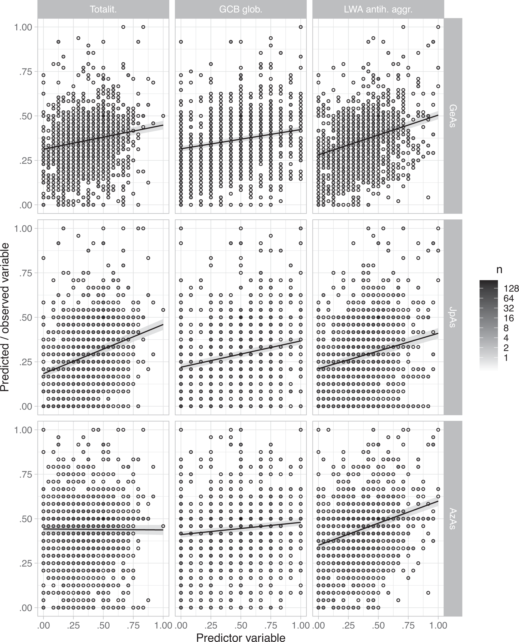
Fig. 3: Observed and predicted levels of antisemitism in Study 2 (full model).

Generalised Antisemitism, Judeophobic Antisemitism, and Antizionist Antisemitism by ideological predictor variable (with 95% confidence intervals on slopes).

Generalised Antisemitism, Judeophobic Antisemitism, and Antizionist Antisemitism by ideological predictor variable (with 95% confidence intervals on slopes).