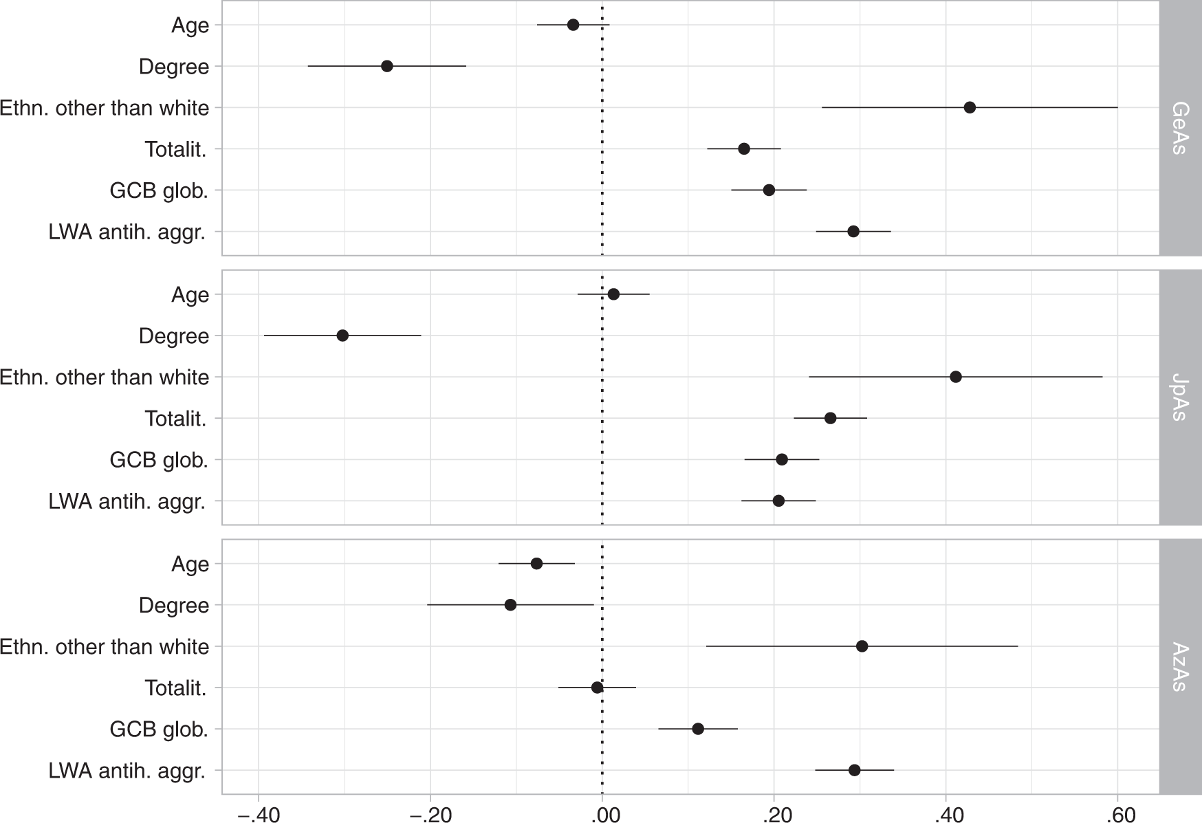
Fig. 2: Ideological predictors of antisemitism in Study 2.

Product-moment coefficients of correlation with Generalised Antisemitism, Judeophobic Antisemitism, and Antizionist Antisemitism (with 95% confidence intervals).

Product-moment coefficients of correlation with Generalised Antisemitism, Judeophobic Antisemitism, and Antizionist Antisemitism (with 95% confidence intervals).