Thank you for visiting nature.com. You are using a browser version with limited support for CSS. To obtain
the best experience, we recommend you use a more up to date browser (or turn off compatibility mode in
Internet Explorer). In the meantime, to ensure continued support, we are displaying the site without styles
and JavaScript.
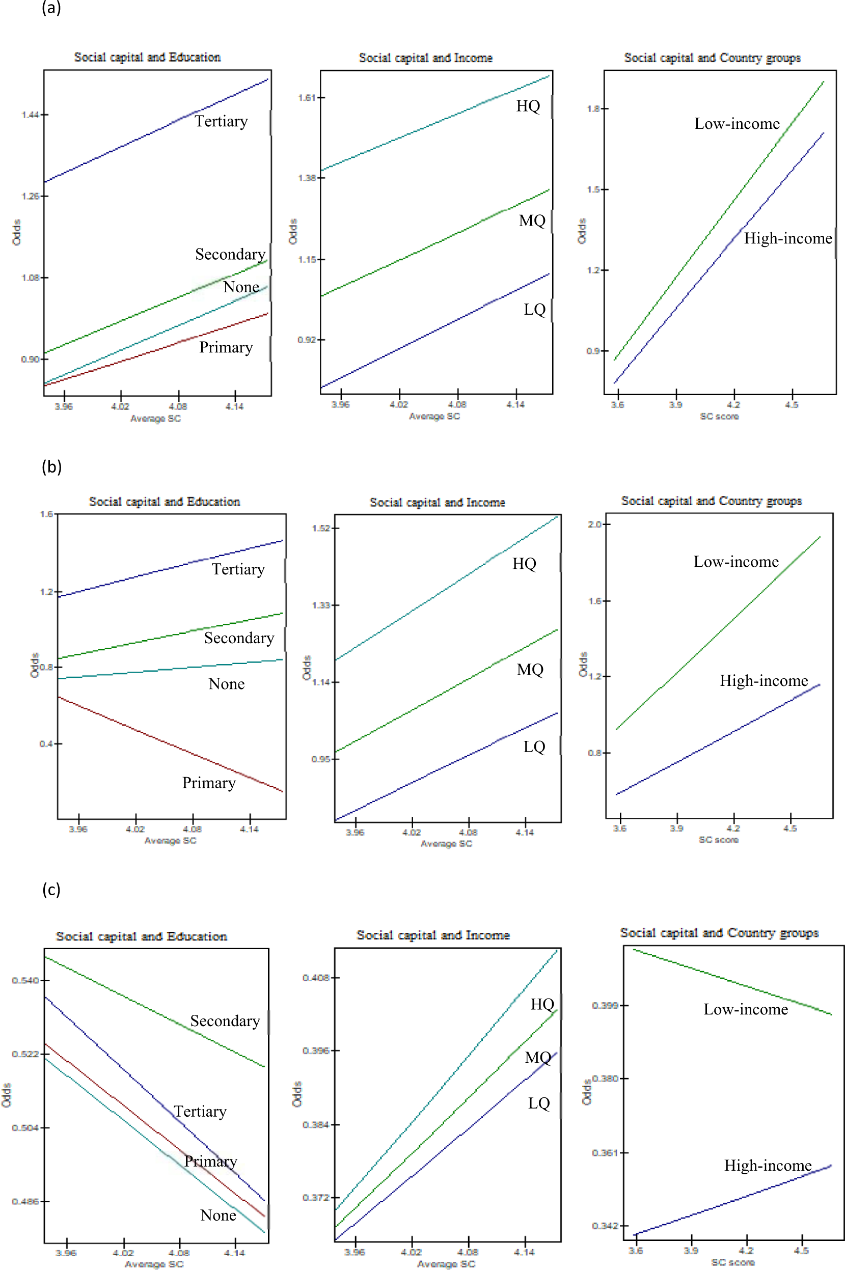
a–c Each plot is derived from Models 5A, 5B, and 5C of Tables 1–3. Odds of reporting education, income and country groups with SC are presented for life satisfaction (a), health (b) and economic gap (c). Average SC (country-level) and SC score (individual-level).