493–502. https://doi.org/10.28991/esj-2020-01247 (2020).
Bakharev, T. Geopolymeric materials prepared using Class F fly ash and elevated temperature curing. Cem. Concr Res. 35 (6), 1224–1232. https://doi.org/10.1016/j.cemconres.2004.06.031 (2005).
Khale, D. & Chaudhary, R. Mechanism of geopolymerization and factors influencing its development: a review. J. Mater. Sci. 42 (3), 729–746. https://doi.org/10.1007/s10853-006-0401-4 (2007).
Standards, B. I. & IS 8112. : Specification for 43 grade ordinary Portland cement. (1989).
Author information
Authors and Affiliations
Contributions
E.S Poojalakshmi - Conceptualization, Investigation, Methodology, Writing-original draft; Praveen Nagarajan - Supervision, Methodology; J Sudhakumar - Supervision, Methodology; Blessen S Thomas - Supervision, Final Draft; Sudha Das - Supervision, Methodology; Missgna Addisalem Berhe - Supervision, Methodology.
Corresponding authors
Ethics declarations
Competing interests
The authors declare no competing interests.
Additional information
Publisher’s note
Springer Nature remains neutral with regard to jurisdictional claims in published maps and institutional affiliations.
Rights and permissions
Open Access This article is licensed under a Creative Commons Attribution-NonCommercial-NoDerivatives 4.0 International License, which permits any non-commercial use, sharing, distribution and reproduction in any medium or format, as long as you give appropriate credit to the original author(s) and the source, provide a link to the Creative Commons licence, and indicate if you modified the licensed material. You do not have permission under this licence to share adapted material derived from this article or parts of it. The images or other third party material in this article are included in the article’s Creative Commons licence, unless indicated otherwise in a credit line to the material. If material is not included in the article’s Creative Commons licence and your intended use is not permitted by statutory regulation or exceeds the permitted use, you will need to obtain permission directly from the copyright holder. To view a copy of this licence, visit http://creativecommons.org/licenses/by-nc-nd/4.0/.
About this article
Cite this article
Poojalakshmi, E.S., Nagarajan, P., Sudhakumar, J. et al. Performance evaluation of superplasticizers in one part geopolymer mortar. Sci Rep 16, 10892 (2026). https://doi.org/10.1038/s41598-026-45408-1
Received:
Accepted:
Published:
Version of record:
DOI: https://doi.org/10.1038/s41598-026-45408-1























