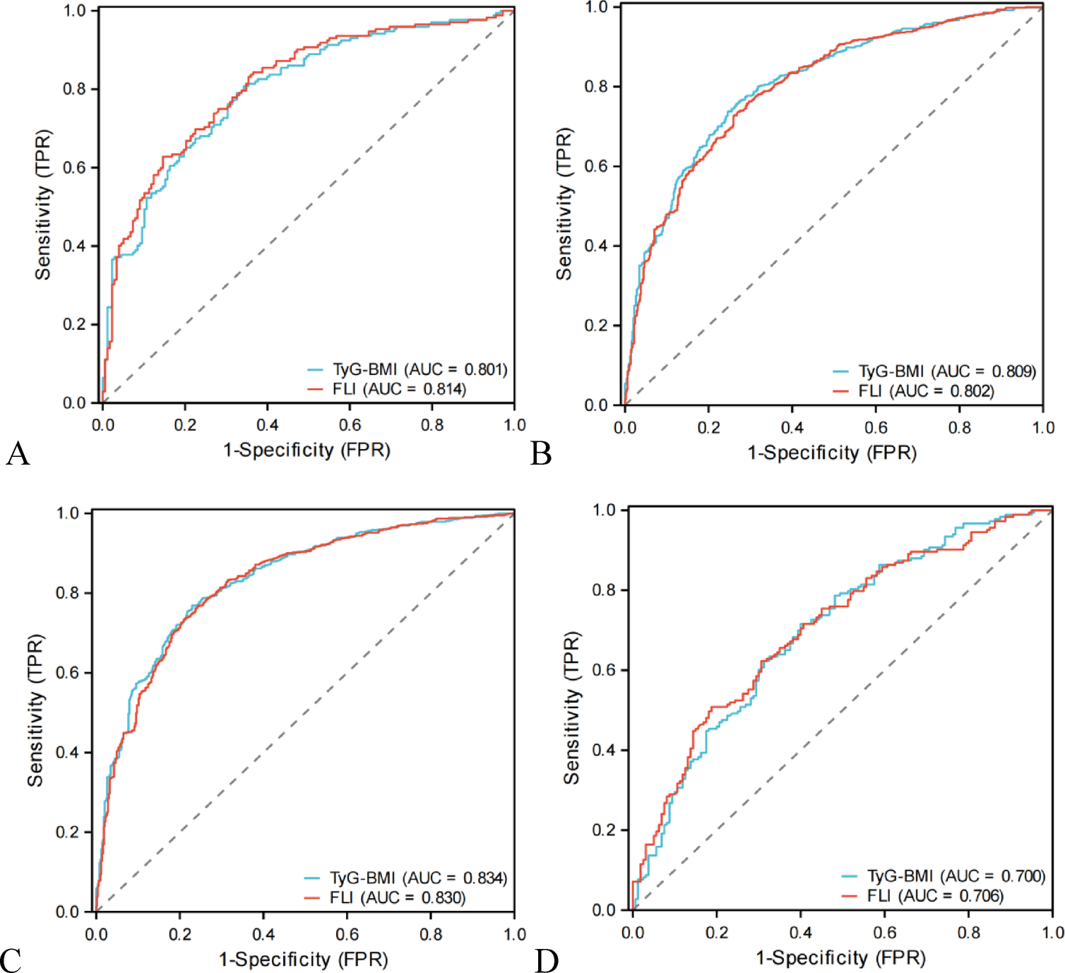
Fig. 2
From: The association of TyG-BMI with MAFLD and liver fibrosis: a cross-sectional study

Diagnostic Performance of TyG-BMI Index for MAFLD across Different Age and Sex Subgroups. (A) diagnostic performance of TyG-BMI and FLI in males. (B) Diagnostic performance of TyG-BMI and FLI in females. (C) diagnostic performance of TyG-BMI and FLI in young population. (D) diagnostic performance of TyG-BMI and FLI in elderly population.