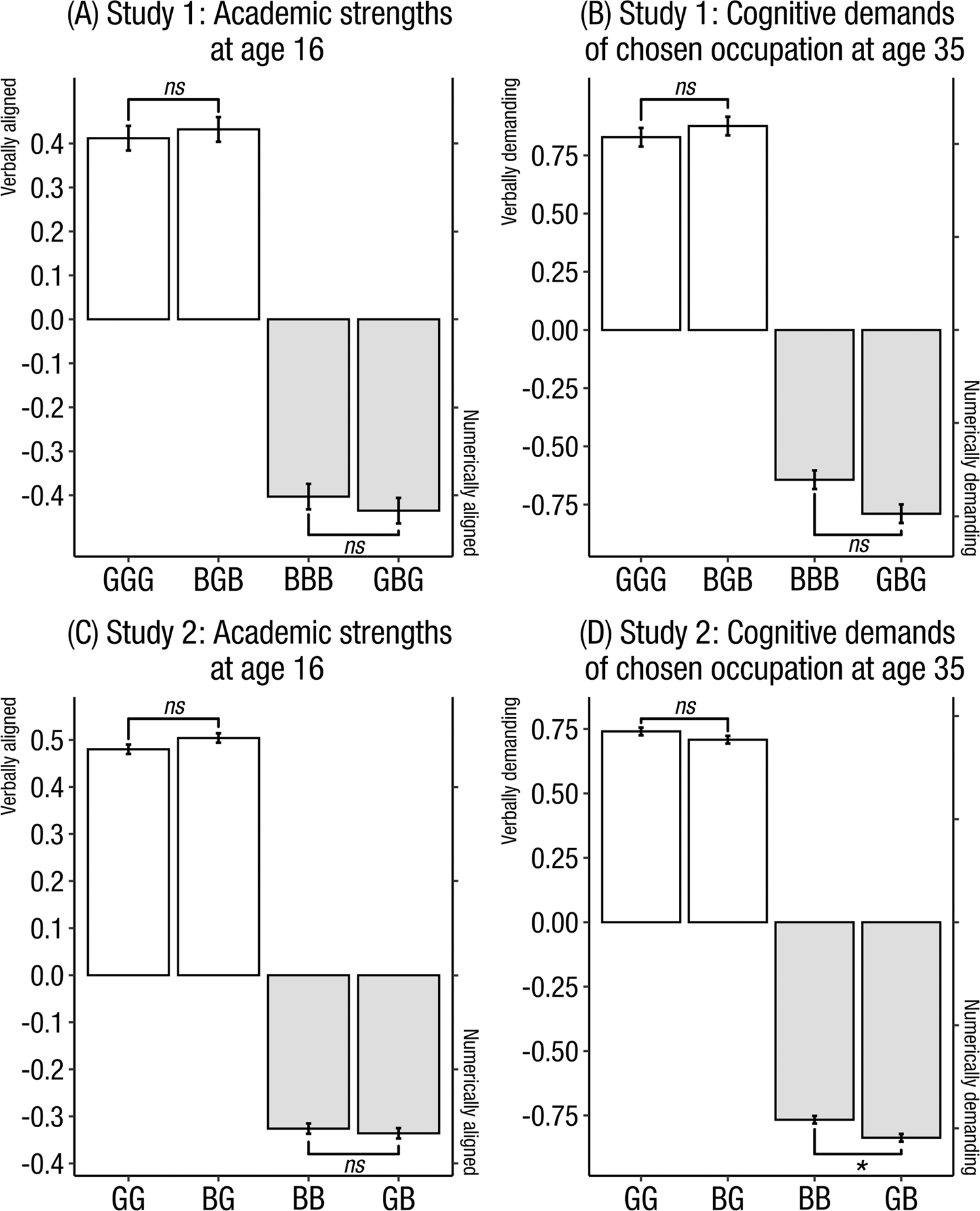
Fig. 1: Illustrations of the academic strengths score and cognitive demands of chosen occupation grouped by sibship composition and sex.

Academic strengths at age 16 grouped by sibship composition in A Study 1 and C Study 2. Positive values indicate higher grades in verbal/language subjects, whereas negative values indicate higher grades in numerical/technical subjects. Cognitive demands of chosen occupation at age 35 grouped by sibship composition in B Study 1, and D Study 2. Positive values indicate higher verbal demands in occupation, whereas negative values indicate higher numerical demands in occupation. GGG = Mid-born girls with younger and older sisters; BGB = Mid-born girls with younger and older brothers; BBB = Mid-born boys with younger and older brothers; GBG = Mid-born boys with younger and older sisters. Note: All means are adjusted for GPA, mother\s age at birth, mother\s education level, sibship type, ethnicity (Swedish or other), and age differences between the siblings. Whiskers represent the standard error of the mean. ns = not significant; *p < 0.05.