Abstract
The monitoring and accurate identification of coal mining subsidence areas are crucial for protecting surface structures, controlling soil erosion, facilitating ecological restoration, and regulating illegal mining activities. However, existing identification models often heavily depend on observational data from specific mining basin, resulting in poor generalization capability. To achieve large-scale, high-precision, and efficient identification of coal mining subsidence areas, this paper proposes a fine-scale identification method that integrates time-series InSAR (TS-InSAR) technology and surface subsidence curve characteristics. By extracting features from typical time-series subsidence curves, we constructed a time-series feature dataset to distinguish between deformation caused by mining and non-mining factors. Subsequently, a novel identification model was developed to improve its transferability and adaptive capability. Once trained, the model can automatically identify large-scale coal mining subsidence basins without requiring prior InSAR data from the target mining area. Identification experiments were conducted in three typical mining areas located in eastern, central, and western China. The identified subsidence boundaries were validated and compared using field measurement data obtained after panel extraction. The results show that the model can rapidly and accurately identify large-scale coal mining subsidence areas in the absence of prior data for the target region. The identified subsidence boundaries align closely with the field measurement data. The boundary extraction accuracy has been improved by approximately 80% compared to existing methods, providing high-precision technical support for coal mine safety production, coal pillar design, and mining disturbance identification.
Introduction
Currently, coal resources maintain a dominant position in China’s primary energy structure1. However, coal extraction disrupts the in-situ stress distribution within rock strata, leading to strata movement and the formation of surface subsidence basins. This process triggers a series of issues, including soil erosion, damage to surface structures and buildings, ecological degradation, and environmental pollution2,3, as illustrated in Fig. 1. Consequently, achieving precise identification of surface movement and de-formation basins over goaf areas across extensive mining regions is critically important. It enables timely adjustments to underground mining plans, facilitates the implementation of effective subsidence control measures, and aids in protecting surface infrastructure4.
To investigate the response mechanism of surface movement to coal mining, numerous surface movement observation stations have been established worldwide, monitoring mining-induced deformations5,6,7, primarily subsidence and horizontal dis-placement. For example, the “Heiyazi” observation station, set up in the Linxi mining area of eastern China in 1955, yielded valuable early field measurement data, significantly advancing the discipline of mining subsidence8. Based on high frequency, long-term field observations and analysis, research has revealed that the time-series subsidence curve of the surface due to coal mining exhibits a characteristic “S-shape”9. This S-shaped curve can be divided into three stages using a subsidence rate threshold of 1.67 mm/d: the initial stage, the accelerated stage, and the deceleration stage10. Building on this understanding, scholars have proposed various subsidence time-function models, such as Knothe, Weibull, Logistic, and MMF, along with improved models like Power Knothe, dual Weibull, and segmented time functions11,12,13,14. These studies have laid a vital foundation for deciphering the dynamic response of surface movement to coal mining.
However, high-frequency, long-term observational campaigns incur substantial labor costs and struggle to provide large-scale deformation information swiftly9,10. Interferometric Synthetic Aperture Radar (InSAR), with its capability for broad-scale monitoring and millimeter-level precision, offers an effective technical solution for monitoring surface deformation in large mining areas. In recent years, leveraging data from satellites like Sentinel-1 A/B, ALOS-1/2, Radarsat-2, TerraSAR-X, and LuTan-1 A/B, InSAR technology has found extensive application in mining deformation monitoring11,12,13. A research framework centered on time-series InSAR techniques (e.g., SBAS, PS, DS)14, constrained by prior mining models (e.g., probability integral method, time-function models) and field data, has matured into an integrated space-air-ground approach15,16.
Currently, large-scale, wide-area deformation monitoring primarily employs TS-InSAR and D-InSAR techniques, providing essential data support for identifying mining-induced movement and deformation basins at the regional scale17. For in-stance, Xu et al. proposed an automatic identification method for coal mining subsidence areas based on the Dynamic Time Warping (DTW) algorithm18, identifying subsidence areas pixel-by-pixel by calculating the distance between time-series subsidence data from an InSAR dataset and a predefined threshold. He et al. introduced a method for constructing subsidence basins using airborne LiDAR data19, employing a deep neural network to extract stable feature zones within subsidence areas and fitting a complete basin via interpolation. Wang et al. utilized Sentinel-1 SAR data and interferogram features to train a U-Net network for delineating subsidence boundaries, particularly in areas of low coherence or chaotic interference fringes20. Chi et al. proposed an identification method combining DETR (Detection Transformer) and D-InSAR techniques21.
Despite these advances, current research still exhibits several limitations. First, many methods inadequately incorporate the time-series evolution characteristics and dynamic response mechanisms specific to mining subsidence. Second, the developed models often suffer from weak applicability and transferability, frequently treating In-SAR results merely as prior knowledge without effectively integrating more precise time-series measurement data. Third, some models depend on point cloud or UAV-based monitoring, which is limited by the logistical challenges of rapidly covering vast areas, thus constraining identification capability. Finally, spatial-domain-based identification methods often fail to fully leverage the rich information embedded within long-term time-series deformation results.
To address these gaps, this study employs SBAS-InSAR as the primary monitoring tool. Through an in-depth analysis of coal mining subsidence curve features and using field measurement data as a prior constraint, we propose a novel fine-scale identification method for coal mining subsidence areas that integrates time-series InSAR and subsidence curve characteristics. Our approach involves constructing a standardized time-series subsidence curve feature dataset by amalgamating measured deformation data and InSAR observations from both subsidence and non-subsidence areas. A weighted Support Vector Machine (SVM) model is then trained to achieve accurate sub-sidence area identification. This method aims to provide reliable technical support for hazard identification, subsidence control, disaster early warning, and to offer a scientific basis for land reclamation and environmental restoration in mining areas.
(a) Soil erosion induced by coal mining; (b) Cracks in building walls; (c) Surface tensile cracks.
Study area and data description
Study area
China has a vast territory and abundant coal reserves, yet significant differences exist in coal seam occurrence conditions and geological-mining conditions across regions. To validate the general applicability and transferability of the proposed method, three typical mining areas from eastern, central, and western China were selected as study areas.
The eastern mining area is located in Tangshan City, Hebei Province, China, involving the mining of coal seams No.7–9, No.11, and No.12. The currently main mining seam is the No.12 coal seam, with an average thickness of approximately 3 m and a mining depth ranging from about 900 to 1000 m, classifying it as deep mining of medium-thick seams. The surface of this area is predominantly urban built-up areas, which imposes high requirements for the protection of surface structures. Consequently, subsidence control techniques such as strip mining and backfill mining are primarily employed.
The central mining area is located in the southern part of Hebei Province, China. The current main mining seam is the No.2 coal seam, with an average thickness of about 3–4 m and a mining depth of approximately 500–900 m, also falling under deep mining of medium-thick seams. The primary protection targets on the surface are village buildings, which have a lower coverage density. Therefore, the difficulty of protecting and restoring surface structures in this area is lower compared to the eastern mining area.
The western mining area is located in central Inner Mongolia, China, characterized by shallow burial depth and simple geological structures of the coal seams. The primary focus of management in this region is soil and water conservation and ecological restoration, with relatively lower requirements for the protection of surface structures. The mining depth is about 500–600 m, coal seam thickness ranges from 5 to 10 m, and the panel length typically ranges from about 1 to 5 km. Compared to the eastern and central mining areas, the western mining area has gradually become a major coal production region in China. The geographical distribution of these three typical mining areas (eastern, central, western) is shown in Fig. 2.The three study areas are situated in the eastern, central, and western regions of China, representing different mining geological conditions. The eastern mining area features deep mining, medium-thick coal seams, and is primarily constrained by the protection of urban buildings. The central mining area is characterized by moderate mining depths and medium-thick coal seams, with a focus on village protection. The western mining area involves thick coal seams and high-intensity mining, with an emphasis on ecological environment protection. Consequently, these three mining areas encompass the main typical scenarios of coal mining in China and can effectively validate the regional transferability of the proposed model.
Location of the primary eastern, central, and western study areas in this paper. The Figure is generated by ArcGIS (https://www.esri.com/en-us/arcgis/products/arcgis-pro/resources) and the background image was from satellite map obtained from geospatial data cloud (http://www.gscloud.cn).
Data description
This study utilized Sentinel-1 A ascending orbit SAR data22 and employed the SBAS-InSAR time-series interferometry technique to obtain surface time-series subsidence information for the eastern, central, and western study mining areas. The SBAS-InSAR data processing flow is illustrated in (Fig. 3)23. The InSAR monitoring period for the eastern mining area spanned from March 2022 to February 2025, utilizing a total of 61 SAR scenes. For the central mining area, the study period was from January 2018 to January 2020, using 60 SAR scenes. The western mining area was monitored from August 2017 to December 2020, involving 88 SAR scenes. To mitigate topographic phase and orbital errors during SAR data processing, a 30-meter spatial resolution Digital Elevation Model (DEM) and corresponding precise orbit files were applied for correction. Detailed information of the Sentinel-1 A satellite data used is presented in Table 1, and the specific SAR data acquisition dates for each mining area are provided in the Appendix.
SBAS-InSAR processing workflow for Sentinel-1 A data.
Methods
Overview
Extensive research has shown that the time-series subsidence curve of the surface due to coal mining conforms to an “S-shaped” variation characteristic, as illustrated in Fig. 4(b). When the advancing coal mining face reaches point M, the surface point P becomes disturbed. At this stage, point P begins to subside slowly, with its movement direction opposite to the face advance direction. As the mining face advances to the vicinity of point N, directly beneath surface point P, the subsidence of point P accelerates, and its movement direction becomes nearly vertical24. When the mining face moves away from point P, the surface subsidence rate decreases, and point P’s movement direction aligns with the face advance direction. As point P (or point A in the context of moving away from the advancing position) moves further from the active mining influence, it enters the residual subsidence or deceleration phase5. Upon completion of face extraction, surface point P ultimately stabilizes, displaced towards the goaf side, as depicted in Fig. 4(a).
From the perspective of geological visual interpretation, whether a subsidence curve is induced by coal mining can be determined by examining the curve’s morphology and the magnitude of subsidence, as shown in Fig. 4(b). Therefore, the core idea behind our identification of coal mining subsidence areas is to generalize the morphological and magnitude characteristics of the curve into numerical features. This is followed by employing a machine learning approach to learn these features, enabling a pixel-by-pixel determination of whether the observed time-series surface change is mining-induced, as conceptually outlined in Fig. 5. This logic aligns with the cognitive process of manual visual interpretation. The specific methodological details are elaborated in Sect. 3.2 to 3.4.
(a) Movement trajectory of a surface point induced by coal mining. (b) Characteristic time-series subsidence curve.
Characteristics of surface subsidence curves induced by coal mining
The “S-shaped” subsidence curve of coal mining-induced settlement can be divided into three stages based on a subsidence rate threshold of 1.67 mm/d: the initial stage, the accelerated stage, and the deceleration stage. These three stages correspond to three characteristic points: the point of maximum positive acceleration, the point of maximum velocity, and the point of minimum negative acceleration (or maximum deceleration), as shown in Fig. 5(a).
To obtain typical time-series subsidence data, numerical simulation was performed using the Flac3D model. The resulting subsidence curve from the simulation is shown in Fig. 5(a). Analysis indicates that at t = 300 (simulation time steps), the subsidence acceleration reaches its maximum positive value; at t = 500, the subsidence velocity reaches its maximum value of 3.7 mm/d; and at t = 700, the subsidence acceleration reaches its minimum negative value.
Extensive field measurement data from coal mining subsidence areas indicate that time functions can effectively describe the “S-shaped” subsidence curve. The formulas for these time functions are listed in Table 2. To verify their applicability, the MMF, Weibull, Power Knothe, and logistic time functions were respectively used to fit the curve shown in Fig. 5(a). The fitting results in Fig. 5(b) demonstrate that all four time functions can adequately describe this time-series subsidence curve.
(a) Surface movement and deformation curve induced by coal mining. (b) Curve fitting using the three-stage model and different time functions.
Methodology for constructing the time-series dataset of coal mining subsidence basin
The time-series dataset constructed in this study primarily consists of two parts: (1) time-series subsidence data induced by coal mining, and (2) time-series deformation data from non-mining areas.
The dataset for mining-induced subsidence areas integrates field-measured data from multiple mining areas and simulated data generated based on time-function models. The dataset for non-subsidence areas primarily comprises time-series data extracted from regions showing no significant deformation in the time-series InSAR monitoring results. Field measurement data authentically reflect the surface movement patterns in coal mining subsidence areas, and their inclusion enhances the model’s accuracy and practical applicability.The measured data are primarily derived from field measurements at typical coal mining working faces in Hebei, Shanxi, Henan and other regions in China. All measurement points were located on observation lines along the strike and dip of the working faces. The measurement methods included high-precision leveling and GNSS observations, with a data sampling interval of approximately one month. The cumulative observation period covered the main stages of surface time-series subsidence, ensuring the representativeness and reliability of the selected data. The simulated data were generated using the time-function models described in Sect. 3.2. Constructing an accurate time-series dataset for coal mining subsidence necessitates addressing two key issues: data standardization and the number of features. Since acquiring field data is time- and resource-intensive, the number of features N is crucial. A larger N increases the difficulty of data collection, while a smaller N may compromise model identification accuracy. Therefore, a balance must be struck between model accuracy and data collection feasibility. Through iterative experimentation, the number of normalized time points was ultimately set to N = 10. Additionally, the maximum subsidence value was included as an independent feature, resulting in a total of 11 features used. To standardize the subsidence data from different time series and extract standardized curve features and magnitude for training, the specific workflow for dataset construction is as follows:
-
(1)
Data collection: First, field-measured time-series subsidence data from multiple mining panels were collected. Corresponding simulated data were also generated based on time-function models. The cumulative observation days were calculated from the observation dates.
-
(2)
Time-function fitting: Based on the Weibull time-function model (formula in Table 2), the time-series subsidence data were fitted using a genetic algorithm.
-
(3)
Subsidence value extraction: Based on the fitting results, subsidence values at times t = [0.1T, 0.2T,…, 1.0T] were extracted, where T is the total cumulative observation days.
-
(4)
Time normalization: The cumulative observation days were calculated from the dates. These cumulative days were then normalized by the maximum cumulative day value, as shown in Eq. (1). A calculation example is provided in Table 3 for clarity.
-
(5)
Spatial (magnitude) normalization: The maximum subsidence value W_max for each time-series curve was determined. The subsidence value sequence was then normalized by this maximum value. A calculation example is provided in Table 4.
-
(6)
Result integration: After temporal and spatial normalization, standardized curves for mining-induced subsidence are obtained. For the example case with a maximum subsidence of 2209 mm, the final calculation results are presented in Table 5.
It should be noted that for the time-series deformation results from non-mining areas, as their variation does not follow the pattern characteristic of mining subsidence, it is unnecessary to fit a Weibull time function to obtain values at each time point t. Instead, linear interpolation is applied directly to obtain the time-series deformation curve features.
The linear interpolation method calculates the y value corresponding to a target t value based on given (t, y) data pairs. Given two known points (t₁, y₁) and (t₂, y₂), where t₁ ≤ t ≤ t₂, the y value for a target t is calculated using Eq. (2).
Model training based on weighted SVM and the fine-scale goaf identification method
The support vector machine (SVM), proposed by Vapnik, is a machine learning method based on statistical learning theory, applicable to both classification and regression problems. It offers advantages such as strong generalization capability, resistance to overfitting, and suitability for small datasets25. However, the standard SVM model assumes that the number of samples in each class within the training dataset is roughly balanced, implying that the penalty for misclassification is equal across classes.
The trained model in this study essentially performs a binary classification task. A significant class imbalance exists, as the training dataset for subsidence areas is substantially smaller than that for non-deformation areas. Directly applying a standard SVM would lead to insufficient recognition capability for the minority class (subsidence areas). Therefore, this paper introduces the Weighted Support Vector Machine (Weighted SVM)26. The weighted SVM was selected primarily based on the following considerations: ①The measured dataset of characteristic curves in the coal mining subsidence area in this study has a relatively small sample size, whereas deep learning methods typically require large-scale datasets and offer weaker interpretability. ②Weighted SVM does not alter the distribution of the characteristic curve dataset of the coal mining subsidence area, thereby avoiding the generation of additional samples that do not conform to physical mechanisms. ③ Compared with ensemble models such as random forest, weighted SVM demonstrates stronger adaptability and generalization capability in high-dimensional feature spaces with small samples. Based on these considerations, weighted SVM achieves class balance and ensures recognition capability while preserving the model’s interpretability.
The objective function of the standard SVM is as follows:
where W is the normal vector to the hyperplane, b is the bias term, ξi is the slack variable for the i-th sample, C > 0 is the uniform penalty parameter, and φ(⋅) is the function mapping samples to a higher-dimensional feature space.
In the Weighted SVM model, considering the unequal sizes of the datasets for coal mining subsidence and non-subsidence areas, weights are calculated based on the pro-portion of samples and assigned as penalty weights to each class. Based on this concept, the optimization objective function is modified as follows:
where Ci is the penalty coefficient specifically assigned to sample (xi, yi). The assignment strategy for Ci is typically related to the class label yi of the sample, set as follows.
The assignment of weights is key to the Weighted SVM. The strategy adopted in this study is based on the class distribution of the training set. Let n + be the number of samples in the coal mining subsidence area dataset and n- be the number of samples in the non-subsidence area dataset. C + and C- are calculated as follows.
In this study, due to the significant class imbalance in the dataset (the proportion of the coal mining subsidence feature dataset is approximately 34.5%), using a standard SVM would result in poor recognition of the minority class. Therefore, we employ the Weighted SVM method, calculating the values of C + and C- based on the inverse pro-portion strategy described above, to build a classification model that is more sensitive to the minority class and has reduced bias. The complete workflow of the proposed identification method is illustrated in Fig. 6.
The coal mining subsidence area identification methodology proposed in this paper.
Based on this method, the complete steps for fine-scale goaf identification are as follows:
-
(1)
Dataset construction: Build the time-series dataset for coal mining subsidence and non-subsidence areas using the method described in Sect. 3.3.
-
(2)
Model training: Train the model using the Weighted SVM approach described in Sect. 3.4.
-
(3)
Time-series data processing: Obtain time-series subsidence information for the study area using SBAS-InSAR technology. Calculate the cumulative monitoring days T. Then, use linear interpolation to compute subsidence values at normalized time points t = 0.1 ~ 1.0nT(n∈{1,2,3,…,10} and n∈N∗).
-
(4)
Feature standardization and extraction: Process the SBAS-InSAR results using temporal and spatial (magnitude) normalization methods. Subsequently, extract the curve features (the sequence of normalized subsidence values) and the maximum subsidence value.
-
(5)
Feature standardization and extraction: Process the SBAS-InSAR results using temporal and spatial (magnitude) normalization methods. Subsequently, extract the curve features (the sequence of normalized subsidence values) and the maximum subsidence value.
-
(6)
Result output: Output the final pixel-wise classification results, obtaining the spatial distribution of the subsidence basin.
Results
Dataset construction and curve feature analysis
In this study, a total of 564 field-measured time-series subsidence observation points were collected through on-site measurements and literature review. Additionally, 10,000 simulated time-series data points for coal mining subsidence areas were generated based on time-function models. The non-deformation area dataset consisted of 20,000 time-series data points extracted from InSAR monitoring results in the eastern mining area. The time-series subsidence data from deformation areas constituted approximately 34.5% of the total dataset.
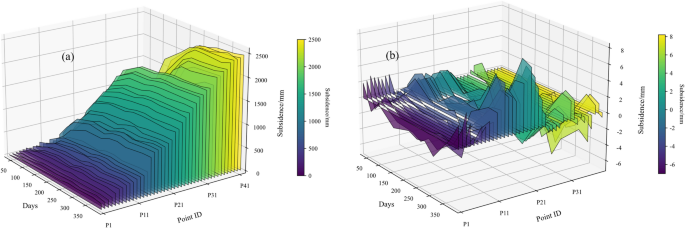
To visually demonstrate the data characteristics, a waterfall plot was generated us-ing a subset of the dataset, as shown in Fig. 7. The analysis reveals that the time-series subsidence curves from coal mining areas exhibit distinct and consistent morphological characteristics. In contrast, curves from non-mining areas show no clear pattern and generally have smaller deformation magnitudes. This comparison preliminarily validates the feasibility of utilizing curve morphological features to distinguish between these two types of deformation areas.
Curve of (a) coal mining subsidence basin and (b) non-coal mining subsidence basin.
Time-series InSAR surface deformation evolution in the study areas
Time-series subsidence information for the coal mining subsidence areas in the eastern, central, and western regions was obtained using the SBAS-InSAR technique. The cumulative monitoring days T were calculated. Subsequently, linear interpolation was employed to compute the subsidence data at normalized time points t = 0.1nT, 0.2nT, …, 1.0nT (where n ∈ {1, 2, 3, …, 10} and n ∈ N∗). The results are shown in Figs. 8, 9 and 10.
Eastern mining area
The monitoring coverage was approximately 180 km². Most of the eastern mining area is located in an urban region. Optical imagery indicates that the urban built-up area is primarily situated in the northeastern part of the monitoring zone, with extensive surface structures and buildings. Based on 61 Sentinel-1 A SAR scenes, the monitoring period for the eastern mining area spanned from March 14, 2022, to February 26, 2025, with a cumulative maximum subsidence of 593 mm. The time-series subsidence maps for each interpolated time interval are presented in Figs. 8(a) to (j). The monitoring effectively captured surface movement in the mining subsidence area, revealing a complete subsidence basin and documenting the full dynamic development process. From March 2022 to February 2025, the main subsidence areas were located in the southwestern part of the monitoring region, while the urban built-up area in the northeast showed no significant settlement. The dense urban structures provided strong radar backscatter, enhancing the coherence of the interferograms. The monitoring results indicate that the ground surface in most built-up areas remained stable. In this region, where urban buildings and underground pipelines are the primary protection targets, mining companies adopted measures such as strip mining and backfill mining, which significantly reduced mining-induced damage to surface structures.
Time-series surface subsidence due to strip mining in a typical eastern Chinese mining area. (a–j) Time-series subsidence maps at normalized time points 0.1T to 1.0T calculated via linear interpolation. (k–p) Time-series cumulative subsidence values at points A–F for normalized times 0.1T to 1.0T.
Central mining area
The monitoring coverage was approximately 400 km². Based on 60 Sentinel-1 A SAR scenes, the monitoring period for the central mining area was from January 8, 2018, to January 10, 2020, with a cumulative maximum subsidence of 645 mm. The time-series subsidence maps for each interpolated time interval are shown in Fig. 9(a) to (j).
Within the central study area, the land surface is primarily covered by villages and farmland. Due to the extensive agricultural coverage, SAR images from this region exhibit weaker backscatter over farmland, leading to lower interferometric coherence in areas with lush summer vegetation or crops. Subsidence control in this area focuses on protecting surface villages, which guides the design of mining panels. The main mining seam in this area is 3–4 m thick, with a mining depth of 500–1000 m. Consequently, after seam extraction, the overburden develops distinct vertical zones: the caved zone, frac-tured zone, and bending zone. The flexural deformation within the bending zone effectively mitigates the propagation of separation space within the overlying strata.
Time-series surface subsidence due to medium-thick seam mining in a typical central Chinese mining area. (a–j) Time-series subsidence maps at normalized time points 0.1T to 1.0T calculated via linear interpolation. (k–n) Time-series cumulative subsidence values at points A–D for normalized times 0.1T to 1.0T.
Western mining area
The monitoring coverage was approximately 1200 km². Based on 88 Sentinel-1 A SAR scenes, the monitoring period for the western mining area was from August 3, 2017, to December 2, 2020, with a cumulative maximum subsidence of 591 mm. The time-series subsidence maps for each interpolated time interval are shown in Fig. 10(a) to (j). The western mining area features favorable coal seam conditions and lower requirements for surface structure protection. Unlike the eastern and central mining areas, the primary environmental concerns in most western mining areas are soil/water conservation and land reclamation. The monitoring results from 2017 to 2020 show significant surface settlement magnitudes, with large-gradient subsidence being the main cause of decorrelation.
Time-series surface subsidence due to high-intensity mining in a typical western Chinese mining area. (a–j) Time-series subsidence maps at normalized time points 0.1T to 1.0T calculated via linear interpolation. (k–m) Time-series cumulative subsidence values at points A–D for normalized times 0.1T to 1.0T.
Time-series InSAR surface deformation evolution in the study areas
The fine-scale goaf identification model constructed in Sect. 3.4 was applied to the standardized time-series surface subsidence monitoring information obtained via SBAS-InSAR for the eastern, central, and western mining areas. The prediction results are shown in Figs. 11, 12 and 13.
The basin identification results for the eastern, central, and western mining areas in Figs. 11, 12 and 13 demonstrate that the prediction model correctly identified the coal mining subsidence areas. It is noteworthy that surface subsidence does not cease immediately after panel extraction is completed; a residual deformation phase typically persists for 1–2 years. As shown in Fig. 12, in the southern part of the central mining area, the model maintained good identification capability even for residual subsidence basins with relatively small deformation magnitudes.
The identification results for the eastern, central, and western mining areas are dis-played in Figs. 11(b), Fig. 12(b, c), and Fig. 13(b, c), respectively. The results show that the identified subsidence basins exhibit complete spatial forms and correspond well with known mining activities, validating the effectiveness of the model.
(a) Subsidence area E in the Linxi Mine, eastern China; (b) Recognition result of Subsidence Area E. The imagery is from Ovi Maps, and the download URL is https://www.ovital.com/. Data source: Siwei Earth (Surveying and Mapping License No.: GS (2025) 3161); Image acquisition date: 2023/06/06, GF-7.
(a) Subsidence Areas A and B in the Wannian Mine, central China; (b) Recognition result of Subsid-ence Area A; (c) Recognition result of Subsidence Area B. The imagery is from Ovi Maps, and the download URL is https://www.ovital.com/. Data source: Siwei Earth (Surveying and Mapping License No.: GS (2025) 3161); Image acquisition date: 2023/06/06, GF-7.
(a) Subsidence Areas C and D in the Shilawusu Coal Mine, western China; (b) Recognition result of Subsidence Area C; (c) Recognition result of Subsidence Area D. The imagery is from Ovi Maps, and the download URL is https://www.ovital.com/. Data source: Siwei Earth (Surveying and Mapping License No.: GS (2025) 3161); Image acquisition date: 2023/06/06, GF-7.
Performance evaluation and robustness analysis
The identification rationale of the proposed model lies in its learning and reliance on abstracted features of curve morphology and subsidence magnitude derived from data. During the training phase, it requires only a limited amount of field-measured and InSAR data, while in the prediction phase, it does not need new InSAR observations from the target mining area, thereby achieving good model transferability. The application results in the three typical mining areas in eastern, central, and western China demonstrate that the model successfully completed the goaf identification task in all cases, indicating strong robustness, good transfer capability, and broad applicability.
The model achieved an overall identification accuracy of 98.98% on the test set, with a recall rate and F1-score of 94 and 97%, respectively. It is worth noting that the identification accuracy of the model in this paper depends to a certain extent on the number and temporal distribution density of measured points. This study has collected measured temporal curves from coal mining subsidence areas, covering different mining stages. In the future, multi-source heterogeneous datasets such as UAV and point cloud data can be integrated to further enhance the accuracy of goaf identification and the robustness of boundary discrimination. Furthermore, by overlaying and comparing the identification results with mine excavation engineering plans, it was con-firmed that the surface subsidence basins identified by the model correspond to actual coal mining activity areas, further verifying the reliability of the results.
Discussion
Method comparison
To further validate the identification performance of the proposed model, the identification results from the central mining area were used as an example for comparison with the method by Xu et al. 18. The identification results of the coal mining subsidence areas are shown in Fig. 14.
Figure 14 shows that both identification models can detect the coal mining subsidence areas. In terms of identification quality, the proposed method yields results with stronger spatial clustering and fewer misclassifications. In Area A of Fig. 14(a) and (b), the Xu model misclassified some non-subsidence areas as subsidence areas, whereas the proposed model correctly identified them, indicating its superior ability to distinguish non-mining deformation. From a data dependency perspective, the proposed method is not reliant on data from a specific mining area; once trained, the model can be directly applied to different mining areas, demonstrating greater applicability. In contrast, the Xu method requires calculating empirical thresholds for each target mining area, making the process relatively more complex. Regarding identification speed, both methods are pixel-wise classification approaches, so their processing speeds are comparable.
To evaluate the model’s performance at the working face scale, the maximum spatial discrepancy between the boundaries identified by the proposed model and the Xu model near the northern edge of the face was approximately 125 m. The 10 mm subsidence contour is defined as the critical threshold for Grade I damage to buildings in Chinese engineering practice and serves as an important basis for delineating building protection zones, determining mining influence boundaries, and resolving disputes between mining operations and local communities. In Fig. 14(d), the black curve represents the 10 mm subsidence boundary derived from the Xu model, while the blue curve represents the 10 mm boundary identified by the proposed model. Using field measurement data from a strike observation line (black scatter points in Fig. 14(c)), where point No. 16 corresponds to the location of the 10 mm cumulative subsidence boundary, the comparison reveals that the boundary identified by the proposed model (blue solid line) aligns more closely with the measured boundary (red solid line). The identification accuracy at the 10 mm boundary is improved by approximately 80% compared to the Xu model. In summary, the proposed model demonstrates superior performance in both applicability and accuracy.
Comparison of identification methods based on time-series InSAR monitoring in the central mining area: (a) Identification results from the model in Xu et al.; (b) Identification results from the proposed model; (c) Comparison at the working face scale; (d) Comparison of measured boundaries. The imagery is from Ovi Maps, and the download URL is https://www.ovital.com/. Data source: Siwei Earth (Surveying and Mapping License No.: GS (2025) 3161); Image acquisition date: 2023/06/06, GF-7.
Coal mining subsidence area dataset
To investigate the impact of simulated data within the coal mining subsidence area dataset on model identification accuracy, a comparative experiment was designed. As shown in Table 6, when the training set contained only field-measured data, the model achieved an overall accuracy of 96% on the validation set, with recall and F1-scores of 93% and 95%, respectively. After incorporating simulated data generated from the MMF, Weibull, Power Knothe, and Logistic time-function models, the overall accuracy in-creased to 98%, and recall and F1-scores improved to 94 and 97%, respectively. These results indicate that introducing simulated data based on multiple time-function models effectively enhances the model’s feature learning capability, leading to a significant improvement in its classification performance.
Applicability analysis
China is rich in coal resources, which are widely distributed. Spaceborne SAR satellites provide data support and a practical foundation for large-scale identification of coal mining subsidence areas. Fine-scale goaf identification at the mining area scale is of great significance for mining companies to retrospectively analyze surface deformation processes, determine the impact scope, and implement protection measures for surface structures. Regarding application research for goaf identification and boundary delineation, the authors argue that although L-band SAR data can enhance the monitoring coverage of spaceborne SAR satellites and reduce the impact of surface decorrelation, C-band offers higher monitoring accuracy compared to L-band. On the other hand, the appropriate swath width should be selected based on the monitoring target. Compared to seismic monitoring, the spatial extent of mining is relatively small. A typical mining area covers around 100 km², which is determined by current engineering practices. Therefore, a medium resolution of 20 m is generally sufficient. Consequently, for goaf identification in densely built-up urban areas of eastern China, C/X-band monitoring is recommended. For mining areas in central or western China with substantial vegetation cover, L-band monitoring is advised.
Currently, decorrelation caused by large-gradient deformation is one of the main challenges hindering the widespread application of InSAR technology27. As shown in Fig. 15, for large-gradient subsidence, InSAR often only captures deformation at the edges of the coal mining subsidence basin. The detectable deformation gradient thresh-old for InSAR can be calculated using gradient theory, as shown in Eqs. (9) and (10)28,29. Despite this, this study posits that the high-precision time-series deformation information obtained by InSAR at the basin edges is sufficient to support the task of subsidence basin identification. Based on the identification results from the western mining area, the impact of decorrelation on the accuracy of the proposed model appears limited30.
Schematic diagram of the detectable subsidence basin by InSAR under large-gradient deformation conditions.
where Los represents the detectable deformation gradient along the radar line-of-sight, λ is the radar wavelength, γ is the interferometric coherence coefficient, and Threshold is the deformation gradient detection threshold considering coherence.
Future prospects
This paper establishes a dataset based on the temporal characteristics of coal mining subsidence areas, and proposes and validates a research approach for goaf identification using temporal features. The future research directions are as follows:
-
(1)
Enhancing the diversity of observational data. Future improvement strategies will not simply involve collecting more morphologically similar curves, but systematically incorporating measured InSAR subsidence sequences under special geological and mining conditions (such as mountainous areas, thick unconsolidated layers, fault zones, intermittent mining, and non-uniform coal seams) to establish a hierarchically categorized knowledge base of temporal curves. As shown in Fig. 16(b), the characteristics of the surface temporal subsidence curve under intermittent mining conditions are illustrated. This will enhance the model’s applicability and generalization capability under different geological and mining conditions, and improve the understanding of temporal subsidence curve characteristics and surface dynamic response mechanisms under special geological and mining conditions.
-
(2)
Conducting research on the dynamic migration and evolution mechanisms of overburden strata. While current research on the dynamic surface subsidence evolution patterns in coal mining subsidence areas is relatively abundant, the understanding of the dynamic migration and evolution mechanisms of overburden strata remains relatively weak. The next step will involve starting from the dynamic physical mechanisms of mining subsidence, employing discrete element-finite difference coupling numerical simulations, and comprehensively utilizing space-air-ground multi-source monitoring technologies to reveal the dynamic migration and evolution mechanisms of overburden strata and the complete dynamic mechanical processes.
-
(3)
Deepening research on the temporal attributes of identification results. As shown in Fig. 16(a), during the InSAR time-series monitoring period, the migration of surface points caused by mining is not synchronized. For example, when the working face advances to point N, the surface at the open-off cut may have already entered the recession stage; point B directly above the advancing position may be in the acceleration stage, while surface points at the final mining line may remain in the undisturbed or initial stage. Future research will investigate this spatial-temporal asynchrony phenomenon, exploring the possibility of further interpreting temporal deformation information for differential identification of mining stages. This will enable refined identification of the subsidence basin’s “state” rather than merely its “extent,” establishing a refined full-lifecycle identification model for subsidence basins.
(a) Movement states of surface points at different locations; (b) Time-series variation curve under intermittent mining.
Conclusions
Based on the morphological and magnitude characteristics of time-series subsidence curves in coal mining areas, this paper proposed a fine-scale identification method for coal mining subsidence basins that integrates time-series InSAR and subsidence curve features. By constructing a time-series feature dataset containing both measured and simulated data, and using three typical mining areas in eastern, central, and western China as validation sites, the following main conclusions are drawn:
-
(1)
The proposed goaf identification method can rapidly and automatically identify coal mining subsidence basins without relying on prior monitoring data from the target mining area, effectively reconstructing surface subsidence basins at a large, mining-area scale. The model achieved an overall accuracy of 98.98%, with recall and F1-scores reaching 94% and 97%, respectively, in testing.
-
(2)
The time-series feature dataset constructed by integrating field-measured subsidence data from mining areas and simulated data generated from multiple time-function models significantly enhanced the model’s generalization capability. Experiments showed that incorporating simulated data increased the model’s classification accuracy from 96% to 98%, effectively mitigating model bias caused by limited field data.
-
(3)
Boundary validation based on field measurement data from working faces demonstrated that the proposed method significantly improves the extraction accuracy of the 10 mm subsidence boundary compared to existing methods, with an accuracy increase of approximately 80%. This confirms its practical engineering value for the precise delineation of subsidence impact zones.
Future work will investigate the dynamic movement and evolution mechanisms of overlying strata and the spatiotemporal asynchrony phenomena in identification results. This will further advance the fine-scale identification of surface subsidence basins, aiming to progress from “identifying subsidence extent” to an in-depth study “characterizing subsidence states and processes.”
Data availability
The datasets used and/or analysed during the current study available from the corresponding author on reasonable request.
References
Ma, S. et al. Surface multi-hazard effect of underground coal mining. Landslides 20, 39–52 (2023).
Wu, Z., Cui, F. & Nie, J. Relationship between soil water content and vegetation distribution in a small area before and after coal seam mining: A case study of coal mining subsidence area in Northwest China. Environ. Earth Sci. 82, 105 (2023).
Yan, W., Chen, J., Tan, Y., He, R. & Yan, S. Surface dynamic damage prediction model of horizontal coal seam based on the idea of wave lossless propagation. IJERPH 19, 862 (2022).
Diao, X., Bai, Z., Wu, K., Zhou, D. & Li, Z. Assessment of mining-induced damage to structures using InSAR time series analysis: A case study of Jiulong Mine, China. Environ. Earth Sci. 77, 166 (2018).
Liu, H. et al. Efficient and fully refined deformation extraction method for deriving mining-induced subsidence by the joint of probability integral method and SBAS-InSAR. IEEE Trans. Geosci. Remote Sensing. 61, 1–17 (2023).
Liu, H., Li, M., Yuan, M., Li, B. & Jiang, X. A. Fine subsidence information extraction model based on multi-source inversion by integrating InSAR and leveling data. Nat. Hazards. 114, 2839–2854 (2022).
Liu, Q., Zhang, Y., Wei, J., Wu, H. & Deng, M. H. L. S. T. M. Heterogeneous long short-term memory network for large-scale InSAR ground subsidence prediction. IEEE J. Sel. Top. Appl. Earth Observations Remote Sens. 14, 8679–8688 (2021).
Mining Survey Teaching and Research Group, Strata Movement Research Group. Report on the establishment of a strata movement observation station in the Kailuan Linxi Mine (in Chinese). J. Beijing Min. Inst. (1955).
Chuang, J. et al. A DPIM-InSAR method for monitoring mining subsidence based on deformation information of the working face after mining has ended. Int. J. Remote Sens. 42, 6330–6358 (2021).
Yang, Z., Xu, B., Li, Z., Wu, L. & Zhu, J. Prediction of mining-induced kinematic 3-D displacements from InSAR using a Weibull model and a Kalman filter. IEEE Trans. Geosci. Remote Sens. 60, 1–12 (2022).
Guel, Y., Poyraz, B. & Poyraz, F. Comparison of the monitoring of surface deformations in Open-Pit mines with Sentinel-1A and TerraSAR-X satellite radar data. Environ. Monit. Assess. 196, 581 (2024).
Chen, S. et al. Three-dimensional deformation monitoring of San Francisco Bay based on GNSS-InSAR data. Adv. Space Res. 75, 451–464 (2025).
Chai, H., Hu, J. & Geng, S. An SBAS-InSAR monitoring method for surface subsidence integrating field measurement data (in Chinese). J. China Coal Soc., 17–24, (2021).
Accuracy verification and correction of D-InSAR and SBAS-InSAR in monitoring mining surface subsidence. https://www.mdpi.com/2072-4292/13/21/4365 (2024).
Zhu, Y. et al. UAV-MSSH: A novel UAV photogrammetry-based framework for mining surface three-dimensional movement basin monitoring. UAV-MSSH:Meas. 242, 115944 (2025).
Dalaison, M. & Jolivet, R. A. Kalman filter time series analysis method for InSAR. JGR Solid Earth, 125, (2020).
Apanowicz, B., Milczarek, W. & Kowalski, A. Advanced InSAR-SBAS method for determining the extent of mining-induced deformations. Geocarto International, 40 (1), (2025).
Xu, J. et al. Research on automatic identification of coal mining subsidence area based on InSAR and time series classification. J. Clean. Prod. 470, 143293 (2024).
He, K., Tang, F., Li, Z. A method for constructing coal mining subsidence basins and intelligently extracting horizontal movement information based on topographic features (in Chinese). Geomatics Inform. Sci. Wuhan Univ. 48, 717–729 (2023).
A novel phase unwrapping method used for monitoring the land subsidence in coal mining area based on U-Net convolutional neural network - ADS. https://ui.adsabs.harvard.edu/abs/2021FrEaS…W/abstract (2025)
Chi, S. et al. An intelligent identification method for coal mining subsidence basins based on deformable DETR and InSAR. Remote Sens. 17, 3953 (2025).
Zhang, G. et al. Analyzing surface deformation throughout China’s territory using multi-temporal InSAR processing of Sentinel-1 radar data. Remote Sens. Environ. 305, 114105 (2024).
Berardino, P., Fornaro, G., Lanari, R. & Sansosti, E. A. New Algorithm for surface deformation monitoring based on small baseline differential SAR interferograms. IEEE Trans. Geosci. Remote Sens. 40, 2375–2383 (2002).
Xu, H. & Li, X. Time function of surface subsidence based on logistic growth model. Rock Soil Mech. Wuhan, 26, 151, (2005).
Cortes, C., Vapnik, V. & Support-vector Networks Machine Learning, 20, 273–297, (1995).
Chawla, N. V., Bowyer, K. W., Hall, L. O. & Kegelmeyer, W. P. SMOTE: Synthetic minority over-sampling technique. J. Artif. Intell. Res. 16, (2002).
Hu, J. et al. Prediction method for dynamic subsidence basin in mining area based on SBAS-InSAR and time function. Remote Sens. 16, (2024).
Chen, Y. et al. Accuracy verification and correction of D-InSAR and SBAS-InSAR in monitoring mining surface subsidence. Remote Sens. 13, (2021).
Massonnet, D., Feigl, K. L., Massonnet, D. & Feigl, K. L. Radar interferometry and its application to changes in the Earth’s surface. Rev. Geophys. 36, 441–500 (1998).
Cui, X. et al. Analysis of full process prediction methods for mining-induced surface subsidence and existing problems (in Chinese). J. China Coal Soc. 47, 2170–2181 (2022).
Acknowledgements
The authors would like to thank the ESA/Copernicus for providing the Sentinel1A SAR images. The authors also thank all the reviewers for their valuable comments.
Funding
This research was funded by National Key Research and Development Program of China, “Multi-static polarimetric 3D SAR Industry Application Demonstration” (Grant No: 2022YFB3901605).
Author information
Authors and Affiliations
Contributions
Conceptualization, S.H. (Shubo Huang) and Y.Y. (Yueguan Yan); methodology, S.H. and J.H. (Jibiao Hu); software, X.Z. (Xiangyang Zhang); validation, J.H., S.H. and Y.Z. (Yifan Zhang); formal analysis, S.H.; investigation, R.C. (Rui Chen); resources, S.H.; writing—review and editing, S.H and Y.Z; visualization, L.G. (Li Guo) and Y.Y.; All authors reviewed and approved the final version of the manuscript.
Corresponding author
Ethics declarations
Competing interests
The authors declare no competing interests.
Additional information
Publisher’s note
Springer Nature remains neutral with regard to jurisdictional claims in published maps and institutional affiliations.
Supplementary Information
Below is the link to the electronic supplementary material.
Rights and permissions
Open Access This article is licensed under a Creative Commons Attribution-NonCommercial-NoDerivatives 4.0 International License, which permits any non-commercial use, sharing, distribution and reproduction in any medium or format, as long as you give appropriate credit to the original author(s) and the source, provide a link to the Creative Commons licence, and indicate if you modified the licensed material. You do not have permission under this licence to share adapted material derived from this article or parts of it. The images or other third party material in this article are included in the article’s Creative Commons licence, unless indicated otherwise in a credit line to the material. If material is not included in the article’s Creative Commons licence and your intended use is not permitted by statutory regulation or exceeds the permitted use, you will need to obtain permission directly from the copyright holder. To view a copy of this licence, visit http://creativecommons.org/licenses/by-nc-nd/4.0/.
About this article
Cite this article
Huang, S., Zhang, Y., Yan, Y. et al. A novel fine-scale identification method for coal mining subsidence basin based on TS-InSAR and subsidence curve characteristics. Sci Rep 16, 10875 (2026). https://doi.org/10.1038/s41598-026-45625-8
Received:
Accepted:
Published:
Version of record:
DOI: https://doi.org/10.1038/s41598-026-45625-8















