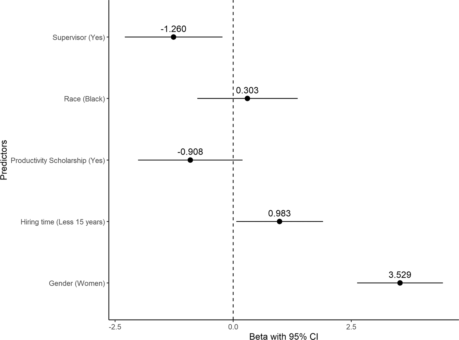
Fig. 2: Total score predictors.

Forest plot depicting the predictor’s estimates (95% confidence interval) of the regression model with the total score of self-perception bias against parents as the dependent variable.

Forest plot depicting the predictor’s estimates (95% confidence interval) of the regression model with the total score of self-perception bias against parents as the dependent variable.