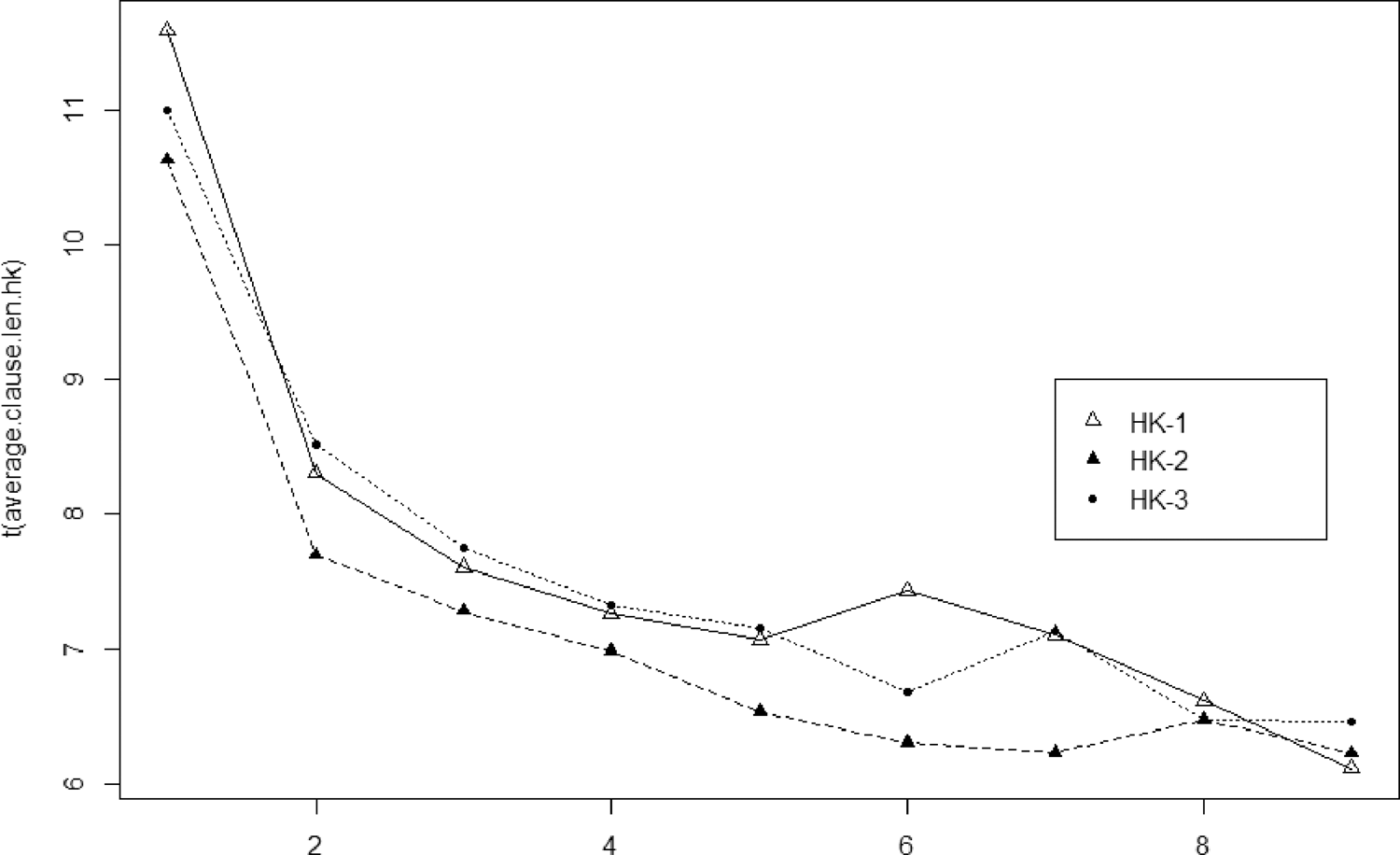
Fig. 2: The average clause length distributions in HK political speeches (headlines not included).
From: Regional varieties and diachronic changes in Chinese political discourse

HK-1, HK-2, and HK-3 represent 1984–1988, 1997–2001, and 2010–2014 Hong Kong political speeches, respectively.